Structural-Functional Correlation in Non-Arteritic Acute Ischemic Optic Neuropathy.

IF 2.4 Q1 OPHTHALMOLOGY
Eye and Brain Pub Date : 2025-05-03 eCollection Date: 2025-01-01 DOI:10.2147/EB.S512882
Junhan Wei, Lei Zhang, Haiyan Wang, Qianfeng Wang, Wei Jia, Ru Wang, Runsheng Wang, Zhili Cui
{"title":"Structural-Functional Correlation in Non-Arteritic Acute Ischemic Optic Neuropathy.","authors":"Junhan Wei, Lei Zhang, Haiyan Wang, Qianfeng Wang, Wei Jia, Ru Wang, Runsheng Wang, Zhili Cui","doi":"10.2147/EB.S512882","DOIUrl":null,"url":null,"abstract":"<p><strong>Purpose: </strong>This study investigated the relationships between structural and functional parameters in non-arteritic ischemic optic neuropathy (NAION).</p><p><strong>Methods: </strong>This retrospective study enrolled 29 patients (58.2 ± 10.4 years old) with unilateral NAION. During the acute phase, we performed comprehensive evaluations including best-corrected visual acuity (BCVA), optical coherence tomography (OCT), optical coherence tomography angiography (OCTA), visual fields (VF), visual evoked potentials (VEP), electroretinography (ERG), and multifocal ERG (mf-ERG). At three months post-presentation, patients underwent follow-up assessments comprising visual acuity testing, perimetry, and advanced retinal imaging.</p><p><strong>Results: </strong>During the acute phase, affected eyes demonstrated increased mean retinal nerve fiber layer (RNFL) thickness, while ganglion cell-inner plexiform layer (GCIPL) thickness decreased. Both visual fields mean deviation (MD) and VEP P100 amplitude were reduced, accompanied by prolonged peak latency. We also observed decreased P1 response density in mf-ERG. Analysis revealed significant direct correlations between GCIPL parameters and electrophysiological measurements, particularly VEP P100 amplitude and mf-ERG P1 response density. Mean GCIPL thickness, VF MD, and VEP P100 amplitude showed negative correlations with baseline logMAR VA. Baseline VF MD, VEP P100 amplitude, and minimum GCIPL thickness showed negative correlations with logMAR VA at 3-month follow-up.</p><p><strong>Conclusion: </strong>Retinal ganglion cell layer thickness serves as a valuable indicator to objective evaluate optic nerve function in acute NAION patients. Decreases in both VEP amplitude and mf-ERG response density showed significant correlations with retinal ganglion cell layer thickness. Baseline visual field performance, VEP measurements, and minimum GCIPL thickness exhibited negative correlations visual acuity at 3-month follow-up.</p><p><strong>Trial registration: </strong>Clinical Research Ethics Committee of Xi'an People's Hospital (NO. 20220018). Registered 27 September 2022-Retrospectively registered, https://www.medicalresearch.org.cn/. Informed consent was obtained from each participant.</p>","PeriodicalId":51844,"journal":{"name":"Eye and Brain","volume":"17 ","pages":"13-25"},"PeriodicalIF":2.4000,"publicationDate":"2025-05-03","publicationTypes":"Journal Article","fieldsOfStudy":null,"isOpenAccess":false,"openAccessPdf":"https://www.ncbi.nlm.nih.gov/pmc/articles/PMC12057633/pdf/","citationCount":"0","resultStr":null,"platform":"Semanticscholar","paperid":null,"PeriodicalName":"Eye and Brain","FirstCategoryId":"1085","ListUrlMain":"https://doi.org/10.2147/EB.S512882","RegionNum":0,"RegionCategory":null,"ArticlePicture":[],"TitleCN":null,"AbstractTextCN":null,"PMCID":null,"EPubDate":"2025/1/1 0:00:00","PubModel":"eCollection","JCR":"Q1","JCRName":"OPHTHALMOLOGY","Score":null,"Total":0}
引用次数: 0

Abstract

Purpose: This study investigated the relationships between structural and functional parameters in non-arteritic ischemic optic neuropathy (NAION).

Methods: This retrospective study enrolled 29 patients (58.2 ± 10.4 years old) with unilateral NAION. During the acute phase, we performed comprehensive evaluations including best-corrected visual acuity (BCVA), optical coherence tomography (OCT), optical coherence tomography angiography (OCTA), visual fields (VF), visual evoked potentials (VEP), electroretinography (ERG), and multifocal ERG (mf-ERG). At three months post-presentation, patients underwent follow-up assessments comprising visual acuity testing, perimetry, and advanced retinal imaging.

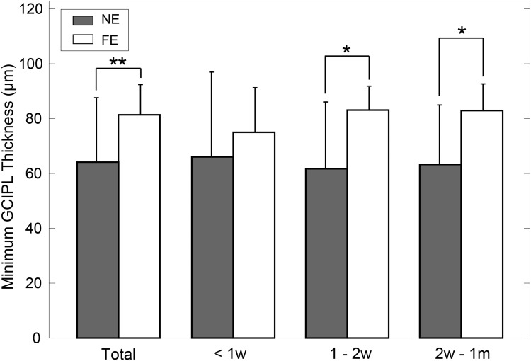
Results: During the acute phase, affected eyes demonstrated increased mean retinal nerve fiber layer (RNFL) thickness, while ganglion cell-inner plexiform layer (GCIPL) thickness decreased. Both visual fields mean deviation (MD) and VEP P100 amplitude were reduced, accompanied by prolonged peak latency. We also observed decreased P1 response density in mf-ERG. Analysis revealed significant direct correlations between GCIPL parameters and electrophysiological measurements, particularly VEP P100 amplitude and mf-ERG P1 response density. Mean GCIPL thickness, VF MD, and VEP P100 amplitude showed negative correlations with baseline logMAR VA. Baseline VF MD, VEP P100 amplitude, and minimum GCIPL thickness showed negative correlations with logMAR VA at 3-month follow-up.

Conclusion: Retinal ganglion cell layer thickness serves as a valuable indicator to objective evaluate optic nerve function in acute NAION patients. Decreases in both VEP amplitude and mf-ERG response density showed significant correlations with retinal ganglion cell layer thickness. Baseline visual field performance, VEP measurements, and minimum GCIPL thickness exhibited negative correlations visual acuity at 3-month follow-up.

Trial registration: Clinical Research Ethics Committee of Xi'an People's Hospital (NO. 20220018). Registered 27 September 2022-Retrospectively registered, https://www.medicalresearch.org.cn/. Informed consent was obtained from each participant.

Abstract Image

Abstract Image

Abstract Image

非动脉性急性缺血性视神经病变的结构-功能相关性。
目的:探讨非动脉性缺血性视神经病变(NAION)结构参数与功能参数之间的关系。方法:回顾性研究纳入29例(58.2±10.4岁)单侧NAION患者。在急性期,我们进行了综合评估,包括最佳矫正视力(BCVA)、光学相干断层扫描(OCT)、光学相干断层扫描血管造影(OCTA)、视野(VF)、视觉诱发电位(VEP)、视网膜电图(ERG)和多焦ERG (mf-ERG)。在就诊后3个月,患者接受随访评估,包括视力测试、视野检查和高级视网膜成像。结果:急性期病变眼视网膜神经纤维层(RNFL)平均厚度增加,神经节细胞-内丛状层(GCIPL)平均厚度减少。视野平均偏差(MD)和VEP P100振幅均降低,伴有峰潜伏期延长。我们还观察到mf-ERG的P1响应密度降低。分析显示GCIPL参数与电生理测量之间存在显著的直接相关性,特别是VEP P100振幅和mf-ERG P1响应密度。GCIPL平均厚度、VF MD和VEP P100振幅与基线logMAR VA呈负相关,基线VF MD、VEP P100振幅和最小GCIPL厚度与3个月随访时logMAR VA呈负相关。结论:视网膜神经节细胞层厚度是客观评价急性NAION患者视神经功能的重要指标。VEP振幅和mf-ERG反应密度的下降与视网膜神经节细胞层厚度呈显著相关。基线视野表现、VEP测量值和最小GCIPL厚度在3个月随访时呈现负相关。试验注册:西安市人民医院临床研究伦理委员会;20220018)。注册于2022年9月27日-追溯注册,https://www.medicalresearch.org.cn/。获得每位参与者的知情同意。
本文章由计算机程序翻译,如有差异,请以英文原文为准。
求助全文
约1分钟内获得全文 求助全文
来源期刊
Eye and Brain
Eye and Brain OPHTHALMOLOGY-
CiteScore
7.90
自引率
2.30%
发文量
12
审稿时长
16 weeks
期刊介绍: Eye and Brain is an international, peer-reviewed, open access journal focusing on basic research, clinical findings, and expert reviews in the field of visual science and neuro-ophthalmology. The journal’s unique focus is the link between two well-known visual centres, the eye and the brain, with an emphasis on the importance of such connections. All aspects of clinical and especially basic research on the visual system are addressed within the journal as well as significant future directions in vision research and therapeutic measures. This unique journal focuses on neurological aspects of vision – both physiological and pathological. The scope of the journal spans from the cornea to the associational visual cortex and all the visual centers in between. Topics range from basic biological mechanisms to therapeutic treatment, from simple organisms to humans, and utilizing techniques from molecular biology to behavior. The journal especially welcomes primary research articles or review papers that make the connection between the eye and the brain. Specific areas covered in the journal include: Physiology and pathophysiology of visual centers, Eye movement disorders and strabismus, Cellular, biochemical, and molecular features of the visual system, Structural and functional organization of the eye and of the visual cortex, Metabolic demands of the visual system, Diseases and disorders with neuro-ophthalmic manifestations, Clinical and experimental neuro-ophthalmology and visual system pathologies, Epidemiological studies.
×
引用
GB/T 7714-2015
复制
MLA
复制
APA
复制
导出至
BibTeX EndNote RefMan NoteFirst NoteExpress
×
提示
您的信息不完整,为了账户安全,请先补充。
现在去补充
×
提示
您因"违规操作"
具体请查看互助需知
我知道了
×
提示
确定
请完成安全验证×
copy
已复制链接
快去分享给好友吧!
我知道了
右上角分享
点击右上角分享
0
联系我们:info@booksci.cn Book学术提供免费学术资源搜索服务,方便国内外学者检索中英文文献。致力于提供最便捷和优质的服务体验。 Copyright © 2023 布克学术 All rights reserved.
京ICP备2023020795号-1
ghs 京公网安备 11010802042870号
Book学术文献互助
Book学术文献互助群
群 号:604180095
Book学术官方微信