Development of a Nomogram for Prognostic Prediction of Large Hepatocellular Carcinoma With HBV After TACE Combined Conversion Therapy.

IF 1.8 Q2 GASTROENTEROLOGY & HEPATOLOGY
Hepatic Medicine : Evidence and Research Pub Date : 2025-04-07 eCollection Date: 2025-01-01 DOI:10.2147/HMER.S481334
Wei Xu, Xia Ding, Yan Xu, Yongchuang Zhang, Huaxiao Xu, Lin Guo, Lei Li
{"title":"Development of a Nomogram for Prognostic Prediction of Large Hepatocellular Carcinoma With HBV After TACE Combined Conversion Therapy.","authors":"Wei Xu, Xia Ding, Yan Xu, Yongchuang Zhang, Huaxiao Xu, Lin Guo, Lei Li","doi":"10.2147/HMER.S481334","DOIUrl":null,"url":null,"abstract":"<p><strong>Background: </strong>Surgical resection (SR) following transarterial chemoembolization (TACE) is a promising option for large hepatocellular carcinoma (LHCC) with HBV, and identification of these patients at high-risk of prognosis may help individualized treatment.</p><p><strong>Purpose: </strong>To develop and validate pre- and postoperative prognostic nomograms integrating clinico-therapeutic-pathological features for predicting overall survival (OS) after TACE combined therapy.</p><p><strong>Materials and methods: </strong>Between May 2010 and October 2021, 255 consecutive patients with LHCC receiving conversion therapy of TACE combined with Lenvatinib plus PD-1 inhibitors were included from three tertiary-care hospitals. In the derivation cohort (<i>n</i>=201), the Cox regression analysis for developing nomograms for OS (time from initial TACE to death). In the testing cohort (<i>n</i> = 54), two models' performance was compared with five major staging systems.</p><p><strong>Results: </strong>The preoperative nomogram included alpha-fetoprotein (AFP, HR: 0.486; 95% CI: 0.266-0.886; <i>P</i> = 0.019) and albumin- bilirubin (ALBI) grade (HR: 0.323; 95% CI: 0.181-0.578; <i>P</i> < 0.001) and the postoperative nomogram, included AFP (HR: 0.501; 95% CI: 0.271-0.925; <i>P</i> = 0.027), ALBI grade (HR: 0.356; 95% CI: 0.192-0.659; P = 0.001), MVI (HR: 0.086; 95% CI: 0.024-0.192; <i>P</i> < 0.001), and response to TACE combined therapy (HR: 3.367; 95% CI: 1.479-7.721; <i>P</i> = 0.004). The testing dataset C-indexes of the pre- (0.715) and postoperative (0.912) nomograms were higher than all five staging systems (0.589-0.483; all <i>P</i> < 0.001). Two prognostically distinct risk strata were identified according to these nomograms (all <i>P</i> < 0.001).</p><p><strong>Conclusion: </strong>Based on 255 patients receiving TACE combined conversion therapy for LHCC, we developed and validated two nomograms for predicting OS, with superior performances than five major staging systems and effective survival stratification.</p>","PeriodicalId":12917,"journal":{"name":"Hepatic Medicine : Evidence and Research","volume":"17 ","pages":"1-12"},"PeriodicalIF":1.8000,"publicationDate":"2025-04-07","publicationTypes":"Journal Article","fieldsOfStudy":null,"isOpenAccess":false,"openAccessPdf":"https://www.ncbi.nlm.nih.gov/pmc/articles/PMC11989599/pdf/","citationCount":"0","resultStr":null,"platform":"Semanticscholar","paperid":null,"PeriodicalName":"Hepatic Medicine : Evidence and Research","FirstCategoryId":"1085","ListUrlMain":"https://doi.org/10.2147/HMER.S481334","RegionNum":0,"RegionCategory":null,"ArticlePicture":[],"TitleCN":null,"AbstractTextCN":null,"PMCID":null,"EPubDate":"2025/1/1 0:00:00","PubModel":"eCollection","JCR":"Q2","JCRName":"GASTROENTEROLOGY & HEPATOLOGY","Score":null,"Total":0}
引用次数: 0

Abstract

Background: Surgical resection (SR) following transarterial chemoembolization (TACE) is a promising option for large hepatocellular carcinoma (LHCC) with HBV, and identification of these patients at high-risk of prognosis may help individualized treatment.

Purpose: To develop and validate pre- and postoperative prognostic nomograms integrating clinico-therapeutic-pathological features for predicting overall survival (OS) after TACE combined therapy.

Materials and methods: Between May 2010 and October 2021, 255 consecutive patients with LHCC receiving conversion therapy of TACE combined with Lenvatinib plus PD-1 inhibitors were included from three tertiary-care hospitals. In the derivation cohort (n=201), the Cox regression analysis for developing nomograms for OS (time from initial TACE to death). In the testing cohort (n = 54), two models' performance was compared with five major staging systems.

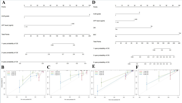
Results: The preoperative nomogram included alpha-fetoprotein (AFP, HR: 0.486; 95% CI: 0.266-0.886; P = 0.019) and albumin- bilirubin (ALBI) grade (HR: 0.323; 95% CI: 0.181-0.578; P < 0.001) and the postoperative nomogram, included AFP (HR: 0.501; 95% CI: 0.271-0.925; P = 0.027), ALBI grade (HR: 0.356; 95% CI: 0.192-0.659; P = 0.001), MVI (HR: 0.086; 95% CI: 0.024-0.192; P < 0.001), and response to TACE combined therapy (HR: 3.367; 95% CI: 1.479-7.721; P = 0.004). The testing dataset C-indexes of the pre- (0.715) and postoperative (0.912) nomograms were higher than all five staging systems (0.589-0.483; all P < 0.001). Two prognostically distinct risk strata were identified according to these nomograms (all P < 0.001).

Conclusion: Based on 255 patients receiving TACE combined conversion therapy for LHCC, we developed and validated two nomograms for predicting OS, with superior performances than five major staging systems and effective survival stratification.

Abstract Image

Abstract Image

Abstract Image

大肝癌合并HBV经TACE联合转化治疗后预后的Nomogram。
背景:经动脉化疗栓塞(TACE)后手术切除(SR)是治疗合并HBV的大肝细胞癌(LHCC)的一种有希望的选择,识别这些预后高危患者可能有助于个体化治疗。目的:开发和验证综合临床-治疗-病理特征的术前和术后预后图,以预测TACE联合治疗后的总生存期(OS)。材料和方法:2010年5月至2021年10月,来自三家三级医院的255例连续接受TACE联合Lenvatinib + PD-1抑制剂转换治疗的LHCC患者。在衍生队列(n=201)中,对OS(从初始TACE到死亡的时间)的发展态图进行Cox回归分析。在测试队列中(n = 54),将两种模型的性能与五种主要分期系统进行比较。结果:术前心电图包括甲胎蛋白(AFP, HR: 0.486;95% ci: 0.266-0.886;P = 0.019)和白蛋白-胆红素(ALBI)分级(HR: 0.323;95% ci: 0.181-0.578;P < 0.001)和术后nomogram,包括AFP (HR: 0.501;95% ci: 0.271-0.925;P = 0.027)、ALBI分级(HR: 0.356;95% ci: 0.192-0.659;P = 0.001), mvi (hr: 0.086;95% ci: 0.024-0.192;P < 0.001),以及TACE联合治疗的反应(HR: 3.367;95% ci: 1.479-7.721;P = 0.004)。术前(0.715)和术后(0.912)nomogram测试数据集c -index均高于5个分期系统(0.589-0.483;P < 0.001)。根据这些nomogram(均P < 0.001)确定了两个预后不同的危险层。结论:基于255例接受TACE联合转化治疗的LHCC患者,我们开发并验证了两种预测OS的nomogram,其性能优于5种主要分期系统和有效的生存分层。
本文章由计算机程序翻译,如有差异,请以英文原文为准。
求助全文
约1分钟内获得全文 求助全文
来源期刊
Hepatic Medicine : Evidence and Research
Hepatic Medicine : Evidence and Research GASTROENTEROLOGY & HEPATOLOGY-
自引率
0.00%
发文量
15
审稿时长
16 weeks
期刊介绍: Hepatic Medicine: Evidence and Research is an international, peer-reviewed, open access, online journal. Publishing original research, reports, editorials, reviews and commentaries on all aspects of adult and pediatric hepatology in the clinic and laboratory including the following topics: Pathology, pathophysiology of hepatic disease Investigation and treatment of hepatic disease Pharmacology of drugs used for the treatment of hepatic disease Although the main focus of the journal is to publish research and clinical results in humans; preclinical, animal and in vitro studies will be published where they will shed light on disease processes and potential new therapies. Issues of patient safety and quality of care will also be considered. As of 1st April 2019, Hepatic Medicine: Evidence and Research will no longer consider meta-analyses for publication.
×
引用
GB/T 7714-2015
复制
MLA
复制
APA
复制
导出至
BibTeX EndNote RefMan NoteFirst NoteExpress
×
提示
您的信息不完整,为了账户安全,请先补充。
现在去补充
×
提示
您因"违规操作"
具体请查看互助需知
我知道了
×
提示
确定
请完成安全验证×
copy
已复制链接
快去分享给好友吧!
我知道了
右上角分享
点击右上角分享
0
联系我们:info@booksci.cn Book学术提供免费学术资源搜索服务,方便国内外学者检索中英文文献。致力于提供最便捷和优质的服务体验。 Copyright © 2023 布克学术 All rights reserved.
京ICP备2023020795号-1
ghs 京公网安备 11010802042870号
Book学术文献互助
Book学术文献互助群
群 号:604180095
Book学术官方微信