Identifying genetically predisposed type 1 diabetes mellitus individuals in a Southern Brazilian population: The construction of a genetic risk score.

IF 1.3 4区 生物学 Q4 BIOCHEMISTRY & MOLECULAR BIOLOGY
Genetics and Molecular Biology Pub Date : 2025-04-18 eCollection Date: 2025-01-01 DOI:10.1590/1678-4685-GMB-2023-0308
Felipe Mateus Pellenz, Mayara Souza de Oliveira, Guilherme Coutinho Kullmann Duarte, Natália Emerim Lemos, Cristine Dieter, Luís Henrique Canani, Taís Silveira Assmann, Daisy Crispim
{"title":"Identifying genetically predisposed type 1 diabetes mellitus individuals in a Southern Brazilian population: The construction of a genetic risk score.","authors":"Felipe Mateus Pellenz, Mayara Souza de Oliveira, Guilherme Coutinho Kullmann Duarte, Natália Emerim Lemos, Cristine Dieter, Luís Henrique Canani, Taís Silveira Assmann, Daisy Crispim","doi":"10.1590/1678-4685-GMB-2023-0308","DOIUrl":null,"url":null,"abstract":"<p><p>Single nucleotide polymorphisms (SNPs) in the HLA DR/DQ region have the greatest impact on susceptibility to type 1 diabetes mellitus (T1DM). Non-HLA SNPs interact with the HLA, influencing the risk for T1DM. The aim of this study was to develop a genetic risk score (GRS) based on HLA DR/DQ and non-HLA SNPs to discriminate patients with T1DM. The sample comprised 466 patients with T1DM and 469 controls. The rs689/INS, rs2476601/PTPN22, rs231775/CTLA-4, rs2304256/TYK2, rs2292239/ERBB3, and HLA DR/DQ SNPs were genotyped using real-time PCR. The unweighted GRS (uGRS) was calculated by summing the risk alleles of each SNP and the weighted GRS (wGRS) by multiplying the risk alleles by their odds ratios. The uGRS was higher in T1DM patients than in non-diabetic controls (0.34 ± 0.14 vs. 0.26 ± 0.13, P <0.0001), being positively correlated with HbA1c levels (P <0.0001). wGRSs exhibited higher AUCs than uGRSs. The wGRS containing only HLA DR/DQ SNPs showed an AUC of 0.75 (95% CI 0.72 - 0.78). The wGRS containing both HLA DR/DQ and non-HLA SNPs, adjusted for race, demonstrated the best discriminative power [AUC 0.91 (95% CI 0.89 - 0.93)]. The race adjusted-wGRS, including all SNPs, seems to be a useful genetic tool for assessing individual's predisposition to T1DM.</p>","PeriodicalId":12557,"journal":{"name":"Genetics and Molecular Biology","volume":"48 2","pages":"e20230308"},"PeriodicalIF":1.3000,"publicationDate":"2025-04-18","publicationTypes":"Journal Article","fieldsOfStudy":null,"isOpenAccess":false,"openAccessPdf":"https://www.ncbi.nlm.nih.gov/pmc/articles/PMC11999062/pdf/","citationCount":"0","resultStr":null,"platform":"Semanticscholar","paperid":null,"PeriodicalName":"Genetics and Molecular Biology","FirstCategoryId":"99","ListUrlMain":"https://doi.org/10.1590/1678-4685-GMB-2023-0308","RegionNum":4,"RegionCategory":"生物学","ArticlePicture":[],"TitleCN":null,"AbstractTextCN":null,"PMCID":null,"EPubDate":"2025/1/1 0:00:00","PubModel":"eCollection","JCR":"Q4","JCRName":"BIOCHEMISTRY & MOLECULAR BIOLOGY","Score":null,"Total":0}
引用次数: 0

Abstract

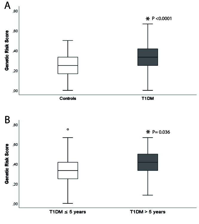
Single nucleotide polymorphisms (SNPs) in the HLA DR/DQ region have the greatest impact on susceptibility to type 1 diabetes mellitus (T1DM). Non-HLA SNPs interact with the HLA, influencing the risk for T1DM. The aim of this study was to develop a genetic risk score (GRS) based on HLA DR/DQ and non-HLA SNPs to discriminate patients with T1DM. The sample comprised 466 patients with T1DM and 469 controls. The rs689/INS, rs2476601/PTPN22, rs231775/CTLA-4, rs2304256/TYK2, rs2292239/ERBB3, and HLA DR/DQ SNPs were genotyped using real-time PCR. The unweighted GRS (uGRS) was calculated by summing the risk alleles of each SNP and the weighted GRS (wGRS) by multiplying the risk alleles by their odds ratios. The uGRS was higher in T1DM patients than in non-diabetic controls (0.34 ± 0.14 vs. 0.26 ± 0.13, P <0.0001), being positively correlated with HbA1c levels (P <0.0001). wGRSs exhibited higher AUCs than uGRSs. The wGRS containing only HLA DR/DQ SNPs showed an AUC of 0.75 (95% CI 0.72 - 0.78). The wGRS containing both HLA DR/DQ and non-HLA SNPs, adjusted for race, demonstrated the best discriminative power [AUC 0.91 (95% CI 0.89 - 0.93)]. The race adjusted-wGRS, including all SNPs, seems to be a useful genetic tool for assessing individual's predisposition to T1DM.

Abstract Image

Abstract Image

在巴西南部人群中识别遗传易感的1型糖尿病个体:遗传风险评分的构建
HLA DR/DQ区域的单核苷酸多态性(snp)对1型糖尿病(T1DM)的易感性影响最大。非HLA snp与HLA相互作用,影响T1DM的风险。本研究的目的是建立基于HLA DR/DQ和非HLA snp的遗传风险评分(GRS)来区分T1DM患者。样本包括466例T1DM患者和469例对照。rs689/INS、rs2476601/PTPN22、rs231775/CTLA-4、rs2304256/TYK2、rs2292239/ERBB3和HLA DR/DQ snp采用实时PCR进行基因分型。未加权GRS (uGRS)由各SNP的风险等位基因相加,加权GRS (wGRS)由风险等位基因乘以其比值比计算。T1DM患者的uGRS高于非糖尿病对照组(0.34±0.14∶0.26±0.13,P
本文章由计算机程序翻译,如有差异,请以英文原文为准。
求助全文
约1分钟内获得全文 求助全文
来源期刊
Genetics and Molecular Biology
Genetics and Molecular Biology 生物-生化与分子生物学
CiteScore
4.20
自引率
4.80%
发文量
111
审稿时长
3 months
期刊介绍: Genetics and Molecular Biology (formerly named Revista Brasileira de Genética/Brazilian Journal of Genetics - ISSN 0100-8455) is published by the Sociedade Brasileira de Genética (Brazilian Society of Genetics). The Journal considers contributions that present the results of original research in genetics, evolution and related scientific disciplines. Manuscripts presenting methods and applications only, without an analysis of genetic data, will not be considered.
×
引用
GB/T 7714-2015
复制
MLA
复制
APA
复制
导出至
BibTeX EndNote RefMan NoteFirst NoteExpress
×
提示
您的信息不完整,为了账户安全,请先补充。
现在去补充
×
提示
您因"违规操作"
具体请查看互助需知
我知道了
×
提示
确定
请完成安全验证×
copy
已复制链接
快去分享给好友吧!
我知道了
右上角分享
点击右上角分享
0
联系我们:info@booksci.cn Book学术提供免费学术资源搜索服务,方便国内外学者检索中英文文献。致力于提供最便捷和优质的服务体验。 Copyright © 2023 布克学术 All rights reserved.
京ICP备2023020795号-1
ghs 京公网安备 11010802042870号
Book学术文献互助
Book学术文献互助群
群 号:604180095
Book学术官方微信