The effect of a non-steroidal anti-inflammatory drug on the locomotor activity of reindeer (Rangifer tarandus tarandus) on their natural pastures after clamp castration-a pilot study.

IF 1.7 2区 农林科学 Q2 VETERINARY SCIENCES
Hanna Nurmi, Laura Hänninen, Sauli Laaksonen, Anna Valros
{"title":"The effect of a non-steroidal anti-inflammatory drug on the locomotor activity of reindeer (Rangifer tarandus tarandus) on their natural pastures after clamp castration-a pilot study.","authors":"Hanna Nurmi, Laura Hänninen, Sauli Laaksonen, Anna Valros","doi":"10.1186/s13028-025-00802-z","DOIUrl":null,"url":null,"abstract":"<p><strong>Background: </strong>During seasonal round-ups, free-grazing reindeer are gathered from natural pastures. Reindeer bulls removed from breeding are clamp castrated, traditionally without analgesia, and then returned to the grazing grounds. The new Finnish Animal Welfare Act requires the use of analgesia in painful procedures. Our earlier studies have shown that a single dose of the non-steroidal anti-inflammatory drug (NSAID) meloxicam may maintain therapeutic plasma concentrations for 2-3 days in reindeer. No studies have been conducted on the effect of meloxicam on the locomotor activity of free-ranging castrated reindeer after castration. We installed GPS collars on 16 male reindeer (at least 5 years old, 130-160 kg), chosen to be castrated as a standard procedure during the round-up held on 5 Oct 2020. Of these, eight were randomly selected to receive approximately 0.5 mg/kg of meloxicam subcutaneously (NSAID group) and eight received no analgesia (TRAD group). The trackers were set to provide location twice per hour with 10 m accuracy. From the GPS data, we calculated the daily distances travelled by the reindeer during the 3 days after castration and analysed the differences between the treatments using a GEE model. Fixed factors were treatment (NSAID or TRAD), days (1-3) and hours, and the interactions between these variables. Our key presumption was that a meloxicam injection can reduce the pain related restless locomotion of newly clamp castrated reindeer.</p><p><strong>Results: </strong>The overall mean ± SE daily distances travelled by NSAID (n = 8) and TRAD (n = 8) reindeer did not differ (6.60 ± 0.67 km vs. 8.60 ± 1.54 km). However, all reindeer (n = 16) moved more on day 1 than day 3. TRAD reindeer travelled farther than NSAID on day 1 (11.67 ± 2.25 km vs. 7.08 ± 0.61 km, P < 0.05), but no differences were observed on days 2 or 3 due to high variation (10.19 ± 3.87 km vs. 6.59 ± 0.85 km and 5.35 ± 0.39 km vs. 6.17 ± 0.70 m, P > 0.1). NSAID movement remained stable between the days (P > 0.1), while TRAD activity declined (P = 0.002), levelling with NSAID by day 3. Daytime distances exceeded nighttime distances on days 2 and 3, with TRAD showing more disrupted daily rhythms.</p><p><strong>Conclusions: </strong>Meloxicam may reduce restlessness in newly castrated reindeer, changing postoperative locomotor activity patterns in a way that suggests pain alleviation during the first 2-3 days following clamp castration. Further studies are needed on the use of analgesia and GPS collars for pain monitoring in freely grazing reindeer.</p>","PeriodicalId":7181,"journal":{"name":"Acta Veterinaria Scandinavica","volume":"67 1","pages":"17"},"PeriodicalIF":1.7000,"publicationDate":"2025-04-09","publicationTypes":"Journal Article","fieldsOfStudy":null,"isOpenAccess":false,"openAccessPdf":"https://www.ncbi.nlm.nih.gov/pmc/articles/PMC11983737/pdf/","citationCount":"0","resultStr":null,"platform":"Semanticscholar","paperid":null,"PeriodicalName":"Acta Veterinaria Scandinavica","FirstCategoryId":"97","ListUrlMain":"https://doi.org/10.1186/s13028-025-00802-z","RegionNum":2,"RegionCategory":"农林科学","ArticlePicture":[],"TitleCN":null,"AbstractTextCN":null,"PMCID":null,"EPubDate":"","PubModel":"","JCR":"Q2","JCRName":"VETERINARY SCIENCES","Score":null,"Total":0}
引用次数: 0

Abstract

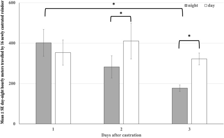
Background: During seasonal round-ups, free-grazing reindeer are gathered from natural pastures. Reindeer bulls removed from breeding are clamp castrated, traditionally without analgesia, and then returned to the grazing grounds. The new Finnish Animal Welfare Act requires the use of analgesia in painful procedures. Our earlier studies have shown that a single dose of the non-steroidal anti-inflammatory drug (NSAID) meloxicam may maintain therapeutic plasma concentrations for 2-3 days in reindeer. No studies have been conducted on the effect of meloxicam on the locomotor activity of free-ranging castrated reindeer after castration. We installed GPS collars on 16 male reindeer (at least 5 years old, 130-160 kg), chosen to be castrated as a standard procedure during the round-up held on 5 Oct 2020. Of these, eight were randomly selected to receive approximately 0.5 mg/kg of meloxicam subcutaneously (NSAID group) and eight received no analgesia (TRAD group). The trackers were set to provide location twice per hour with 10 m accuracy. From the GPS data, we calculated the daily distances travelled by the reindeer during the 3 days after castration and analysed the differences between the treatments using a GEE model. Fixed factors were treatment (NSAID or TRAD), days (1-3) and hours, and the interactions between these variables. Our key presumption was that a meloxicam injection can reduce the pain related restless locomotion of newly clamp castrated reindeer.

Results: The overall mean ± SE daily distances travelled by NSAID (n = 8) and TRAD (n = 8) reindeer did not differ (6.60 ± 0.67 km vs. 8.60 ± 1.54 km). However, all reindeer (n = 16) moved more on day 1 than day 3. TRAD reindeer travelled farther than NSAID on day 1 (11.67 ± 2.25 km vs. 7.08 ± 0.61 km, P < 0.05), but no differences were observed on days 2 or 3 due to high variation (10.19 ± 3.87 km vs. 6.59 ± 0.85 km and 5.35 ± 0.39 km vs. 6.17 ± 0.70 m, P > 0.1). NSAID movement remained stable between the days (P > 0.1), while TRAD activity declined (P = 0.002), levelling with NSAID by day 3. Daytime distances exceeded nighttime distances on days 2 and 3, with TRAD showing more disrupted daily rhythms.

Conclusions: Meloxicam may reduce restlessness in newly castrated reindeer, changing postoperative locomotor activity patterns in a way that suggests pain alleviation during the first 2-3 days following clamp castration. Further studies are needed on the use of analgesia and GPS collars for pain monitoring in freely grazing reindeer.

Abstract Image

Abstract Image

Abstract Image

一种非甾体抗炎药对自然牧场驯鹿(Rangifer tarandus tarandus)钳形阉割后运动活动的影响——一项初步研究。
背景:在季节性围捕期间,自由放牧的驯鹿从天然牧场聚集起来。停止繁殖的驯鹿公牛被阉割,传统上是不需要止痛的,然后再回到牧场。新的芬兰动物福利法要求在疼痛过程中使用镇痛药。我们早期的研究表明,单剂量的非甾体抗炎药(NSAID)美洛昔康可以使驯鹿的治疗血浆浓度维持2-3天。美洛昔康对自由放养的去势驯鹿去势后运动能力的影响尚未见研究。我们在16头雄性驯鹿(至少5岁,体重130-160公斤)身上安装了GPS项圈,这些驯鹿被选中在2020年10月5日的围捕期间作为标准程序进行阉割。其中,随机选择8人接受约0.5 mg/kg美洛昔康皮下注射(NSAID组),8人不接受镇痛(TRAD组)。跟踪器每小时提供两次定位,精度为10米。根据GPS数据,我们计算了阉割后3天内驯鹿每天的行走距离,并使用GEE模型分析了不同处理之间的差异。固定的因素是治疗(NSAID或TRAD),天数(1-3)和小时,以及这些变量之间的相互作用。我们的关键假设是,注射美洛昔康可以减少新阉割驯鹿的不宁运动带来的疼痛。结果:NSAID驯鹿(n = 8)和TRAD驯鹿(n = 8)的总平均±SE日行进距离无差异(6.60±0.67 km vs. 8.60±1.54 km)。然而,所有驯鹿(n = 16)在第1天比第3天移动得更多。在第1天,TRAD驯鹿比NSAID驯鹿走得更远(11.67±2.25 km vs. 7.08±0.61 km, P < 0.05),但在第2天和第3天,由于差异很大,没有观察到差异(10.19±3.87 km vs. 6.59±0.85 km和5.35±0.39 km vs. 6.17±0.70 m, P >.1)。NSAID的运动保持稳定(P < 0.01),而TRAD活性下降(P < 0.002),到第3天与NSAID持平。在第2天和第3天,白天距离超过夜间距离,TRAD显示出更多的日常节律中断。结论:美洛昔康可以减少新阉割驯鹿的躁动,改变术后运动活动模式,表明在钳形阉割后的前2-3天疼痛减轻。在自由放牧驯鹿的疼痛监测中使用镇痛和GPS项圈还需要进一步的研究。
本文章由计算机程序翻译,如有差异,请以英文原文为准。
求助全文
约1分钟内获得全文 求助全文
来源期刊
Acta Veterinaria Scandinavica
Acta Veterinaria Scandinavica 农林科学-兽医学
CiteScore
3.60
自引率
0.00%
发文量
28
审稿时长
18-36 weeks
期刊介绍: Acta Veterinaria Scandinavica is an open access journal encompassing all aspects of veterinary research and medicine of domestic and wild animals.
×
引用
GB/T 7714-2015
复制
MLA
复制
APA
复制
导出至
BibTeX EndNote RefMan NoteFirst NoteExpress
×
提示
您的信息不完整,为了账户安全,请先补充。
现在去补充
×
提示
您因"违规操作"
具体请查看互助需知
我知道了
×
提示
确定
请完成安全验证×
copy
已复制链接
快去分享给好友吧!
我知道了
右上角分享
点击右上角分享
0
联系我们:info@booksci.cn Book学术提供免费学术资源搜索服务,方便国内外学者检索中英文文献。致力于提供最便捷和优质的服务体验。 Copyright © 2023 布克学术 All rights reserved.
京ICP备2023020795号-1
ghs 京公网安备 11010802042870号
Book学术文献互助
Book学术文献互助群
群 号:604180095
Book学术官方微信