Prognostic Utility of the MEST-C Score Combined With Clinical Parameters in Hispanic Patients With IgA Nephropathy.

IF 1.4 Q3 UROLOGY & NEPHROLOGY
International Journal of Nephrology Pub Date : 2025-03-05 eCollection Date: 2025-01-01 DOI:10.1155/ijne/6974280
Lyzinhawer Alza-Arcila, Esteban Echeverri-Fernández, Mauricio Restrepo-Escobar, Ligia Lorena Calderón, José Manuel Ustáriz, Luis Fernando Arias-Restrepo, Joaquín Roberto Rodelo-Ceballos
{"title":"Prognostic Utility of the MEST-C Score Combined With Clinical Parameters in Hispanic Patients With IgA Nephropathy.","authors":"Lyzinhawer Alza-Arcila, Esteban Echeverri-Fernández, Mauricio Restrepo-Escobar, Ligia Lorena Calderón, José Manuel Ustáriz, Luis Fernando Arias-Restrepo, Joaquín Roberto Rodelo-Ceballos","doi":"10.1155/ijne/6974280","DOIUrl":null,"url":null,"abstract":"<p><p><b>Introduction:</b> The Oxford/MEST-C classification is a histopathological scoring system for patients with IgA nephropathy (IgAN) that has demonstrated prognostic utility. The aim of this study was to evaluate the prognostic utility of the combination of clinical characteristics and MEST-C in Hispanic ethnicity patients. <b>Methods:</b> Retrospective cohort study. Clinical, laboratory, and kidney biopsy information with MEST-C classification was obtained. The primary outcome was the development of end-stage kidney disease (ESKD). Cox regression analysis was performed for factors associated with ESKD, and Kaplan-Meier survival analysis for kidney survival. <b>Results:</b> A total of 397 patients were included, 51% were male, median age was 38 years with an interquartile range (IQR) of 28-53. The main comorbidity was hypertension present in 60.5%. At the time of biopsy, estimated glomerular filtration rate (eGFR) was 54 mL/min (IQR 33-94) and 24 h proteinuria was 1680 mg (IQR 594-3500). 30.7% of patients developed ESKD over a median follow-up of 1702 days (IQR 808-2858). Multivariate analysis of M, E, S, T, and C lesions showed that only S and T lesions correlated with the development of ESKD. The combination of S and T items of the MEST-C score with variables such as age, eGFR, proteinuria, and hypertension were significantly associated with the outcome. Explored prognostic models showed a high Harrel's C concordance index of 0.89. <b>Conclusion:</b> Performing the MEST score, especially the presence of sclerosing (S) and tubular fibrosis/atrophy (T) lesions combined with clinical variables are prognostic variables in the Hispanic population.</p>","PeriodicalId":14177,"journal":{"name":"International Journal of Nephrology","volume":"2025 ","pages":"6974280"},"PeriodicalIF":1.4000,"publicationDate":"2025-03-05","publicationTypes":"Journal Article","fieldsOfStudy":null,"isOpenAccess":false,"openAccessPdf":"https://www.ncbi.nlm.nih.gov/pmc/articles/PMC11991785/pdf/","citationCount":"0","resultStr":null,"platform":"Semanticscholar","paperid":null,"PeriodicalName":"International Journal of Nephrology","FirstCategoryId":"1085","ListUrlMain":"https://doi.org/10.1155/ijne/6974280","RegionNum":0,"RegionCategory":null,"ArticlePicture":[],"TitleCN":null,"AbstractTextCN":null,"PMCID":null,"EPubDate":"2025/1/1 0:00:00","PubModel":"eCollection","JCR":"Q3","JCRName":"UROLOGY & NEPHROLOGY","Score":null,"Total":0}
引用次数: 0

Abstract

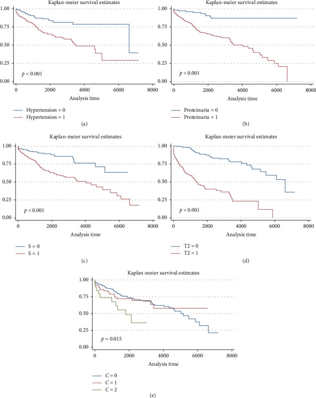
Introduction: The Oxford/MEST-C classification is a histopathological scoring system for patients with IgA nephropathy (IgAN) that has demonstrated prognostic utility. The aim of this study was to evaluate the prognostic utility of the combination of clinical characteristics and MEST-C in Hispanic ethnicity patients. Methods: Retrospective cohort study. Clinical, laboratory, and kidney biopsy information with MEST-C classification was obtained. The primary outcome was the development of end-stage kidney disease (ESKD). Cox regression analysis was performed for factors associated with ESKD, and Kaplan-Meier survival analysis for kidney survival. Results: A total of 397 patients were included, 51% were male, median age was 38 years with an interquartile range (IQR) of 28-53. The main comorbidity was hypertension present in 60.5%. At the time of biopsy, estimated glomerular filtration rate (eGFR) was 54 mL/min (IQR 33-94) and 24 h proteinuria was 1680 mg (IQR 594-3500). 30.7% of patients developed ESKD over a median follow-up of 1702 days (IQR 808-2858). Multivariate analysis of M, E, S, T, and C lesions showed that only S and T lesions correlated with the development of ESKD. The combination of S and T items of the MEST-C score with variables such as age, eGFR, proteinuria, and hypertension were significantly associated with the outcome. Explored prognostic models showed a high Harrel's C concordance index of 0.89. Conclusion: Performing the MEST score, especially the presence of sclerosing (S) and tubular fibrosis/atrophy (T) lesions combined with clinical variables are prognostic variables in the Hispanic population.

Abstract Image

Abstract Image

MEST-C评分结合临床参数在西班牙IgA肾病患者中的预后价值
简介:牛津/MEST-C分级是一种用于IgA肾病(IgAN)患者的组织病理学评分系统,已被证明具有预后价值。本研究的目的是评估临床特征和mst - c在西班牙裔患者中的预后效用。方法:回顾性队列研究。获得临床、实验室和肾活检信息及MEST-C分类。主要终点是终末期肾脏疾病(ESKD)的发展。对ESKD相关因素进行Cox回归分析,对肾脏生存进行Kaplan-Meier生存分析。结果:共纳入397例患者,男性占51%,中位年龄38岁,四分位数范围(IQR) 28 ~ 53岁。60.5%的患者主要合并症为高血压。活检时,估计肾小球滤过率(eGFR)为54 mL/min (IQR 33-94), 24小时蛋白尿为1680 mg (IQR 594-3500)。在中位随访1702天(IQR 808-2858)期间,30.7%的患者发生ESKD。M、E、S、T和C病变的多变量分析显示,只有S和T病变与ESKD的发展相关。MEST-C评分的S和T项与年龄、eGFR、蛋白尿和高血压等变量的结合与结果显著相关。所探索的预后模型显示出较高的Harrel’s C一致性指数为0.89。结论:进行MEST评分,特别是硬化(S)和小管纤维化/萎缩(T)病变的存在以及临床变量是西班牙裔人群的预后变量。
本文章由计算机程序翻译,如有差异,请以英文原文为准。
求助全文
约1分钟内获得全文 求助全文
来源期刊
International Journal of Nephrology
International Journal of Nephrology UROLOGY & NEPHROLOGY-
CiteScore
3.40
自引率
4.80%
发文量
44
审稿时长
17 weeks
期刊介绍: International Journal of Nephrology is a peer-reviewed, Open Access journal that publishes original research articles, review articles, and clinical studies focusing on the prevention, diagnosis, and management of kidney diseases and associated disorders. The journal welcomes submissions related to cell biology, developmental biology, genetics, immunology, pathology, pathophysiology of renal disease and progression, clinical nephrology, dialysis, and transplantation.
×
引用
GB/T 7714-2015
复制
MLA
复制
APA
复制
导出至
BibTeX EndNote RefMan NoteFirst NoteExpress
×
提示
您的信息不完整,为了账户安全,请先补充。
现在去补充
×
提示
您因"违规操作"
具体请查看互助需知
我知道了
×
提示
确定
请完成安全验证×
copy
已复制链接
快去分享给好友吧!
我知道了
右上角分享
点击右上角分享
0
联系我们:info@booksci.cn Book学术提供免费学术资源搜索服务,方便国内外学者检索中英文文献。致力于提供最便捷和优质的服务体验。 Copyright © 2023 布克学术 All rights reserved.
京ICP备2023020795号-1
ghs 京公网安备 11010802042870号
Book学术文献互助
Book学术文献互助群
群 号:604180095
Book学术官方微信