OXITEST as a Screening Method to Evaluate Antioxidant Agents: A Study of Oxidative Stability of Fishmeal.

IF 3.1 Q2 FOOD SCIENCE & TECHNOLOGY
International Journal of Food Science Pub Date : 2025-04-21 eCollection Date: 2025-01-01 DOI:10.1155/ijfo/5537919
Miguel Albrecht-Ruiz, Jordan Vito-Villa, Pedro Cueva Martínez, Alberto Salas-Maldonado
{"title":"OXITEST as a Screening Method to Evaluate Antioxidant Agents: A Study of Oxidative Stability of Fishmeal.","authors":"Miguel Albrecht-Ruiz, Jordan Vito-Villa, Pedro Cueva Martínez, Alberto Salas-Maldonado","doi":"10.1155/ijfo/5537919","DOIUrl":null,"url":null,"abstract":"<p><p>Oxidation in fishmeal (FM) can generate sufficient heat to potentially trigger combustion, making it essential to assess its risk of self-ignition before transport to prevent fires. Ethoxyquin, commonly used to mitigate this risk, has been banned in some markets due to its genotoxicity, driving the search for alternative antioxidants. The traditional method to evaluate this risk, the SW-846 1050 test, is costly and time-consuming. We used the simpler and cheaper OXITEST method to assess the oxidative stability of FM by comparing oxygen consumption in FM with and without antioxidants. Fresh FM without antioxidants was used, which was stored at -30°C for 6 months. FM contained 7.2% moisture, 18.8% ash, 64.3% protein, and 9.7% crude fat; of the lipids, 75% were neutral, and 25% were phospholipids. The fatty acid profile of the lipids revealed high levels of EPA and DHA, with a DHA/EPA ratio greater than 1, which makes the FM more prone to oxidation compared to anchovy oil. Initial results demonstrated oxygen consumption in FM samples, although the inflection point (IP) was not detected. In a second step, after optimizing the sample volume (50 g), temperature (80°C), and time (4 h), oxygen consumption was evaluated by OXITEST in FM samples with increasing concentrations of ethoxyquin, demonstrating an inverse correlation between concentrations of ethoxyquin and oxygen consumption (Pearson's linear). Finally, we evaluated FM samples with various commercial antioxidants and compared the area under the curve for oxygen pressure versus time using FM alone as a negative control and FM with 750 ppm of ethoxyquin as the positive control. OXITEST measurements revealed differences in the rate of oxygen pressure loss among the studied agents, offering a comparative measure of antioxidant efficiency. The OXITEST method can be employed as a rapid and cost-effective method to evaluate oxidative stability and the effectiveness of antioxidants in FM.</p>","PeriodicalId":14125,"journal":{"name":"International Journal of Food Science","volume":"2025 ","pages":"5537919"},"PeriodicalIF":3.1000,"publicationDate":"2025-04-21","publicationTypes":"Journal Article","fieldsOfStudy":null,"isOpenAccess":false,"openAccessPdf":"https://www.ncbi.nlm.nih.gov/pmc/articles/PMC12043389/pdf/","citationCount":"0","resultStr":null,"platform":"Semanticscholar","paperid":null,"PeriodicalName":"International Journal of Food Science","FirstCategoryId":"1085","ListUrlMain":"https://doi.org/10.1155/ijfo/5537919","RegionNum":0,"RegionCategory":null,"ArticlePicture":[],"TitleCN":null,"AbstractTextCN":null,"PMCID":null,"EPubDate":"2025/1/1 0:00:00","PubModel":"eCollection","JCR":"Q2","JCRName":"FOOD SCIENCE & TECHNOLOGY","Score":null,"Total":0}
引用次数: 0

Abstract

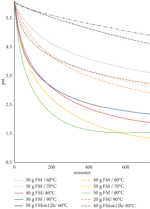
Oxidation in fishmeal (FM) can generate sufficient heat to potentially trigger combustion, making it essential to assess its risk of self-ignition before transport to prevent fires. Ethoxyquin, commonly used to mitigate this risk, has been banned in some markets due to its genotoxicity, driving the search for alternative antioxidants. The traditional method to evaluate this risk, the SW-846 1050 test, is costly and time-consuming. We used the simpler and cheaper OXITEST method to assess the oxidative stability of FM by comparing oxygen consumption in FM with and without antioxidants. Fresh FM without antioxidants was used, which was stored at -30°C for 6 months. FM contained 7.2% moisture, 18.8% ash, 64.3% protein, and 9.7% crude fat; of the lipids, 75% were neutral, and 25% were phospholipids. The fatty acid profile of the lipids revealed high levels of EPA and DHA, with a DHA/EPA ratio greater than 1, which makes the FM more prone to oxidation compared to anchovy oil. Initial results demonstrated oxygen consumption in FM samples, although the inflection point (IP) was not detected. In a second step, after optimizing the sample volume (50 g), temperature (80°C), and time (4 h), oxygen consumption was evaluated by OXITEST in FM samples with increasing concentrations of ethoxyquin, demonstrating an inverse correlation between concentrations of ethoxyquin and oxygen consumption (Pearson's linear). Finally, we evaluated FM samples with various commercial antioxidants and compared the area under the curve for oxygen pressure versus time using FM alone as a negative control and FM with 750 ppm of ethoxyquin as the positive control. OXITEST measurements revealed differences in the rate of oxygen pressure loss among the studied agents, offering a comparative measure of antioxidant efficiency. The OXITEST method can be employed as a rapid and cost-effective method to evaluate oxidative stability and the effectiveness of antioxidants in FM.

Abstract Image

Abstract Image

Abstract Image

OXITEST作为评价抗氧化剂的筛选方法——鱼粉氧化稳定性的研究。
鱼粉(FM)中的氧化可以产生足够的热量,可能引发燃烧,因此在运输前评估其自燃风险以防止火灾至关重要。乙氧喹通常用于降低这种风险,但由于其遗传毒性,已在一些市场上被禁止使用,这促使人们寻找替代抗氧化剂。评估这种风险的传统方法是SW-846 1050测试,这种方法既昂贵又耗时。我们采用更简单、更便宜的OXITEST方法,通过比较添加和不添加抗氧化剂的FM中的耗氧量来评估FM的氧化稳定性。采用不含抗氧化剂的新鲜FM,在-30℃下保存6个月。FM中水分7.2%,灰分18.8%,蛋白质64.3%,粗脂肪9.7%;在脂质中,75%是中性的,25%是磷脂。脂质脂肪酸谱显示高水平的EPA和DHA, DHA/EPA比值大于1,这使得鱼油比凤尾鱼油更容易氧化。虽然没有检测到拐点(IP),但初步结果显示FM样品中的氧气消耗。第二步,在优化样品体积(50 g)、温度(80°C)和时间(4 h)后,随着乙氧基醌浓度的增加,用OXITEST评估FM样品的耗氧量,结果表明乙氧基醌浓度与耗氧量呈负相关(Pearson线性)。最后,我们对含有各种商业抗氧化剂的FM样品进行了评估,并将单独使用FM作为阴性对照和添加750 ppm乙氧基醌作为阳性对照的FM样品的氧气压力与时间曲线下面积进行了比较。OXITEST测量结果揭示了所研究试剂之间氧压损失率的差异,提供了抗氧化效率的比较措施。OXITEST方法可以作为一种快速、经济的方法来评价FM中抗氧化剂的氧化稳定性和有效性。
本文章由计算机程序翻译,如有差异,请以英文原文为准。
求助全文
约1分钟内获得全文 求助全文
来源期刊
International Journal of Food Science
International Journal of Food Science Agricultural and Biological Sciences-Food Science
CiteScore
6.20
自引率
2.50%
发文量
105
审稿时长
11 weeks
期刊介绍: International Journal of Food Science is a peer-reviewed, Open Access journal that publishes research and review articles in all areas of food science. As a multidisciplinary journal, articles discussing all aspects of food science will be considered, including, but not limited to: enhancing shelf life, food deterioration, food engineering, food handling, food processing, food quality, food safety, microbiology, and nutritional research. The journal aims to provide a valuable resource for food scientists, food producers, food retailers, nutritionists, the public health sector, and relevant governmental and non-governmental agencies.
×
引用
GB/T 7714-2015
复制
MLA
复制
APA
复制
导出至
BibTeX EndNote RefMan NoteFirst NoteExpress
×
提示
您的信息不完整,为了账户安全,请先补充。
现在去补充
×
提示
您因"违规操作"
具体请查看互助需知
我知道了
×
提示
确定
请完成安全验证×
copy
已复制链接
快去分享给好友吧!
我知道了
右上角分享
点击右上角分享
0
联系我们:info@booksci.cn Book学术提供免费学术资源搜索服务,方便国内外学者检索中英文文献。致力于提供最便捷和优质的服务体验。 Copyright © 2023 布克学术 All rights reserved.
京ICP备2023020795号-1
ghs 京公网安备 11010802042870号
Book学术文献互助
Book学术文献互助群
群 号:604180095
Book学术官方微信