A Quantitative Analysis of Work System Factors and Well-Being Among Nurses and Physicians in Rural and Urban Settings During Covid-19 Pandemic.

IF 2.1 4区 医学 Q1 NURSING
Workplace Health & Safety Pub Date : 2025-09-01 Epub Date: 2025-04-25 DOI:10.1177/21650799251333072
Lukasz M Mazur, Nayeon Lee, Marianne Baernholdt, Beth Epstein, Samantha Meltzer-Brody, Jennifer Bissram, Karthik Adapa
{"title":"A Quantitative Analysis of Work System Factors and Well-Being Among Nurses and Physicians in Rural and Urban Settings During Covid-19 Pandemic.","authors":"Lukasz M Mazur, Nayeon Lee, Marianne Baernholdt, Beth Epstein, Samantha Meltzer-Brody, Jennifer Bissram, Karthik Adapa","doi":"10.1177/21650799251333072","DOIUrl":null,"url":null,"abstract":"<p><strong>Background: </strong>The aim of this study was to assess work system factors and nurse and physician well-being across professionals (nurse vs. physician) and geographic locations (rural vs. urban) during COVID-19 pandemic.</p><p><strong>Methods: </strong>This study invited nurses and physicians within four hospitals from one large healthcare system to participate: one urban academic medical center and three rural hospitals. We measured work systems factors using the National Academy of Medicine (NAM) framework and the National Institute for Occupational Safety and Health (NIOSH) survey. Wellbeing was measured using the 2-question summative burnout score, Patient Health Questionnaire (PHQ-9) to measure depression, and post-traumatic stress disorder (PTSD) checklist (PCL) to measure PTSD symptoms. Statistical analyses were conducted using Chi-square (for Likert-scale items) and <i>t</i>-tests (for continuous scales) as appropriate. Statistical significance was set at the .05 level, two-tailed.</p><p><strong>Results: </strong>Overall, our results suggested that nurses and physicians working in the urban settings experience more impeding work system factors and are more burned out, depressed, exhibit more PTSD symptoms, and face greater overall well-being issues, when compared to nurses and physicians working in the rural settings.Conclusions/Applications to Practice:This study examined a comprehensive set of work system factors and well-being measures to better understand differences between rural and urban settings, and nurses compared to physicians. By examining this entire set of measures, we were able to provide a greater insight into the key differences, highlighting opportunities for policy-level contributions to prevent work related impairments from reaching the healthcare workforce.</p>","PeriodicalId":48968,"journal":{"name":"Workplace Health & Safety","volume":" ","pages":"440-453"},"PeriodicalIF":2.1000,"publicationDate":"2025-09-01","publicationTypes":"Journal Article","fieldsOfStudy":null,"isOpenAccess":false,"openAccessPdf":"https://www.ncbi.nlm.nih.gov/pmc/articles/PMC12301516/pdf/","citationCount":"0","resultStr":null,"platform":"Semanticscholar","paperid":null,"PeriodicalName":"Workplace Health & Safety","FirstCategoryId":"3","ListUrlMain":"https://doi.org/10.1177/21650799251333072","RegionNum":4,"RegionCategory":"医学","ArticlePicture":[],"TitleCN":null,"AbstractTextCN":null,"PMCID":null,"EPubDate":"2025/4/25 0:00:00","PubModel":"Epub","JCR":"Q1","JCRName":"NURSING","Score":null,"Total":0}
引用次数: 0

Abstract

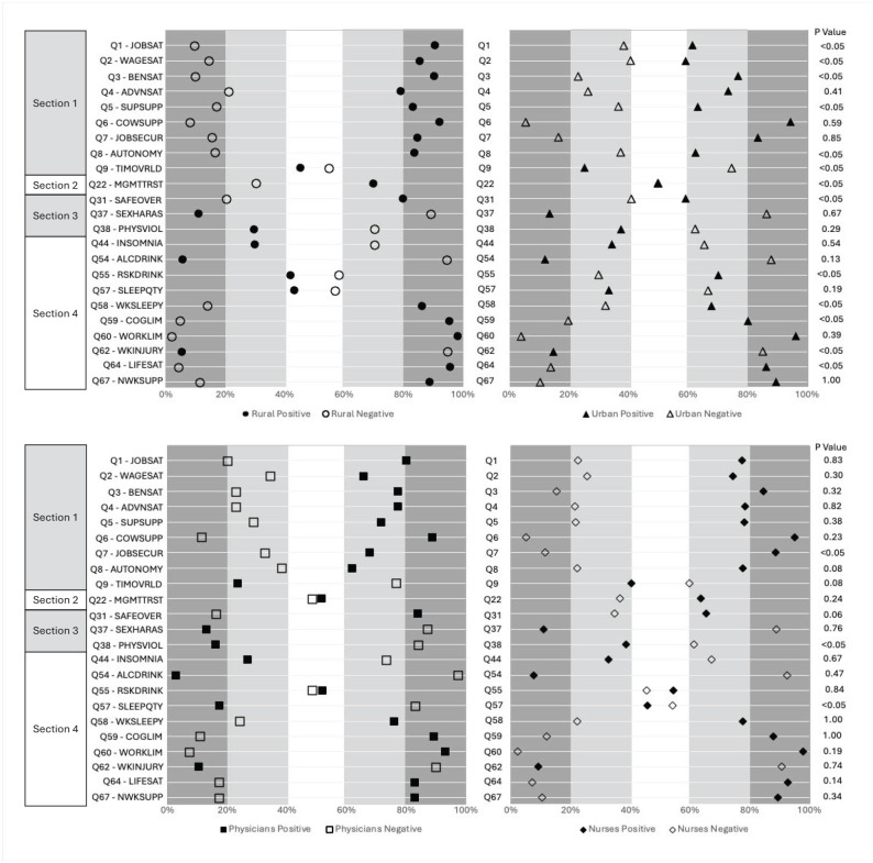
Background: The aim of this study was to assess work system factors and nurse and physician well-being across professionals (nurse vs. physician) and geographic locations (rural vs. urban) during COVID-19 pandemic.

Methods: This study invited nurses and physicians within four hospitals from one large healthcare system to participate: one urban academic medical center and three rural hospitals. We measured work systems factors using the National Academy of Medicine (NAM) framework and the National Institute for Occupational Safety and Health (NIOSH) survey. Wellbeing was measured using the 2-question summative burnout score, Patient Health Questionnaire (PHQ-9) to measure depression, and post-traumatic stress disorder (PTSD) checklist (PCL) to measure PTSD symptoms. Statistical analyses were conducted using Chi-square (for Likert-scale items) and t-tests (for continuous scales) as appropriate. Statistical significance was set at the .05 level, two-tailed.

Results: Overall, our results suggested that nurses and physicians working in the urban settings experience more impeding work system factors and are more burned out, depressed, exhibit more PTSD symptoms, and face greater overall well-being issues, when compared to nurses and physicians working in the rural settings.Conclusions/Applications to Practice:This study examined a comprehensive set of work system factors and well-being measures to better understand differences between rural and urban settings, and nurses compared to physicians. By examining this entire set of measures, we were able to provide a greater insight into the key differences, highlighting opportunities for policy-level contributions to prevent work related impairments from reaching the healthcare workforce.

Abstract Image

Abstract Image

Abstract Image

Covid-19大流行期间农村和城市护士和医生工作系统因素和幸福感的定量分析
背景:本研究的目的是评估COVID-19大流行期间专业人员(护士与医生)和地理位置(农村与城市)的工作系统因素以及护士和医生的福祉。方法:本研究邀请来自一个大型医疗保健系统的四家医院的护士和医生参与:一家城市学术医疗中心和三家农村医院。我们使用美国国家医学院(NAM)框架和美国国家职业安全与健康研究所(NIOSH)调查来衡量工作系统因素。幸福感的测量采用两题总结性倦怠评分,患者健康问卷(PHQ-9)测量抑郁,创伤后应激障碍(PTSD)检查表(PCL)测量PTSD症状。统计分析采用卡方(适用于李克特量表项目)和t检验(适用于连续量表)。统计学意义设置在0.05水平,双侧。结果:总体而言,我们的研究结果表明,与在农村工作的护士和医生相比,在城市工作的护士和医生经历了更多的工作系统障碍因素,更容易倦怠,抑郁,表现出更多的创伤后应激障碍症状,并面临更大的整体健康问题。结论/实践应用:本研究考察了一套全面的工作系统因素和福利措施,以更好地了解农村和城市环境之间的差异,以及护士与医生之间的差异。通过检查这一整套措施,我们能够更深入地了解关键差异,强调政策层面的贡献机会,以防止与工作相关的损害影响到医疗保健工作人员。
本文章由计算机程序翻译,如有差异,请以英文原文为准。
求助全文
约1分钟内获得全文 求助全文
来源期刊
CiteScore
3.70
自引率
3.80%
发文量
77
审稿时长
6-12 weeks
期刊介绍: Workplace Health & Safety: Promoting Environments Conducive to Well-Being and Productivity is the official publication of the American Association of Occupational Health Nursing, Inc. (AAOHN). It is a scientific peer-reviewed Journal. Its purpose is to support and promote the practice of occupational and environmental health nurses by providing leading edge research findings and evidence-based clinical practices. It publishes articles that span the range of issues facing occupational and environmental health professionals, including emergency and all-hazard preparedness, health promotion, safety, productivity, environmental health, case management, workers'' compensation, business and leadership, compliance and information management.
×
引用
GB/T 7714-2015
复制
MLA
复制
APA
复制
导出至
BibTeX EndNote RefMan NoteFirst NoteExpress
×
提示
您的信息不完整,为了账户安全,请先补充。
现在去补充
×
提示
您因"违规操作"
具体请查看互助需知
我知道了
×
提示
确定
请完成安全验证×
copy
已复制链接
快去分享给好友吧!
我知道了
右上角分享
点击右上角分享
0
联系我们:info@booksci.cn Book学术提供免费学术资源搜索服务,方便国内外学者检索中英文文献。致力于提供最便捷和优质的服务体验。 Copyright © 2023 布克学术 All rights reserved.
京ICP备2023020795号-1
ghs 京公网安备 11010802042870号
Book学术文献互助
Book学术文献互助群
群 号:604180095
Book学术官方微信