Development and Evaluation of Thrombin-Loaded Gelatin Hemostatic Sheets for Spinal Surgery Applications.

IF 1.2 Q3 SURGERY
Spine Surgery and Related Research Pub Date : 2024-09-09 eCollection Date: 2025-03-27 DOI:10.22603/ssrr.2024-0147
Atsuyuki Kawabata, Satoru Egawa, Makoto Ogino, Toshitaka Yoshii
{"title":"Development and Evaluation of Thrombin-Loaded Gelatin Hemostatic Sheets for Spinal Surgery Applications.","authors":"Atsuyuki Kawabata, Satoru Egawa, Makoto Ogino, Toshitaka Yoshii","doi":"10.22603/ssrr.2024-0147","DOIUrl":null,"url":null,"abstract":"<p><strong>Introduction: </strong>During spinal surgery, management of intraoperative bleeding and effective hemostasis are required to clearly visualize the surgical field and to safely perform procedures and positive postoperative outcomes. However, it is challenging to stop bleeding from the venous plexus around the dural sac due to the potential risk of neural tissue damage. We aimed to develop hemostatic sheets with appropriate characteristics for spinal surgery, such as softness, appropriate thickness, biodegradability, thrombin bioactivity, and minimal water-induced expansion.</p><p><strong>Methods: </strong>Hemostatic sheets were made by dissolving bovine bone-derived gelatin in water and aerating it to form foam, followed by freeze-drying, crosslinking, and thrombin-soaking. Sheets A to H were produced with different gelatin concentrations, foam densities, and crosslinking times by additional heat treatment. The sheets were then soaked in thrombin solution for enhanced hemostasis. Material properties, such as density, tensile strength, biodegradability, and hemostatic capacity, were evaluated. Sheet efficacy was further assessed with liver bleeding and spinal venous plexus bleeding models in a miniature pig.</p><p><strong>Results: </strong>High-density gelatin sheets showed stable shape retention in wet conditions and robust tensile strength. Sheets with higher density and more crosslinking had prolonged persistence in the pepsin test and lower biodegradability in vivo. Sheet B, produced from a 4% gelatin solution with heating at 155°C for 4 h, showed the best balance of properties, such as no deformation cracks, rapid water absorption, minimal expansion, and faster degradation within 10 weeks, compared with TachoSil and other sheets. In hemostasis models, Sheet B outperformed Avitene and TachoSil, achieving higher success rates in spinal (four out of six sites) and liver bleeding (five out of five sites) models.</p><p><strong>Conclusions: </strong>A thrombin-loaded hemostatic sheet produced from 4% gelatin solution with a short heating time for crosslinking demonstrated well-balanced material properties, such as shape retention, biodegradability, and wet expansion rate, which resulted in effective hemostasis in in vivo models. These advances may contribute to surgical hemostatic applications.</p>","PeriodicalId":22253,"journal":{"name":"Spine Surgery and Related Research","volume":"9 2","pages":"218-225"},"PeriodicalIF":1.2000,"publicationDate":"2024-09-09","publicationTypes":"Journal Article","fieldsOfStudy":null,"isOpenAccess":false,"openAccessPdf":"https://www.ncbi.nlm.nih.gov/pmc/articles/PMC11983116/pdf/","citationCount":"0","resultStr":null,"platform":"Semanticscholar","paperid":null,"PeriodicalName":"Spine Surgery and Related Research","FirstCategoryId":"1085","ListUrlMain":"https://doi.org/10.22603/ssrr.2024-0147","RegionNum":0,"RegionCategory":null,"ArticlePicture":[],"TitleCN":null,"AbstractTextCN":null,"PMCID":null,"EPubDate":"2025/3/27 0:00:00","PubModel":"eCollection","JCR":"Q3","JCRName":"SURGERY","Score":null,"Total":0}
引用次数: 0

Abstract

Introduction: During spinal surgery, management of intraoperative bleeding and effective hemostasis are required to clearly visualize the surgical field and to safely perform procedures and positive postoperative outcomes. However, it is challenging to stop bleeding from the venous plexus around the dural sac due to the potential risk of neural tissue damage. We aimed to develop hemostatic sheets with appropriate characteristics for spinal surgery, such as softness, appropriate thickness, biodegradability, thrombin bioactivity, and minimal water-induced expansion.

Methods: Hemostatic sheets were made by dissolving bovine bone-derived gelatin in water and aerating it to form foam, followed by freeze-drying, crosslinking, and thrombin-soaking. Sheets A to H were produced with different gelatin concentrations, foam densities, and crosslinking times by additional heat treatment. The sheets were then soaked in thrombin solution for enhanced hemostasis. Material properties, such as density, tensile strength, biodegradability, and hemostatic capacity, were evaluated. Sheet efficacy was further assessed with liver bleeding and spinal venous plexus bleeding models in a miniature pig.

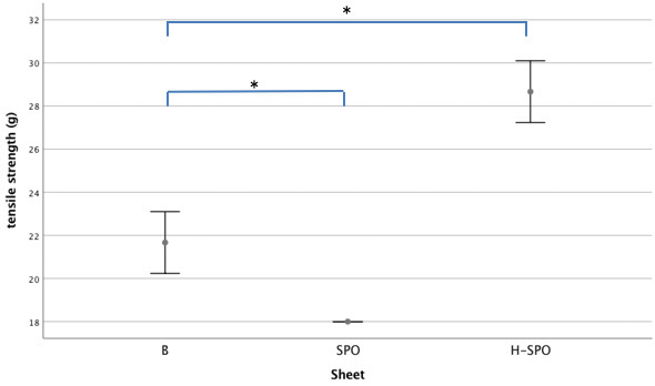
Results: High-density gelatin sheets showed stable shape retention in wet conditions and robust tensile strength. Sheets with higher density and more crosslinking had prolonged persistence in the pepsin test and lower biodegradability in vivo. Sheet B, produced from a 4% gelatin solution with heating at 155°C for 4 h, showed the best balance of properties, such as no deformation cracks, rapid water absorption, minimal expansion, and faster degradation within 10 weeks, compared with TachoSil and other sheets. In hemostasis models, Sheet B outperformed Avitene and TachoSil, achieving higher success rates in spinal (four out of six sites) and liver bleeding (five out of five sites) models.

Conclusions: A thrombin-loaded hemostatic sheet produced from 4% gelatin solution with a short heating time for crosslinking demonstrated well-balanced material properties, such as shape retention, biodegradability, and wet expansion rate, which resulted in effective hemostasis in in vivo models. These advances may contribute to surgical hemostatic applications.

Abstract Image

Abstract Image

Abstract Image

用于脊柱外科的含凝血酶明胶止血片的开发与评价。
在脊柱外科手术中,术中出血的管理和有效止血需要清楚地看到手术视野,安全进行手术和积极的术后结果。然而,由于潜在的神经组织损伤风险,从硬脑膜囊周围的静脉丛止血是具有挑战性的。我们的目标是开发适合脊柱手术的止血片,如柔软,适当的厚度,可生物降解性,凝血酶生物活性和最小的水诱导膨胀。方法:将牛骨明胶溶解于水中,充气形成泡沫,冷冻干燥、交联、凝血剂浸泡制成止血片。通过额外的热处理,制备了不同明胶浓度、泡沫密度和交联时间的薄片A至H。然后将薄片浸泡在凝血酶溶液中以增强止血作用。材料性能,如密度,拉伸强度,生物降解性和止血能力,进行了评估。用小型猪肝出血和脊髓静脉丛出血模型进一步评价片的疗效。结果:高密度明胶片在潮湿条件下具有稳定的形状保持性和强大的拉伸强度。密度较高、交联较多的薄片在胃蛋白酶试验中的持久性较长,在体内的生物降解性较低。用4%明胶溶液在155℃下加热4小时制成的B片,与TachoSil和其他片相比,在10周内没有变形裂缝、吸水快、膨胀小、降解快等性能达到最佳平衡。在止血模型中,Sheet B优于Avitene和TachoSil,在脊柱(6个部位中有4个)和肝脏出血(5个部位中有5个)模型中获得更高的成功率。结论:由4%明胶溶液经短加热时间交联制成的载凝血酶止血片具有良好的材料性能,如形状保持性、生物降解性和湿膨胀率,可在体内模型中实现有效止血。这些进展可能有助于外科止血的应用。
本文章由计算机程序翻译,如有差异,请以英文原文为准。
求助全文
约1分钟内获得全文 求助全文
来源期刊
CiteScore
1.80
自引率
0.00%
发文量
71
审稿时长
15 weeks
×
引用
GB/T 7714-2015
复制
MLA
复制
APA
复制
导出至
BibTeX EndNote RefMan NoteFirst NoteExpress
×
提示
您的信息不完整,为了账户安全,请先补充。
现在去补充
×
提示
您因"违规操作"
具体请查看互助需知
我知道了
×
提示
确定
请完成安全验证×
copy
已复制链接
快去分享给好友吧!
我知道了
右上角分享
点击右上角分享
0
联系我们:info@booksci.cn Book学术提供免费学术资源搜索服务,方便国内外学者检索中英文文献。致力于提供最便捷和优质的服务体验。 Copyright © 2023 布克学术 All rights reserved.
京ICP备2023020795号-1
ghs 京公网安备 11010802042870号
Book学术文献互助
Book学术文献互助群
群 号:604180095
Book学术官方微信