Deciphering the Molecular Crosstalk of Endoplasmic Reticulum Stress and Immune Infiltration in Endometriosis

IF 2.4 3区 医学 Q3 IMMUNOLOGY
Yuan Ma, Chunfang Ha, Ruyue Li, Ruiqi Zhang, Min Li
{"title":"Deciphering the Molecular Crosstalk of Endoplasmic Reticulum Stress and Immune Infiltration in Endometriosis","authors":"Yuan Ma,&nbsp;Chunfang Ha,&nbsp;Ruyue Li,&nbsp;Ruiqi Zhang,&nbsp;Min Li","doi":"10.1111/aji.70092","DOIUrl":null,"url":null,"abstract":"<div>\n \n \n <section>\n \n <h3> Background</h3>\n \n <p>Endometriosis (EMs), characterized by ectopic endometrial growth causing infertility. Endoplasmic reticulum stress (ERS) is an important cellular defense mechanism. However, the correlation between ERS and EMs remains unclear. We aimed to investigate the relationship between them, identify biomarkers, and offer new insights into the treatment of EMs.</p>\n </section>\n \n <section>\n \n <h3> Methods</h3>\n \n <p>Two RNA expression datasets (GSE120103 and GSE25628) related to EMs in <i>Homo sapiens</i> were used to identify ERS-differentially expressed genes (ERS-DEGs). Protein–protein interaction (PPI) networks and CytoHubba (Cytoscape) identified ERS-associated HUB genes, with receiver operating characteristic curves (ROC) evaluating diagnostic value. Constructed mRNA-microRNA (miRNA)/RNA-transcription factor (TF) interaction networks and performed ssGSEA to compare immune infiltration between EMs patients and controls. Real-time quantitative polymerase chain reaction (RT-qPCR), western blotting (WB), and immunohistochemistry (IHC) were performed to assess potential biomarker levels.</p>\n </section>\n \n <section>\n \n <h3> Results</h3>\n \n <p>Thirty-three ERS-DEGs were identified, with nine HUB genes (<i>HSPA5, XBP1, HSP90B1, DNAJC3, PDIA3, PDIA6, PDIA4, HERPUD1</i>, and <i>MANF</i>) demonstrating diagnostic efficacy (AUC &gt; 0.7). Furthermore, immune infiltration revealed a significant relationship between immune cell abundance and HUB gene expression. Experimental validation confirmed the consistency of four biomarkers (<i>HSPA5, HSP90B1, PDIA6</i>, and <i>HERPUD1</i>). Regulatory network analysis identified 62 miRNAs and 44 TFs interacting with HUB genes, suggesting a multifactorial immunometabolic axis.</p>\n </section>\n \n <section>\n \n <h3> Conclusions</h3>\n \n <p>We identified four biomarkers (<i>HSPA5, HSP90B1, PDIA6</i>, and <i>HERPUD1</i>) associated with ERS that offer new insights into the detection and treatment of EMs. Our findings indicate an abnormal response to ERS and immune system infiltration contribute to the progression of EMs.</p>\n </section>\n </div>","PeriodicalId":7665,"journal":{"name":"American Journal of Reproductive Immunology","volume":"93 5","pages":""},"PeriodicalIF":2.4000,"publicationDate":"2025-05-15","publicationTypes":"Journal Article","fieldsOfStudy":null,"isOpenAccess":false,"openAccessPdf":"https://onlinelibrary.wiley.com/doi/epdf/10.1111/aji.70092","citationCount":"0","resultStr":null,"platform":"Semanticscholar","paperid":null,"PeriodicalName":"American Journal of Reproductive Immunology","FirstCategoryId":"3","ListUrlMain":"https://onlinelibrary.wiley.com/doi/10.1111/aji.70092","RegionNum":3,"RegionCategory":"医学","ArticlePicture":[],"TitleCN":null,"AbstractTextCN":null,"PMCID":null,"EPubDate":"","PubModel":"","JCR":"Q3","JCRName":"IMMUNOLOGY","Score":null,"Total":0}
引用次数: 0

Abstract

Background

Endometriosis (EMs), characterized by ectopic endometrial growth causing infertility. Endoplasmic reticulum stress (ERS) is an important cellular defense mechanism. However, the correlation between ERS and EMs remains unclear. We aimed to investigate the relationship between them, identify biomarkers, and offer new insights into the treatment of EMs.

Methods

Two RNA expression datasets (GSE120103 and GSE25628) related to EMs in Homo sapiens were used to identify ERS-differentially expressed genes (ERS-DEGs). Protein–protein interaction (PPI) networks and CytoHubba (Cytoscape) identified ERS-associated HUB genes, with receiver operating characteristic curves (ROC) evaluating diagnostic value. Constructed mRNA-microRNA (miRNA)/RNA-transcription factor (TF) interaction networks and performed ssGSEA to compare immune infiltration between EMs patients and controls. Real-time quantitative polymerase chain reaction (RT-qPCR), western blotting (WB), and immunohistochemistry (IHC) were performed to assess potential biomarker levels.

Results

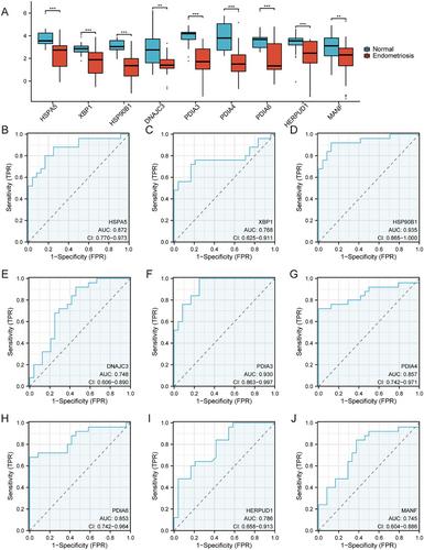
Thirty-three ERS-DEGs were identified, with nine HUB genes (HSPA5, XBP1, HSP90B1, DNAJC3, PDIA3, PDIA6, PDIA4, HERPUD1, and MANF) demonstrating diagnostic efficacy (AUC > 0.7). Furthermore, immune infiltration revealed a significant relationship between immune cell abundance and HUB gene expression. Experimental validation confirmed the consistency of four biomarkers (HSPA5, HSP90B1, PDIA6, and HERPUD1). Regulatory network analysis identified 62 miRNAs and 44 TFs interacting with HUB genes, suggesting a multifactorial immunometabolic axis.

Conclusions

We identified four biomarkers (HSPA5, HSP90B1, PDIA6, and HERPUD1) associated with ERS that offer new insights into the detection and treatment of EMs. Our findings indicate an abnormal response to ERS and immune system infiltration contribute to the progression of EMs.

Abstract Image

解读子宫内膜异位症内质网应激和免疫浸润的分子串扰
背景子宫内膜异位症(EMs),其特征是子宫内膜异位生长导致不孕。内质网应激是一种重要的细胞防御机制。然而,ERS与EMs之间的相关性尚不清楚。我们的目的是研究它们之间的关系,确定生物标志物,并为EMs的治疗提供新的见解。方法利用两个与现代人EMs相关的RNA表达数据集(GSE120103和GSE25628),鉴定ers -差异表达基因(ERS-DEGs)。蛋白-蛋白相互作用(PPI)网络和CytoHubba (Cytoscape)鉴定了ers相关的HUB基因,用受试者工作特征曲线(ROC)评估诊断价值。构建mRNA-microRNA (miRNA)/ rna -转录因子(TF)相互作用网络,并进行ssGSEA比较EMs患者和对照组的免疫浸润。采用实时定量聚合酶链反应(RT-qPCR)、免疫印迹(WB)和免疫组化(IHC)来评估潜在的生物标志物水平。结果共鉴定出33个ers - deg,其中9个HUB基因(HSPA5、XBP1、HSP90B1、DNAJC3、PDIA3、PDIA6、PDIA4、HERPUD1和MANF)具有诊断作用(AUC >;0.7)。此外,免疫浸润显示免疫细胞丰度与HUB基因表达有显著关系。实验验证证实了四种生物标志物(HSPA5、HSP90B1、PDIA6和HERPUD1)的一致性。调控网络分析鉴定出62个mirna和44个TFs与HUB基因相互作用,提示存在多因子免疫代谢轴。我们确定了与ERS相关的四种生物标志物(HSPA5、HSP90B1、PDIA6和HERPUD1),为EMs的检测和治疗提供了新的见解。我们的研究结果表明,对ERS和免疫系统浸润的异常反应有助于EMs的进展。
本文章由计算机程序翻译,如有差异,请以英文原文为准。
求助全文
约1分钟内获得全文 求助全文
来源期刊
CiteScore
6.20
自引率
5.60%
发文量
314
审稿时长
2 months
期刊介绍: The American Journal of Reproductive Immunology is an international journal devoted to the presentation of current information in all areas relating to Reproductive Immunology. The journal is directed toward both the basic scientist and the clinician, covering the whole process of reproduction as affected by immunological processes. The journal covers a variety of subspecialty topics, including fertility immunology, pregnancy immunology, immunogenetics, mucosal immunology, immunocontraception, endometriosis, abortion, tumor immunology of the reproductive tract, autoantibodies, infectious disease of the reproductive tract, and technical news.
×
引用
GB/T 7714-2015
复制
MLA
复制
APA
复制
导出至
BibTeX EndNote RefMan NoteFirst NoteExpress
×
提示
您的信息不完整,为了账户安全,请先补充。
现在去补充
×
提示
您因"违规操作"
具体请查看互助需知
我知道了
×
提示
确定
请完成安全验证×
copy
已复制链接
快去分享给好友吧!
我知道了
右上角分享
点击右上角分享
0
联系我们:info@booksci.cn Book学术提供免费学术资源搜索服务,方便国内外学者检索中英文文献。致力于提供最便捷和优质的服务体验。 Copyright © 2023 布克学术 All rights reserved.
京ICP备2023020795号-1
ghs 京公网安备 11010802042870号
Book学术文献互助
Book学术文献互助群
群 号:604180095
Book学术官方微信