Predictive Factors of Free Flap Volume Evolution in Head and Neck Reconstruction.

IF 2.5 3区 医学 Q1 OTORHINOLARYNGOLOGY
Otolaryngology- Head and Neck Surgery Pub Date : 2025-09-01 Epub Date: 2025-04-29 DOI:10.1002/ohn.1284
Quentin Hennocq, Jean-Baptiste Caruhel, Mourad Benassarou, Jebrane Bouaoud, André Chaine, Angélique Girod, Nicolas Graillon, Sylvie Testelin, Mélika Amor-Sahli, Jean-Philippe Foy, Chloé Bertolus
{"title":"Predictive Factors of Free Flap Volume Evolution in Head and Neck Reconstruction.","authors":"Quentin Hennocq, Jean-Baptiste Caruhel, Mourad Benassarou, Jebrane Bouaoud, André Chaine, Angélique Girod, Nicolas Graillon, Sylvie Testelin, Mélika Amor-Sahli, Jean-Philippe Foy, Chloé Bertolus","doi":"10.1002/ohn.1284","DOIUrl":null,"url":null,"abstract":"<p><strong>Objective: </strong>The aim of our study was to determine the factors influencing the evolution of the total volume and bone volume of free flaps commonly used in head and neck surgery, with a 30-month prospective study, to establish volume change predictions and thus propose a degree of overcorrection to be expected before reconstruction.</p><p><strong>Study design: </strong>We prospectively included all consecutive free flap.</p><p><strong>Setting: </strong>Our maxillofacial surgery department between August 2021 and January 2024.</p><p><strong>Methods: </strong>We collected information on preoperative, per-operative, and postoperative factors, on patients, surgical techniques, and adjuvant treatments. We measured on each postoperative imaging the overall flap volume and bone volume if applicable. Multivariate mixed models were then used to select clinical parameters associated with volume loss.</p><p><strong>Results: </strong>We included 166 flaps, performed on 155 patients. The mean age was 60.1 ± 15.1 years. A total of 634 imagings were segmented (487 computed tomography [CT] scans, 77%; 147 magnetic resonance imagings [MRIs], 23%). The use of the superior thyroid or lingual veins for venous anastomosis, such as the use of small couplers, resulted in negative volume changes. Predicted bone volumes decreased by 23% at 30 months for deep circumflex iliac artery (DCIA) free flaps, 19% for fibula free flap (FFF), and 38% for scapular system free flap (SFF).</p><p><strong>Conclusion: </strong>These findings allow us to envisage a volume overcorrection of around 60% for fasciocutaneous or osteocutaneous flaps, and 75% for muscle or osteomuscular flaps. The choice of vein and microsurgical technique seems to have more impact on the evolution of free flap volume than patient characteristics or adjuvant treatments.</p>","PeriodicalId":19707,"journal":{"name":"Otolaryngology- Head and Neck Surgery","volume":" ","pages":"592-602"},"PeriodicalIF":2.5000,"publicationDate":"2025-09-01","publicationTypes":"Journal Article","fieldsOfStudy":null,"isOpenAccess":false,"openAccessPdf":"https://www.ncbi.nlm.nih.gov/pmc/articles/PMC12379861/pdf/","citationCount":"0","resultStr":null,"platform":"Semanticscholar","paperid":null,"PeriodicalName":"Otolaryngology- Head and Neck Surgery","FirstCategoryId":"3","ListUrlMain":"https://doi.org/10.1002/ohn.1284","RegionNum":3,"RegionCategory":"医学","ArticlePicture":[],"TitleCN":null,"AbstractTextCN":null,"PMCID":null,"EPubDate":"2025/4/29 0:00:00","PubModel":"Epub","JCR":"Q1","JCRName":"OTORHINOLARYNGOLOGY","Score":null,"Total":0}
引用次数: 0

Abstract

Objective: The aim of our study was to determine the factors influencing the evolution of the total volume and bone volume of free flaps commonly used in head and neck surgery, with a 30-month prospective study, to establish volume change predictions and thus propose a degree of overcorrection to be expected before reconstruction.

Study design: We prospectively included all consecutive free flap.

Setting: Our maxillofacial surgery department between August 2021 and January 2024.

Methods: We collected information on preoperative, per-operative, and postoperative factors, on patients, surgical techniques, and adjuvant treatments. We measured on each postoperative imaging the overall flap volume and bone volume if applicable. Multivariate mixed models were then used to select clinical parameters associated with volume loss.

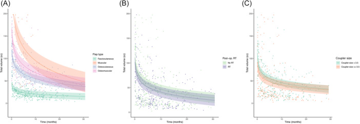
Results: We included 166 flaps, performed on 155 patients. The mean age was 60.1 ± 15.1 years. A total of 634 imagings were segmented (487 computed tomography [CT] scans, 77%; 147 magnetic resonance imagings [MRIs], 23%). The use of the superior thyroid or lingual veins for venous anastomosis, such as the use of small couplers, resulted in negative volume changes. Predicted bone volumes decreased by 23% at 30 months for deep circumflex iliac artery (DCIA) free flaps, 19% for fibula free flap (FFF), and 38% for scapular system free flap (SFF).

Conclusion: These findings allow us to envisage a volume overcorrection of around 60% for fasciocutaneous or osteocutaneous flaps, and 75% for muscle or osteomuscular flaps. The choice of vein and microsurgical technique seems to have more impact on the evolution of free flap volume than patient characteristics or adjuvant treatments.

Abstract Image

Abstract Image

头颈部重建中自由皮瓣体积变化的预测因素。
目的:我们研究的目的是确定影响头颈部手术中常用的游离皮瓣的总体积和骨体积演变的因素,通过30个月的前瞻性研究,建立体积变化预测,从而提出重建前预期的过矫程度。研究设计:前瞻性纳入所有连续游离皮瓣。地点:2021年8月至2024年1月,我们的颌面外科。方法:我们收集术前、术中、术后因素、患者、手术技术和辅助治疗的信息。我们在每次术后成像中测量皮瓣的总体积和骨体积(如果适用)。然后使用多变量混合模型来选择与体积损失相关的临床参数。结果:我们纳入了166个皮瓣,对155例患者进行了手术。平均年龄60.1±15.1岁。共分割634张图像(CT扫描487张,77%;磁共振成像[mri] 147, 23%)。使用甲状腺上静脉或舌静脉进行静脉吻合,如使用小耦合器,导致负容积变化。预测骨体积在30个月时,深旋髂动脉(DCIA)自由皮瓣减少23%,腓骨自由皮瓣(FFF)减少19%,肩胛骨系统自由皮瓣(SFF)减少38%。结论:这些发现使我们能够设想筋膜或骨皮皮瓣的体积矫正率约为60%,肌肉或骨骼肌皮瓣的体积矫正率为75%。静脉和显微外科技术的选择似乎比患者特征或辅助治疗对自由皮瓣体积的演变有更大的影响。
本文章由计算机程序翻译,如有差异,请以英文原文为准。
求助全文
约1分钟内获得全文 求助全文
来源期刊
Otolaryngology- Head and Neck Surgery
Otolaryngology- Head and Neck Surgery 医学-耳鼻喉科学
CiteScore
6.70
自引率
2.90%
发文量
250
审稿时长
2-4 weeks
期刊介绍: Otolaryngology–Head and Neck Surgery (OTO-HNS) is the official peer-reviewed publication of the American Academy of Otolaryngology–Head and Neck Surgery Foundation. The mission of Otolaryngology–Head and Neck Surgery is to publish contemporary, ethical, clinically relevant information in otolaryngology, head and neck surgery (ear, nose, throat, head, and neck disorders) that can be used by otolaryngologists, clinicians, scientists, and specialists to improve patient care and public health.
×
引用
GB/T 7714-2015
复制
MLA
复制
APA
复制
导出至
BibTeX EndNote RefMan NoteFirst NoteExpress
×
提示
您的信息不完整,为了账户安全,请先补充。
现在去补充
×
提示
您因"违规操作"
具体请查看互助需知
我知道了
×
提示
确定
请完成安全验证×
copy
已复制链接
快去分享给好友吧!
我知道了
右上角分享
点击右上角分享
0
联系我们:info@booksci.cn Book学术提供免费学术资源搜索服务,方便国内外学者检索中英文文献。致力于提供最便捷和优质的服务体验。 Copyright © 2023 布克学术 All rights reserved.
京ICP备2023020795号-1
ghs 京公网安备 11010802042870号
Book学术文献互助
Book学术文献互助群
群 号:604180095
Book学术官方微信