How does bone recover in patients with tumor-induced osteomalacia? Long-term follow-up in a national cohort study.

IF 2.4 Q2 ENDOCRINOLOGY & METABOLISM
JBMR Plus Pub Date : 2025-04-14 eCollection Date: 2025-05-01 DOI:10.1093/jbmrpl/ziaf041
María Belén Zanchetta, Fernando Jerkovich, Florencia Scioscia, Yamile Mocarbel, Analía Pignatta, Natalia Elías, Juan Manuel Roganovich, Carlos Vigovich, María Celeste Balonga, Ana Carolina Cohen, Giselle Mumbach, José Luis Mansur, Carolina Fux Otta, Walter Guillermo Douthat, Pilar Tartaglia, Griselda Cecchi, María Bastianello, Luisa Plantalech, Erich Fradinger, José Rubén Zanchetta
{"title":"How does bone recover in patients with tumor-induced osteomalacia? Long-term follow-up in a national cohort study.","authors":"María Belén Zanchetta, Fernando Jerkovich, Florencia Scioscia, Yamile Mocarbel, Analía Pignatta, Natalia Elías, Juan Manuel Roganovich, Carlos Vigovich, María Celeste Balonga, Ana Carolina Cohen, Giselle Mumbach, José Luis Mansur, Carolina Fux Otta, Walter Guillermo Douthat, Pilar Tartaglia, Griselda Cecchi, María Bastianello, Luisa Plantalech, Erich Fradinger, José Rubén Zanchetta","doi":"10.1093/jbmrpl/ziaf041","DOIUrl":null,"url":null,"abstract":"<p><p>Tumor-induced osteomalacia (TIO) is a rare disorder characterized by impaired bone mineralization due to phosphate wasting. Long-term changes in BMD and microarchitecture after surgical cure or medical therapy in TIO are not well understood. This study describes changes in BMD, microarchitecture, and bone strength in patients with TIO following surgical cure or medical therapy. A prospective cohort study included adults diagnosed with TIO from May 2018 to 2024, categorized into those with surgical cure and those on medical therapy. Follow-up assessments were classified as early (median 8 mo), intermediate (median 17 mo), and long-term (median 26 mo). Fifteen patients were included: seven achieved surgical cure, and eight remained on medical therapy. Lumbar spine BMD increased by +19% at early, +27% at intermediate, and +15% at long-term follow-up. Total hip BMD increased by +31%, +36%, and +31% at early, intermediate, and long-term assessments, respectively. All patients achieved a normal lumbar spine BMD, while 91% attained a normal total hip BMD. At the distal tibia, substantial increases in bone microarchitecture parameters-cortical area (Ct.Ar), cortical volumetric density (Ct.vBMD), and cortical thickness (Ct.Th)-were observed. Notably, Ct.Th improved to levels comparable to healthy controls. Bone strength improved by 13% but was not statistically significant, probably due to the small sample size. At the distal radius, most parameters remained stable. Patients with surgical cure showed more rapid and substantial improvements in BMD and cortical microarchitecture than non-cured patients, but these differences did not reach statistical significance. Overall, bone recovery in TIO is gradual, with gains in spine and hip BMD and significant improvements in tibial cortical parameters. However, some aspects of bone microarchitecture remained below control levels, underscoring the need for ongoing monitoring and individualized management strategies.</p>","PeriodicalId":14611,"journal":{"name":"JBMR Plus","volume":"9 5","pages":"ziaf041"},"PeriodicalIF":2.4000,"publicationDate":"2025-04-14","publicationTypes":"Journal Article","fieldsOfStudy":null,"isOpenAccess":false,"openAccessPdf":"https://www.ncbi.nlm.nih.gov/pmc/articles/PMC12010155/pdf/","citationCount":"0","resultStr":null,"platform":"Semanticscholar","paperid":null,"PeriodicalName":"JBMR Plus","FirstCategoryId":"1085","ListUrlMain":"https://doi.org/10.1093/jbmrpl/ziaf041","RegionNum":0,"RegionCategory":null,"ArticlePicture":[],"TitleCN":null,"AbstractTextCN":null,"PMCID":null,"EPubDate":"2025/5/1 0:00:00","PubModel":"eCollection","JCR":"Q2","JCRName":"ENDOCRINOLOGY & METABOLISM","Score":null,"Total":0}
引用次数: 0

Abstract

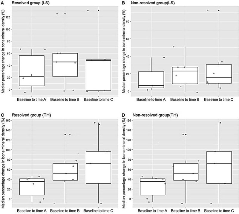
Tumor-induced osteomalacia (TIO) is a rare disorder characterized by impaired bone mineralization due to phosphate wasting. Long-term changes in BMD and microarchitecture after surgical cure or medical therapy in TIO are not well understood. This study describes changes in BMD, microarchitecture, and bone strength in patients with TIO following surgical cure or medical therapy. A prospective cohort study included adults diagnosed with TIO from May 2018 to 2024, categorized into those with surgical cure and those on medical therapy. Follow-up assessments were classified as early (median 8 mo), intermediate (median 17 mo), and long-term (median 26 mo). Fifteen patients were included: seven achieved surgical cure, and eight remained on medical therapy. Lumbar spine BMD increased by +19% at early, +27% at intermediate, and +15% at long-term follow-up. Total hip BMD increased by +31%, +36%, and +31% at early, intermediate, and long-term assessments, respectively. All patients achieved a normal lumbar spine BMD, while 91% attained a normal total hip BMD. At the distal tibia, substantial increases in bone microarchitecture parameters-cortical area (Ct.Ar), cortical volumetric density (Ct.vBMD), and cortical thickness (Ct.Th)-were observed. Notably, Ct.Th improved to levels comparable to healthy controls. Bone strength improved by 13% but was not statistically significant, probably due to the small sample size. At the distal radius, most parameters remained stable. Patients with surgical cure showed more rapid and substantial improvements in BMD and cortical microarchitecture than non-cured patients, but these differences did not reach statistical significance. Overall, bone recovery in TIO is gradual, with gains in spine and hip BMD and significant improvements in tibial cortical parameters. However, some aspects of bone microarchitecture remained below control levels, underscoring the need for ongoing monitoring and individualized management strategies.

Abstract Image

Abstract Image

Abstract Image

肿瘤性骨软化患者的骨是如何恢复的?一项国家队列研究的长期随访。
肿瘤诱导的骨软化症(TIO)是一种罕见的疾病,其特征是由于磷酸盐消耗而导致骨矿化受损。手术治愈或药物治疗后骨密度和微结构的长期变化尚不清楚。本研究描述了手术治愈或药物治疗后TIO患者的骨密度、微结构和骨强度的变化。一项前瞻性队列研究纳入了2018年5月至2024年诊断为TIO的成年人,分为手术治愈和药物治疗两组。随访评估分为早期(中位8个月)、中期(中位17个月)和长期(中位26个月)。包括15例患者:7例手术治愈,8例仍在药物治疗中。腰椎骨密度在早期增加+19%,中期增加+27%,长期随访增加+15%。在早期、中期和长期评估中,髋关节总骨密度分别增加了+31%、+36%和+31%。所有患者腰椎骨密度均达到正常,91%的患者髋部骨密度达到正常。在胫骨远端,观察到骨微结构参数-皮质面积(Ct.Ar),皮质体积密度(Ct.vBMD)和皮质厚度(Ct.Th)的显著增加。值得注意的是,Ct。改善到与健康对照组相当的水平。骨强度提高了13%,但没有统计学意义,可能是由于样本量小。在桡骨远端,大多数参数保持稳定。手术治愈的患者在骨密度和皮质微结构方面比未治愈的患者改善更快、更明显,但这些差异没有达到统计学意义。总体而言,TIO的骨恢复是渐进的,脊柱和髋部骨密度增加,胫骨皮质参数显著改善。然而,骨微结构的某些方面仍低于控制水平,强调需要持续监测和个性化管理策略。
本文章由计算机程序翻译,如有差异,请以英文原文为准。
求助全文
约1分钟内获得全文 求助全文
来源期刊
JBMR Plus
JBMR Plus Medicine-Orthopedics and Sports Medicine
CiteScore
5.80
自引率
2.60%
发文量
103
审稿时长
8 weeks
×
引用
GB/T 7714-2015
复制
MLA
复制
APA
复制
导出至
BibTeX EndNote RefMan NoteFirst NoteExpress
×
提示
您的信息不完整,为了账户安全,请先补充。
现在去补充
×
提示
您因"违规操作"
具体请查看互助需知
我知道了
×
提示
确定
请完成安全验证×
copy
已复制链接
快去分享给好友吧!
我知道了
右上角分享
点击右上角分享
0
联系我们:info@booksci.cn Book学术提供免费学术资源搜索服务,方便国内外学者检索中英文文献。致力于提供最便捷和优质的服务体验。 Copyright © 2023 布克学术 All rights reserved.
京ICP备2023020795号-1
ghs 京公网安备 11010802042870号
Book学术文献互助
Book学术文献互助群
群 号:604180095
Book学术官方微信