Sex-based Differences and Comparative Predictive Value of MELD 3.0 in Simultaneous Liver-Kidney Transplantation Waitlist Outcomes After Standardization of Listing Criteria in the United States.

IF 1.9 Q3 TRANSPLANTATION
Transplantation Direct Pub Date : 2025-04-09 eCollection Date: 2025-05-01 DOI:10.1097/TXD.0000000000001781
Emily A Leven, Ditian Li, Emilia Bagiella, Thomas D Schiano, Lauren Tal Grinspan
{"title":"Sex-based Differences and Comparative Predictive Value of MELD 3.0 in Simultaneous Liver-Kidney Transplantation Waitlist Outcomes After Standardization of Listing Criteria in the United States.","authors":"Emily A Leven, Ditian Li, Emilia Bagiella, Thomas D Schiano, Lauren Tal Grinspan","doi":"10.1097/TXD.0000000000001781","DOIUrl":null,"url":null,"abstract":"<p><strong>Background: </strong>Sex disparities in solid organ transplantation are well documented. Relative changes in sex-based outcome disparities after the 2017 standardization of simultaneous liver-kidney (SLK) listing criteria in the United States have not been reported. We hypothesized that this policy's objective measures of kidney dysfunction may differentially affect SLK patients by sex and that the use of MELD 3.0 in the SLK population might provide unique benefit to female transplant candidates.</p><p><strong>Methods: </strong>Organ Procurement and Transplantation Network data were retrospectively analyzed comparing 2013-2016 with 2018-2021 SLK listings. Waitlist outcomes and Model for End-stage Liver Disease (MELD) 3.0 reclassifications were compared by sex and listing period.</p><p><strong>Results: </strong>There were 2626 and 2609 male patients and 1670 and 1919 female patients pre- and post-policy changes, respectively. The proportion of female SLK listings post-policy change (42.4%) was higher than both female SLK listings pre-policy change (38.9%) and female single-organ liver listings post-policy change (36.8%; <i>P</i> < 0.01). A statistically significant interaction between sex and listing group (pre- versus post-policy change) was present in multivariable analysis (<i>P</i> = 0.02). Female patients were more likely to have a higher MELD 3.0 score than the listing MELD/MELD-Na score when the listing MELD score was <30 (<i>P</i> < 0.01). Among all patients who died on the waitlist, female patients were nearly twice as likely to be underrepresented by listing MELD compared with MELD 3.0 (23% female and 13% male patients; <i>P</i> < 0.01).</p><p><strong>Conclusions: </strong>Waitlist outcomes were changed differentially between male and female patients after the 2017 SLK policy change. The application of MELD 3.0 to SLK patients is likely to benefit female patients.</p>","PeriodicalId":23225,"journal":{"name":"Transplantation Direct","volume":"11 5","pages":"e1781"},"PeriodicalIF":1.9000,"publicationDate":"2025-04-09","publicationTypes":"Journal Article","fieldsOfStudy":null,"isOpenAccess":false,"openAccessPdf":"https://www.ncbi.nlm.nih.gov/pmc/articles/PMC11984772/pdf/","citationCount":"0","resultStr":null,"platform":"Semanticscholar","paperid":null,"PeriodicalName":"Transplantation Direct","FirstCategoryId":"1085","ListUrlMain":"https://doi.org/10.1097/TXD.0000000000001781","RegionNum":0,"RegionCategory":null,"ArticlePicture":[],"TitleCN":null,"AbstractTextCN":null,"PMCID":null,"EPubDate":"2025/5/1 0:00:00","PubModel":"eCollection","JCR":"Q3","JCRName":"TRANSPLANTATION","Score":null,"Total":0}
引用次数: 0

Abstract

Background: Sex disparities in solid organ transplantation are well documented. Relative changes in sex-based outcome disparities after the 2017 standardization of simultaneous liver-kidney (SLK) listing criteria in the United States have not been reported. We hypothesized that this policy's objective measures of kidney dysfunction may differentially affect SLK patients by sex and that the use of MELD 3.0 in the SLK population might provide unique benefit to female transplant candidates.

Methods: Organ Procurement and Transplantation Network data were retrospectively analyzed comparing 2013-2016 with 2018-2021 SLK listings. Waitlist outcomes and Model for End-stage Liver Disease (MELD) 3.0 reclassifications were compared by sex and listing period.

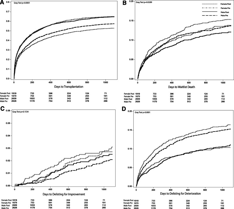
Results: There were 2626 and 2609 male patients and 1670 and 1919 female patients pre- and post-policy changes, respectively. The proportion of female SLK listings post-policy change (42.4%) was higher than both female SLK listings pre-policy change (38.9%) and female single-organ liver listings post-policy change (36.8%; P < 0.01). A statistically significant interaction between sex and listing group (pre- versus post-policy change) was present in multivariable analysis (P = 0.02). Female patients were more likely to have a higher MELD 3.0 score than the listing MELD/MELD-Na score when the listing MELD score was <30 (P < 0.01). Among all patients who died on the waitlist, female patients were nearly twice as likely to be underrepresented by listing MELD compared with MELD 3.0 (23% female and 13% male patients; P < 0.01).

Conclusions: Waitlist outcomes were changed differentially between male and female patients after the 2017 SLK policy change. The application of MELD 3.0 to SLK patients is likely to benefit female patients.

Abstract Image

Abstract Image

Abstract Image

美国上市标准标准化后,MELD 3.0在同时进行肝肾移植等待名单结果中的性别差异和比较预测价值
背景:实体器官移植中的性别差异已被充分证实。2017年美国同步肝肾(SLK)上市标准标准化后,基于性别的结局差异的相对变化尚未报道。我们假设,该政策对肾功能障碍的客观测量可能会因性别而对SLK患者产生不同的影响,并且在SLK人群中使用MELD 3.0可能会为女性移植候选人提供独特的益处。方法:回顾性分析器官获取和移植网络2013-2016年与2018-2021年SLK列表的数据。等候名单结果和终末期肝病模型(MELD) 3.0重新分类按性别和列表时间进行比较。结果:政策改变前后男性患者分别为2626例和2609例,女性患者分别为1670例和1919例。政策变化后女性SLK上市比例(42.4%)高于政策变化前女性SLK上市比例(38.9%)和政策变化后女性单器官肝脏上市比例(36.8%);p = 0.02)。当MELD评分为P时,女性患者的MELD 3.0评分高于MELD/MELD- na评分。结论:2017年SLK政策改变后,男性和女性患者的候补名单结果发生了差异。MELD 3.0应用于SLK患者可能有利于女性患者。
本文章由计算机程序翻译,如有差异,请以英文原文为准。
求助全文
约1分钟内获得全文 求助全文
来源期刊
Transplantation Direct
Transplantation Direct TRANSPLANTATION-
CiteScore
3.40
自引率
4.30%
发文量
193
审稿时长
8 weeks
×
引用
GB/T 7714-2015
复制
MLA
复制
APA
复制
导出至
BibTeX EndNote RefMan NoteFirst NoteExpress
×
提示
您的信息不完整,为了账户安全,请先补充。
现在去补充
×
提示
您因"违规操作"
具体请查看互助需知
我知道了
×
提示
确定
请完成安全验证×
copy
已复制链接
快去分享给好友吧!
我知道了
右上角分享
点击右上角分享
0
联系我们:info@booksci.cn Book学术提供免费学术资源搜索服务,方便国内外学者检索中英文文献。致力于提供最便捷和优质的服务体验。 Copyright © 2023 布克学术 All rights reserved.
京ICP备2023020795号-1
ghs 京公网安备 11010802042870号
Book学术文献互助
Book学术文献互助群
群 号:604180095
Book学术官方微信