Causal associations between epigenetic age and thromboembolism: a bi-directional two-sample Mendelian randomization study.

IF 4.4 2区 医学 Q1 GENETICS & HEREDITY
Bowen Jin, Yunyan Li, Dingyang Li, Chi Jing, Qunshan Sheng
{"title":"Causal associations between epigenetic age and thromboembolism: a bi-directional two-sample Mendelian randomization study.","authors":"Bowen Jin, Yunyan Li, Dingyang Li, Chi Jing, Qunshan Sheng","doi":"10.1186/s13148-025-01875-3","DOIUrl":null,"url":null,"abstract":"<p><strong>Background: </strong>Thromboembolism is one of the most prevalent cardiovascular conditions affecting the elder population. The associations between epigenetic aging and thromboembolism risks remain incompletely elucidated. Through Mendelian randomization (MR), this research seeks to assess the causal links between genetically determined epigenetic aging factors and thromboembolism.</p><p><strong>Results: </strong>Genetic variants were extracted from genome-wide association studies (GWAS) under stringent threshold as instrumental variables (IVs). Bi-directional two-sample MR analyses were conducted to determine the direction of causal associations. We employed the inverse variance weighted (IVW), weighted median, weighted mode and MR Egger to estimate the causal effect, with sensitivity analyses such as Cochran's Q tests, MR-PRESSO and leave-one-out performed to avoid potential heterogeneity and pleiotropy. Our MR analysis revealed a causal association between intrinsic epigenetic age acceleration and deep vein thrombosis of lower extremities (IVW: OR 0.963, 95% CI 0.934-0.992, P = 0.014), and between the genetically determined levels of plasminogen activator inhibitor-1 and other arterial embolism and thrombosis (IVW: OR 1.000, 95% CI 1.000-1.0005, P = 0.029). Causality was also identified between the genetically predicted levels of FGF23 and other arterial embolism and thrombosis (IVW: OR: 1.661, 95% CI 1.051-2.624, P = 0.029) and arterial embolism and thrombosis of lower extremity artery (IVW: OR 1.68, 95% CI 1.031-2.725, P = 0.037). Moreover, bi-directional MR showed reverse effects between portal vein thrombosis and PhenoAge (IVW: OR 0.871, 95% CI 0.765-0.992, P = 0.037) and between venous thromboembolism and GrimAge (IVW: OR 1.186, 95% CI 1.048-1.341, P = 0.007). Sensitivity analysis using Cochran's Q tests, MR-PRESSO and leave-one-out excluded the influence of heterogeneity, horizontal pleiotropy, and outliers.</p><p><strong>Conclusion: </strong>Our results identified a causal association between genetically predicted epigenetic aging factors and thromboembolism. The findings highlight the necessity for further exploration into the underlying etiology of thromboembolism.</p>","PeriodicalId":10366,"journal":{"name":"Clinical Epigenetics","volume":"17 1","pages":"75"},"PeriodicalIF":4.4000,"publicationDate":"2025-05-05","publicationTypes":"Journal Article","fieldsOfStudy":null,"isOpenAccess":false,"openAccessPdf":"https://www.ncbi.nlm.nih.gov/pmc/articles/PMC12051321/pdf/","citationCount":"0","resultStr":null,"platform":"Semanticscholar","paperid":null,"PeriodicalName":"Clinical Epigenetics","FirstCategoryId":"3","ListUrlMain":"https://doi.org/10.1186/s13148-025-01875-3","RegionNum":2,"RegionCategory":"医学","ArticlePicture":[],"TitleCN":null,"AbstractTextCN":null,"PMCID":null,"EPubDate":"","PubModel":"","JCR":"Q1","JCRName":"GENETICS & HEREDITY","Score":null,"Total":0}
引用次数: 0

Abstract

Background: Thromboembolism is one of the most prevalent cardiovascular conditions affecting the elder population. The associations between epigenetic aging and thromboembolism risks remain incompletely elucidated. Through Mendelian randomization (MR), this research seeks to assess the causal links between genetically determined epigenetic aging factors and thromboembolism.

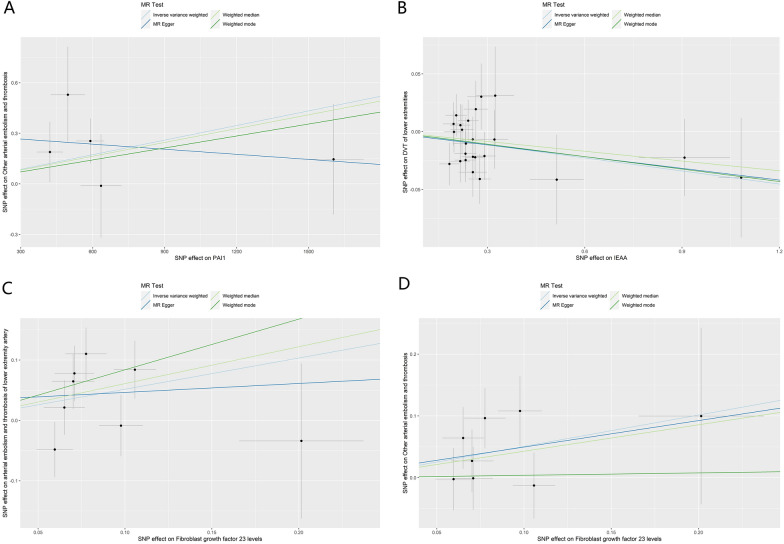
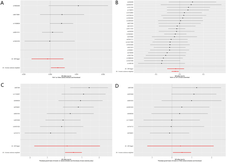
Results: Genetic variants were extracted from genome-wide association studies (GWAS) under stringent threshold as instrumental variables (IVs). Bi-directional two-sample MR analyses were conducted to determine the direction of causal associations. We employed the inverse variance weighted (IVW), weighted median, weighted mode and MR Egger to estimate the causal effect, with sensitivity analyses such as Cochran's Q tests, MR-PRESSO and leave-one-out performed to avoid potential heterogeneity and pleiotropy. Our MR analysis revealed a causal association between intrinsic epigenetic age acceleration and deep vein thrombosis of lower extremities (IVW: OR 0.963, 95% CI 0.934-0.992, P = 0.014), and between the genetically determined levels of plasminogen activator inhibitor-1 and other arterial embolism and thrombosis (IVW: OR 1.000, 95% CI 1.000-1.0005, P = 0.029). Causality was also identified between the genetically predicted levels of FGF23 and other arterial embolism and thrombosis (IVW: OR: 1.661, 95% CI 1.051-2.624, P = 0.029) and arterial embolism and thrombosis of lower extremity artery (IVW: OR 1.68, 95% CI 1.031-2.725, P = 0.037). Moreover, bi-directional MR showed reverse effects between portal vein thrombosis and PhenoAge (IVW: OR 0.871, 95% CI 0.765-0.992, P = 0.037) and between venous thromboembolism and GrimAge (IVW: OR 1.186, 95% CI 1.048-1.341, P = 0.007). Sensitivity analysis using Cochran's Q tests, MR-PRESSO and leave-one-out excluded the influence of heterogeneity, horizontal pleiotropy, and outliers.

Conclusion: Our results identified a causal association between genetically predicted epigenetic aging factors and thromboembolism. The findings highlight the necessity for further exploration into the underlying etiology of thromboembolism.

Abstract Image

Abstract Image

Abstract Image

表观遗传年龄与血栓栓塞之间的因果关系:一项双向双样本孟德尔随机研究。
背景:血栓栓塞是影响老年人最普遍的心血管疾病之一。表观遗传衰老与血栓栓塞风险之间的关系仍未完全阐明。通过孟德尔随机化(MR),本研究旨在评估遗传决定的表观遗传衰老因素与血栓栓塞之间的因果关系。结果:在严格的阈值下,从全基因组关联研究(GWAS)中提取遗传变异作为工具变量(IVs)。进行了双向双样本磁共振分析,以确定因果关系的方向。我们采用反方差加权(IVW)、加权中位数、加权模式和MR Egger来估计因果关系,并进行了Cochran’s Q检验、MR- presso和leave-one-out等敏感性分析,以避免潜在的异质性和多效性。我们的MR分析揭示了内在表观遗传年龄加速与下肢深静脉血栓形成之间的因果关系(IVW: OR 0.963, 95% CI 0.934-0.992, P = 0.014),以及遗传决定的纤溶酶原激活剂抑制剂-1水平与其他动脉栓塞和血栓形成之间的因果关系(IVW: OR 1.000, 95% CI 1.000-1.0005, P = 0.029)。基因预测的FGF23水平与其他动脉栓塞和血栓形成(IVW: OR: 1.661, 95% CI 1.051-2.624, P = 0.029)和下肢动脉栓塞和血栓形成(IVW: OR: 1.68, 95% CI 1.031-2.725, P = 0.037)之间也存在因果关系。此外,双向MR显示门静脉血栓形成与PhenoAge之间(IVW: OR 0.871, 95% CI 0.765-0.992, P = 0.037)和静脉血栓栓塞与GrimAge之间(IVW: OR 1.186, 95% CI 1.048-1.341, P = 0.007)的反向作用。使用Cochran’s Q检验、MR-PRESSO和left -out进行敏感性分析,排除了异质性、水平多效性和异常值的影响。结论:我们的研究结果确定了遗传预测的表观遗传衰老因素与血栓栓塞之间的因果关系。这些发现强调了进一步探索血栓栓塞的潜在病因的必要性。
本文章由计算机程序翻译,如有差异,请以英文原文为准。
求助全文
约1分钟内获得全文 求助全文
来源期刊
自引率
5.30%
发文量
150
期刊介绍: Clinical Epigenetics, the official journal of the Clinical Epigenetics Society, is an open access, peer-reviewed journal that encompasses all aspects of epigenetic principles and mechanisms in relation to human disease, diagnosis and therapy. Clinical trials and research in disease model organisms are particularly welcome.
×
引用
GB/T 7714-2015
复制
MLA
复制
APA
复制
导出至
BibTeX EndNote RefMan NoteFirst NoteExpress
×
提示
您的信息不完整,为了账户安全,请先补充。
现在去补充
×
提示
您因"违规操作"
具体请查看互助需知
我知道了
×
提示
确定
请完成安全验证×
copy
已复制链接
快去分享给好友吧!
我知道了
右上角分享
点击右上角分享
0
联系我们:info@booksci.cn Book学术提供免费学术资源搜索服务,方便国内外学者检索中英文文献。致力于提供最便捷和优质的服务体验。 Copyright © 2023 布克学术 All rights reserved.
京ICP备2023020795号-1
ghs 京公网安备 11010802042870号
Book学术文献互助
Book学术文献互助群
群 号:604180095
Book学术官方微信