Visual attention to faces during attractiveness and dominance judgements.

IF 2.2 Q1 ANTHROPOLOGY
Evolutionary Human Sciences Pub Date : 2025-02-14 eCollection Date: 2025-01-01 DOI:10.1017/ehs.2025.2
Žaneta Pátková, Vít Třebický, Martin Kocourek, Dagmar Schwambergová, Karel Kleisner, Jan Havlíček, Jitka Třebická Fialová
{"title":"Visual attention to faces during attractiveness and dominance judgements.","authors":"Žaneta Pátková, Vít Třebický, Martin Kocourek, Dagmar Schwambergová, Karel Kleisner, Jan Havlíček, Jitka Třebická Fialová","doi":"10.1017/ehs.2025.2","DOIUrl":null,"url":null,"abstract":"<p><p>Perception studies describe numerous discrete morphological facial features as important to judgements of various characteristics. Interestingly, little is known about whether people actually direct their visual attention to these features and how specific contexts or sex affect this attention. We, therefore, examined visual attention to faces in the context of intersexual (opposite-sex assessment of attractiveness) and intrasexual (same-sex assessment of dominance) selection. In total, 93 women and 33 men rated 80 high-resolution facial photographs of men and women while their gaze was recorded using eye-tracking. To explore patterns of raters' attention to faces and specific facial features, we used the number of fixations, fixation duration, and visit duration as visual attention measures. Women directed more visual attention towards the faces of potential partners (more fixations) than potential rivals, and men had longer fixation duration when assessing potential partners than rivals. Facial features that acquired the most visual attention across contexts and sexes were the eyes, nose, and mouth, but small differences between the sexes and contexts in visual attention were found for other facial regions suggested by previous perception studies, such as the chin and the cheeks indicating their importance in specific judgements.</p>","PeriodicalId":36414,"journal":{"name":"Evolutionary Human Sciences","volume":"7 ","pages":"e15"},"PeriodicalIF":2.2000,"publicationDate":"2025-02-14","publicationTypes":"Journal Article","fieldsOfStudy":null,"isOpenAccess":false,"openAccessPdf":"https://www.ncbi.nlm.nih.gov/pmc/articles/PMC12056419/pdf/","citationCount":"0","resultStr":null,"platform":"Semanticscholar","paperid":null,"PeriodicalName":"Evolutionary Human Sciences","FirstCategoryId":"1085","ListUrlMain":"https://doi.org/10.1017/ehs.2025.2","RegionNum":0,"RegionCategory":null,"ArticlePicture":[],"TitleCN":null,"AbstractTextCN":null,"PMCID":null,"EPubDate":"2025/1/1 0:00:00","PubModel":"eCollection","JCR":"Q1","JCRName":"ANTHROPOLOGY","Score":null,"Total":0}
引用次数: 0

Abstract

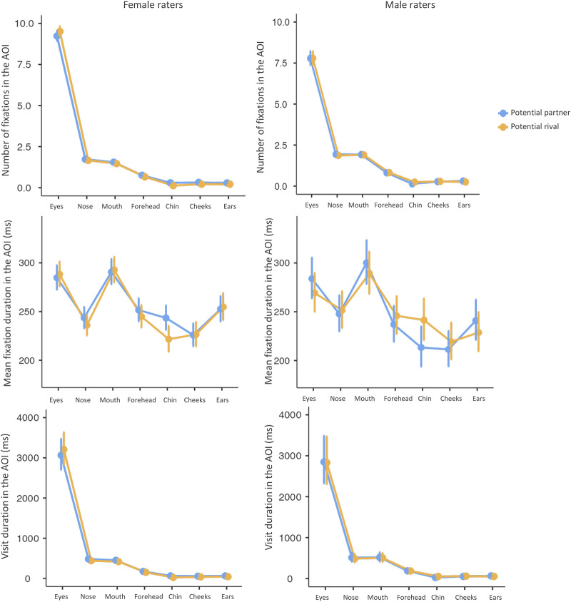
Perception studies describe numerous discrete morphological facial features as important to judgements of various characteristics. Interestingly, little is known about whether people actually direct their visual attention to these features and how specific contexts or sex affect this attention. We, therefore, examined visual attention to faces in the context of intersexual (opposite-sex assessment of attractiveness) and intrasexual (same-sex assessment of dominance) selection. In total, 93 women and 33 men rated 80 high-resolution facial photographs of men and women while their gaze was recorded using eye-tracking. To explore patterns of raters' attention to faces and specific facial features, we used the number of fixations, fixation duration, and visit duration as visual attention measures. Women directed more visual attention towards the faces of potential partners (more fixations) than potential rivals, and men had longer fixation duration when assessing potential partners than rivals. Facial features that acquired the most visual attention across contexts and sexes were the eyes, nose, and mouth, but small differences between the sexes and contexts in visual attention were found for other facial regions suggested by previous perception studies, such as the chin and the cheeks indicating their importance in specific judgements.

Abstract Image

Abstract Image

Abstract Image

在吸引力和支配性判断过程中对面部的视觉关注。
知觉研究描述了许多离散的形态学面部特征,对各种特征的判断很重要。有趣的是,人们是否真的将视觉注意力引导到这些特征上,以及特定的环境或性别如何影响这种注意力,我们知之甚少。因此,我们在双性恋(异性对吸引力的评估)和双性恋(同性对支配地位的评估)选择的背景下研究了对面孔的视觉注意。总共有93名女性和33名男性对80张男性和女性的高分辨率面部照片进行了评价,同时用眼球追踪技术记录了他们的目光。为了探讨评价者对面部和特定面部特征的注意模式,我们使用注视次数、注视时间和访问时间作为视觉注意测量。女性比潜在的竞争对手将更多的视觉注意力集中在潜在伴侣的脸上(更多的注视),而男性在评估潜在伴侣时的注视时间比竞争对手长。在不同的环境和性别中,获得最多视觉注意力的面部特征是眼睛、鼻子和嘴巴,但在之前的感知研究中发现,其他面部区域在视觉注意力上的性别和环境差异很小,比如下巴和脸颊,这表明它们在特定判断中的重要性。
本文章由计算机程序翻译,如有差异,请以英文原文为准。
求助全文
约1分钟内获得全文 求助全文
来源期刊
Evolutionary Human Sciences
Evolutionary Human Sciences Social Sciences-Cultural Studies
CiteScore
4.60
自引率
11.50%
发文量
49
审稿时长
10 weeks
×
引用
GB/T 7714-2015
复制
MLA
复制
APA
复制
导出至
BibTeX EndNote RefMan NoteFirst NoteExpress
×
提示
您的信息不完整,为了账户安全,请先补充。
现在去补充
×
提示
您因"违规操作"
具体请查看互助需知
我知道了
×
提示
确定
请完成安全验证×
copy
已复制链接
快去分享给好友吧!
我知道了
右上角分享
点击右上角分享
0
联系我们:info@booksci.cn Book学术提供免费学术资源搜索服务,方便国内外学者检索中英文文献。致力于提供最便捷和优质的服务体验。 Copyright © 2023 布克学术 All rights reserved.
京ICP备2023020795号-1
ghs 京公网安备 11010802042870号
Book学术文献互助
Book学术文献互助群
群 号:604180095
Book学术官方微信