Living network meta-analysis to compare nemolizumab against other available targeted systemic treatments for atopic dermatitis.

IF 9.6 1区 医学 Q1 DERMATOLOGY
Aaron M Drucker, Chantel Walwyn, Cherry Chu, Zenas Z N Yiu, Bram Rochwerg, Sonya Di Giorgio, Bernd W M Arents, Tanya Mohan, Tim Burton, Phyllis I Spuls, Jochen Schmitt, David Prieto-Merino, Carsten Flohr
{"title":"Living network meta-analysis to compare nemolizumab against other available targeted systemic treatments for atopic dermatitis.","authors":"Aaron M Drucker, Chantel Walwyn, Cherry Chu, Zenas Z N Yiu, Bram Rochwerg, Sonya Di Giorgio, Bernd W M Arents, Tanya Mohan, Tim Burton, Phyllis I Spuls, Jochen Schmitt, David Prieto-Merino, Carsten Flohr","doi":"10.1093/bjd/ljaf166","DOIUrl":null,"url":null,"abstract":"","PeriodicalId":9238,"journal":{"name":"British Journal of Dermatology","volume":" ","pages":"548-552"},"PeriodicalIF":9.6000,"publicationDate":"2025-08-18","publicationTypes":"Journal Article","fieldsOfStudy":null,"isOpenAccess":false,"openAccessPdf":"https://www.ncbi.nlm.nih.gov/pmc/articles/PMC12360034/pdf/","citationCount":"0","resultStr":null,"platform":"Semanticscholar","paperid":null,"PeriodicalName":"British Journal of Dermatology","FirstCategoryId":"3","ListUrlMain":"https://doi.org/10.1093/bjd/ljaf166","RegionNum":1,"RegionCategory":"医学","ArticlePicture":[],"TitleCN":null,"AbstractTextCN":null,"PMCID":null,"EPubDate":"","PubModel":"","JCR":"Q1","JCRName":"DERMATOLOGY","Score":null,"Total":0}
引用次数: 0

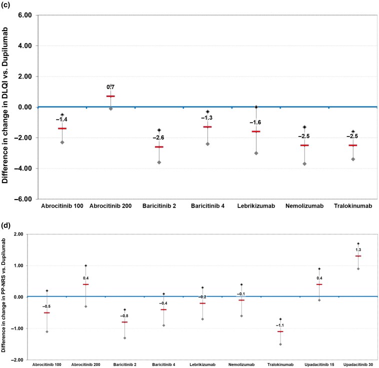
Abstract Image

Abstract Image

生活网络荟萃分析比较奈莫珠单抗与其他可用于特应性皮炎的靶向全身治疗。
本文章由计算机程序翻译,如有差异,请以英文原文为准。
求助全文
约1分钟内获得全文 求助全文
来源期刊
British Journal of Dermatology
British Journal of Dermatology 医学-皮肤病学
CiteScore
16.30
自引率
3.90%
发文量
1062
审稿时长
2-4 weeks
期刊介绍: The British Journal of Dermatology (BJD) is committed to publishing the highest quality dermatological research. Through its publications, the journal seeks to advance the understanding, management, and treatment of skin diseases, ultimately aiming to improve patient outcomes.
×
引用
GB/T 7714-2015
复制
MLA
复制
APA
复制
导出至
BibTeX EndNote RefMan NoteFirst NoteExpress
×
提示
您的信息不完整,为了账户安全,请先补充。
现在去补充
×
提示
您因"违规操作"
具体请查看互助需知
我知道了
×
提示
确定
请完成安全验证×
copy
已复制链接
快去分享给好友吧!
我知道了
右上角分享
点击右上角分享
0
联系我们:info@booksci.cn Book学术提供免费学术资源搜索服务,方便国内外学者检索中英文文献。致力于提供最便捷和优质的服务体验。 Copyright © 2023 布克学术 All rights reserved.
京ICP备2023020795号-1
ghs 京公网安备 11010802042870号
Book学术文献互助
Book学术文献互助群
群 号:604180095
Book学术官方微信