Dietary intake and tissue biomarkers of omega-6 fatty acids and risk of colorectal cancer in adults: a systematic review and dose-response meta-analysis of prospective cohort studies.

IF 5.2 2区 医学 Q1 ENDOCRINOLOGY & METABOLISM
Negin Atashi, Niloofar Eshaghian, Javad Anjom-Shoae, Gholamreza Askari, Masoomeh Asadi, Omid Sadeghi
{"title":"Dietary intake and tissue biomarkers of omega-6 fatty acids and risk of colorectal cancer in adults: a systematic review and dose-response meta-analysis of prospective cohort studies.","authors":"Negin Atashi, Niloofar Eshaghian, Javad Anjom-Shoae, Gholamreza Askari, Masoomeh Asadi, Omid Sadeghi","doi":"10.1038/s41387-025-00367-w","DOIUrl":null,"url":null,"abstract":"<p><p>Findings on the associations of dietary/tissue levels of omega-6 polyunsaturated fatty acids (n-6 PUFAs) with the risk of colorectal cancer (CRC) are conflicting. We conducted a dose-response meta-analysis to assess the associations of dietary/tissue levels of n-6 PUFAs [total, linoleic acid (LA), and arachidonic acid (AA)] with CRC risk in adults. Twenty prospective cohort studies with a total sample size of 787,490 participants were included. Comparing extreme intake levels of LA revealed the summary relative risks (RR) of 1.15 (95% confidence interval (CI): 1.05-1.27) for CRC, and 1.30 (95% CI: 1.00-1.68) for rectal cancer, indicating a significant positive association for LA. However, neither total n-6 PUFAs nor AA were associated with cancers. A significant positive association was also found between a 1 gr/day increase in dietary LA intake and risk of colon cancer (RR: 1.01, 95% CI: 1.00-1.02). There were no significant associations between tissue levels of total n-6 PUFAs (RR: 0.94, 95% CI: 0.75-1.19), LA (RR: 0.93, 95% CI: 0.61-1.41), and AA (RR: 0.97, 95% CI: 0.70-1.33) and CRC risk. In conclusion, these findings suggest that dietary intake, but not tissue levels, of LA was associated with an increased risk of colorectal, colon, and rectal cancers. (PROSPERO registration: CRD42024516584).</p>","PeriodicalId":19339,"journal":{"name":"Nutrition & Diabetes","volume":"15 1","pages":"17"},"PeriodicalIF":5.2000,"publicationDate":"2025-04-18","publicationTypes":"Journal Article","fieldsOfStudy":null,"isOpenAccess":false,"openAccessPdf":"https://www.ncbi.nlm.nih.gov/pmc/articles/PMC12008374/pdf/","citationCount":"0","resultStr":null,"platform":"Semanticscholar","paperid":null,"PeriodicalName":"Nutrition & Diabetes","FirstCategoryId":"3","ListUrlMain":"https://doi.org/10.1038/s41387-025-00367-w","RegionNum":2,"RegionCategory":"医学","ArticlePicture":[],"TitleCN":null,"AbstractTextCN":null,"PMCID":null,"EPubDate":"","PubModel":"","JCR":"Q1","JCRName":"ENDOCRINOLOGY & METABOLISM","Score":null,"Total":0}
引用次数: 0

Abstract

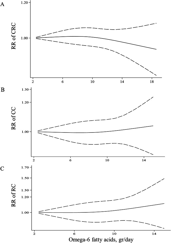
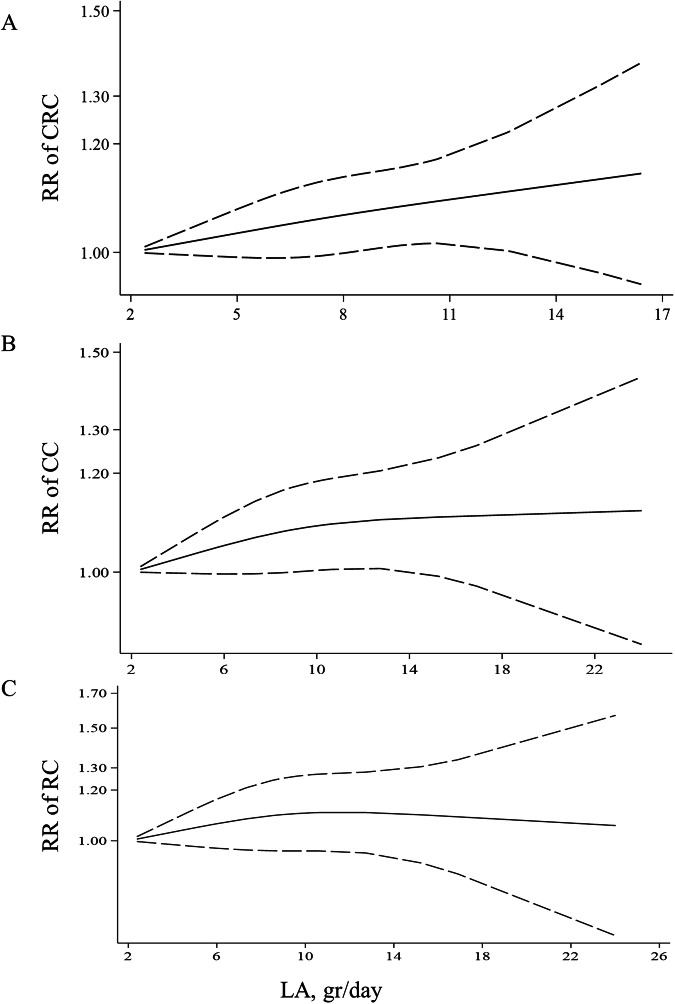
Findings on the associations of dietary/tissue levels of omega-6 polyunsaturated fatty acids (n-6 PUFAs) with the risk of colorectal cancer (CRC) are conflicting. We conducted a dose-response meta-analysis to assess the associations of dietary/tissue levels of n-6 PUFAs [total, linoleic acid (LA), and arachidonic acid (AA)] with CRC risk in adults. Twenty prospective cohort studies with a total sample size of 787,490 participants were included. Comparing extreme intake levels of LA revealed the summary relative risks (RR) of 1.15 (95% confidence interval (CI): 1.05-1.27) for CRC, and 1.30 (95% CI: 1.00-1.68) for rectal cancer, indicating a significant positive association for LA. However, neither total n-6 PUFAs nor AA were associated with cancers. A significant positive association was also found between a 1 gr/day increase in dietary LA intake and risk of colon cancer (RR: 1.01, 95% CI: 1.00-1.02). There were no significant associations between tissue levels of total n-6 PUFAs (RR: 0.94, 95% CI: 0.75-1.19), LA (RR: 0.93, 95% CI: 0.61-1.41), and AA (RR: 0.97, 95% CI: 0.70-1.33) and CRC risk. In conclusion, these findings suggest that dietary intake, but not tissue levels, of LA was associated with an increased risk of colorectal, colon, and rectal cancers. (PROSPERO registration: CRD42024516584).

Abstract Image

Abstract Image

Abstract Image

成人饮食摄入和omega-6脂肪酸的组织生物标志物与结直肠癌风险:前瞻性队列研究的系统回顾和剂量反应荟萃分析
关于饮食/组织中omega-6多不饱和脂肪酸(n-6 PUFAs)水平与结直肠癌(CRC)风险之间关系的研究结果是相互矛盾的。我们进行了一项剂量-反应荟萃分析,以评估膳食/组织中n-6 PUFAs[总亚油酸(LA)和花生四烯酸(AA)]水平与成人结直肠癌风险的关系。纳入了20项前瞻性队列研究,总样本量为787,490名参与者。比较LA的极端摄入水平显示,结直肠癌的总相对风险(RR)为1.15(95%可信区间(CI): 1.05-1.27),直肠癌的总相对风险(RR)为1.30 (95% CI: 1.00-1.68),表明LA与结直肠癌有显著的正相关。然而,总n-6 PUFAs和AA都与癌症无关。饮食中每天增加1克LA摄入量与结肠癌风险之间也存在显著的正相关(RR: 1.01, 95% CI: 1.00-1.02)。总n-6 PUFAs (RR: 0.94, 95% CI: 0.75-1.19)、LA (RR: 0.93, 95% CI: 0.61-1.41)和AA (RR: 0.97, 95% CI: 0.70-1.33)的组织水平与结直肠癌风险无显著相关性。总之,这些发现表明,饮食摄入而非组织水平的LA与结直肠癌、结肠癌和直肠癌的风险增加有关。(普洛斯彼罗注册号:CRD42024516584)。
本文章由计算机程序翻译,如有差异,请以英文原文为准。
求助全文
约1分钟内获得全文 求助全文
来源期刊
Nutrition & Diabetes
Nutrition & Diabetes ENDOCRINOLOGY & METABOLISM-NUTRITION & DIETETICS
CiteScore
9.20
自引率
0.00%
发文量
50
审稿时长
>12 weeks
期刊介绍: Nutrition & Diabetes is a peer-reviewed, online, open access journal bringing to the fore outstanding research in the areas of nutrition and chronic disease, including diabetes, from the molecular to the population level.
×
引用
GB/T 7714-2015
复制
MLA
复制
APA
复制
导出至
BibTeX EndNote RefMan NoteFirst NoteExpress
×
提示
您的信息不完整,为了账户安全,请先补充。
现在去补充
×
提示
您因"违规操作"
具体请查看互助需知
我知道了
×
提示
确定
请完成安全验证×
copy
已复制链接
快去分享给好友吧!
我知道了
右上角分享
点击右上角分享
0
联系我们:info@booksci.cn Book学术提供免费学术资源搜索服务,方便国内外学者检索中英文文献。致力于提供最便捷和优质的服务体验。 Copyright © 2023 布克学术 All rights reserved.
京ICP备2023020795号-1
ghs 京公网安备 11010802042870号
Book学术文献互助
Book学术文献互助群
群 号:604180095
Book学术官方微信