SS-OCT-based ocular biometric characteristics of patients with nuclear cataract.

IF 2.9 4区 医学 Q3 ENGINEERING, BIOMEDICAL
Zhao Xu, Ke Yin, Liming Wang, Lijie Dong, Jing Sun, Aihua Liu
{"title":"SS-OCT-based ocular biometric characteristics of patients with nuclear cataract.","authors":"Zhao Xu, Ke Yin, Liming Wang, Lijie Dong, Jing Sun, Aihua Liu","doi":"10.1186/s12938-025-01386-5","DOIUrl":null,"url":null,"abstract":"<p><strong>Background: </strong>This observational, prospective, analytical, and cross-sectional study was designed to systematically analyze ocular biometric parameters in patients with nuclear cataract exhibiting nuclear hardness grade ≥ 3 according to the Emery-Little classification under slit-lamp examination who scheduled for phacoemulsification. Ocular biometric measurements were acquired using the IOL Master 700, a swept-source optical coherence tomography (SS-OCT) device.</p><p><strong>Results: </strong>Age was negatively correlated with axial length (AL), anterior chamber depth (ACD), white-to-white (WTW), and pupil diameter (PD) (r<sub>AL</sub> = - 0.13, r<sub>ACD</sub> = - 0.26, r<sub>WTW</sub> = - 0.18, all P < 0.001; r<sub>PD</sub> = - 0.09, P < 0.01) but positively correlated with total steep keratometry (TKs) (r<sub>TKs</sub> = 0.13, P < 0.001). AL was negatively correlated with total flat keratometry (TKf), TKs, and WTW (r<sub>TKf</sub> = - 0.3, r<sub>TKs</sub> = - 0.27, r<sub>WTW</sub> = - 0.18, all P < 0.001) but positively correlated with ACD and PD (r<sub>ACD</sub> = 0.43, r<sub>PD</sub> = 0.10, all P < 0.001). Men had smaller TK and PD but larger WTW than women.</p><p><strong>Conclusions: </strong>These findings highlight significant sex-related differences in biometric parameters among patients with nuclear cataract, which are closely related to AL and age. Considering variation with these parameters helps personalize surgical plans and prevent complications.</p>","PeriodicalId":8927,"journal":{"name":"BioMedical Engineering OnLine","volume":"24 1","pages":"56"},"PeriodicalIF":2.9000,"publicationDate":"2025-05-09","publicationTypes":"Journal Article","fieldsOfStudy":null,"isOpenAccess":false,"openAccessPdf":"https://www.ncbi.nlm.nih.gov/pmc/articles/PMC12065238/pdf/","citationCount":"0","resultStr":null,"platform":"Semanticscholar","paperid":null,"PeriodicalName":"BioMedical Engineering OnLine","FirstCategoryId":"5","ListUrlMain":"https://doi.org/10.1186/s12938-025-01386-5","RegionNum":4,"RegionCategory":"医学","ArticlePicture":[],"TitleCN":null,"AbstractTextCN":null,"PMCID":null,"EPubDate":"","PubModel":"","JCR":"Q3","JCRName":"ENGINEERING, BIOMEDICAL","Score":null,"Total":0}
引用次数: 0

Abstract

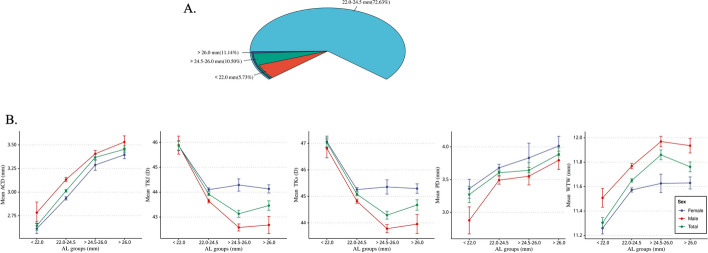
Background: This observational, prospective, analytical, and cross-sectional study was designed to systematically analyze ocular biometric parameters in patients with nuclear cataract exhibiting nuclear hardness grade ≥ 3 according to the Emery-Little classification under slit-lamp examination who scheduled for phacoemulsification. Ocular biometric measurements were acquired using the IOL Master 700, a swept-source optical coherence tomography (SS-OCT) device.

Results: Age was negatively correlated with axial length (AL), anterior chamber depth (ACD), white-to-white (WTW), and pupil diameter (PD) (rAL = - 0.13, rACD = - 0.26, rWTW = - 0.18, all P < 0.001; rPD = - 0.09, P < 0.01) but positively correlated with total steep keratometry (TKs) (rTKs = 0.13, P < 0.001). AL was negatively correlated with total flat keratometry (TKf), TKs, and WTW (rTKf = - 0.3, rTKs = - 0.27, rWTW = - 0.18, all P < 0.001) but positively correlated with ACD and PD (rACD = 0.43, rPD = 0.10, all P < 0.001). Men had smaller TK and PD but larger WTW than women.

Conclusions: These findings highlight significant sex-related differences in biometric parameters among patients with nuclear cataract, which are closely related to AL and age. Considering variation with these parameters helps personalize surgical plans and prevent complications.

Abstract Image

Abstract Image

Abstract Image

基于ss - oct的核性白内障患者眼部生物特征分析。
背景:本观察性、前瞻性、分析性、横断面研究旨在系统分析裂隙灯检查下核硬度分级≥3的核性白内障患者行超声乳化手术的眼生物特征参数。眼部生物特征测量使用IOL Master 700,一种扫描源光学相干断层扫描(SS-OCT)设备。结果:年龄与轴向长度(AL)负相关,前房深度(ACD) white-to-white (WTW)和瞳孔直径(PD)(文化、= - 0.13,rACD = - 0.26, rWTW = - 0.18, P PD = - 0.09, P橡胶草= 0.13,P TKf = - 0.3, rtk = - 0.27, rWTW = - 0.18, P ACD = 0.43, rPD = 0.10,所有P结论:这些发现强调重要的与性有关的核白内障患者生理参数的差异,艾尔和年龄密切相关。考虑这些参数的变化有助于个性化手术计划和预防并发症。
本文章由计算机程序翻译,如有差异,请以英文原文为准。
求助全文
约1分钟内获得全文 求助全文
来源期刊
BioMedical Engineering OnLine
BioMedical Engineering OnLine 工程技术-工程:生物医学
CiteScore
6.70
自引率
2.60%
发文量
79
审稿时长
1 months
期刊介绍: BioMedical Engineering OnLine is an open access, peer-reviewed journal that is dedicated to publishing research in all areas of biomedical engineering. BioMedical Engineering OnLine is aimed at readers and authors throughout the world, with an interest in using tools of the physical and data sciences and techniques in engineering to understand and solve problems in the biological and medical sciences. Topical areas include, but are not limited to: Bioinformatics- Bioinstrumentation- Biomechanics- Biomedical Devices & Instrumentation- Biomedical Signal Processing- Healthcare Information Systems- Human Dynamics- Neural Engineering- Rehabilitation Engineering- Biomaterials- Biomedical Imaging & Image Processing- BioMEMS and On-Chip Devices- Bio-Micro/Nano Technologies- Biomolecular Engineering- Biosensors- Cardiovascular Systems Engineering- Cellular Engineering- Clinical Engineering- Computational Biology- Drug Delivery Technologies- Modeling Methodologies- Nanomaterials and Nanotechnology in Biomedicine- Respiratory Systems Engineering- Robotics in Medicine- Systems and Synthetic Biology- Systems Biology- Telemedicine/Smartphone Applications in Medicine- Therapeutic Systems, Devices and Technologies- Tissue Engineering
×
引用
GB/T 7714-2015
复制
MLA
复制
APA
复制
导出至
BibTeX EndNote RefMan NoteFirst NoteExpress
×
提示
您的信息不完整,为了账户安全,请先补充。
现在去补充
×
提示
您因"违规操作"
具体请查看互助需知
我知道了
×
提示
确定
请完成安全验证×
copy
已复制链接
快去分享给好友吧!
我知道了
右上角分享
点击右上角分享
0
联系我们:info@booksci.cn Book学术提供免费学术资源搜索服务,方便国内外学者检索中英文文献。致力于提供最便捷和优质的服务体验。 Copyright © 2023 布克学术 All rights reserved.
京ICP备2023020795号-1
ghs 京公网安备 11010802042870号
Book学术文献互助
Book学术文献互助群
群 号:604180095
Book学术官方微信