A Comparison of the Immunogenicity of Intravenous BAT1806, a Tocilizumab Biosimilar, and Its Reference Product.

IF 2.9 3区 医学 Q2 RHEUMATOLOGY
Rheumatology and Therapy Pub Date : 2025-06-01 Epub Date: 2025-04-08 DOI:10.1007/s40744-025-00760-y
Hans C Ebbers, Peter C Taylor, Xiaomei Leng, Wei Wei, Niamh M Kinsella, Yinbo Zhou, Xiaolei Yang, Paul Chamberlain
{"title":"A Comparison of the Immunogenicity of Intravenous BAT1806, a Tocilizumab Biosimilar, and Its Reference Product.","authors":"Hans C Ebbers, Peter C Taylor, Xiaomei Leng, Wei Wei, Niamh M Kinsella, Yinbo Zhou, Xiaolei Yang, Paul Chamberlain","doi":"10.1007/s40744-025-00760-y","DOIUrl":null,"url":null,"abstract":"<p><strong>Introduction: </strong>Biosimilars need to demonstrate similarity in terms of quality, pharmacokinetics (PK), efficacy, safety, and immunogenicity. Here, we report the outcome of a comprehensive evaluation of the immunogenicity of the biosimilar BAT1806 compared with the tocilizumab reference product (TCZ).</p><p><strong>Methods: </strong>We conducted a post hoc analysis of study BAT1806-001-CR, a comparative PK study in healthy male volunteers (n = 129), and BAT1806-002-CR, a phase III, 52-week trial in patients with rheumatoid arthritis (n = 621). Anti-drug antibodies (ADA), ADA titers, and neutralizing ADA were measured, and their impact on PK, safety, and efficacy parameters were assessed.</p><p><strong>Results: </strong>In BAT1806-001-CR, treatment-induced ADA were observed in 37.8% of participants for the BAT1806 group, 28.6% for the EU-sourced TCZ group, and 31.0% for the US-sourced TCZ group, without an impact on PK and safety. In BAT1806-002-CR after 52 weeks, 28.2% of participants in the BAT1806 group developed treatment-induced ADA, compared with 24.0% in the TCZ group and 19.7% of participants who initiated TCZ and switched to BAT1806 at week 24. ADA-positive participants reported lower geometric mean serum tocilizumab trough concentrations than ADA-negative participants in all treatment groups. ADA-positive participants achieved similar efficacy outcomes to ADA-negative participants in all treatment groups. ADA were not associated with an incremental risk of treatment-emergent adverse events or hypersensitivity in any of the treatment groups.</p><p><strong>Conclusions: </strong>The results of these post hoc analyses did not indicate any clinically relevant differences in the immunogenicity profile of intravenously administered BAT1806 compared with TCZ.</p><p><strong>Trial registration: </strong>ClinicalTrials.gov identifiers, NCT03606876, NCT03830203.</p>","PeriodicalId":21267,"journal":{"name":"Rheumatology and Therapy","volume":" ","pages":"529-546"},"PeriodicalIF":2.9000,"publicationDate":"2025-06-01","publicationTypes":"Journal Article","fieldsOfStudy":null,"isOpenAccess":false,"openAccessPdf":"https://www.ncbi.nlm.nih.gov/pmc/articles/PMC12084431/pdf/","citationCount":"0","resultStr":null,"platform":"Semanticscholar","paperid":null,"PeriodicalName":"Rheumatology and Therapy","FirstCategoryId":"3","ListUrlMain":"https://doi.org/10.1007/s40744-025-00760-y","RegionNum":3,"RegionCategory":"医学","ArticlePicture":[],"TitleCN":null,"AbstractTextCN":null,"PMCID":null,"EPubDate":"2025/4/8 0:00:00","PubModel":"Epub","JCR":"Q2","JCRName":"RHEUMATOLOGY","Score":null,"Total":0}
引用次数: 0

Abstract

Introduction: Biosimilars need to demonstrate similarity in terms of quality, pharmacokinetics (PK), efficacy, safety, and immunogenicity. Here, we report the outcome of a comprehensive evaluation of the immunogenicity of the biosimilar BAT1806 compared with the tocilizumab reference product (TCZ).

Methods: We conducted a post hoc analysis of study BAT1806-001-CR, a comparative PK study in healthy male volunteers (n = 129), and BAT1806-002-CR, a phase III, 52-week trial in patients with rheumatoid arthritis (n = 621). Anti-drug antibodies (ADA), ADA titers, and neutralizing ADA were measured, and their impact on PK, safety, and efficacy parameters were assessed.

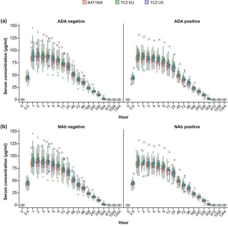
Results: In BAT1806-001-CR, treatment-induced ADA were observed in 37.8% of participants for the BAT1806 group, 28.6% for the EU-sourced TCZ group, and 31.0% for the US-sourced TCZ group, without an impact on PK and safety. In BAT1806-002-CR after 52 weeks, 28.2% of participants in the BAT1806 group developed treatment-induced ADA, compared with 24.0% in the TCZ group and 19.7% of participants who initiated TCZ and switched to BAT1806 at week 24. ADA-positive participants reported lower geometric mean serum tocilizumab trough concentrations than ADA-negative participants in all treatment groups. ADA-positive participants achieved similar efficacy outcomes to ADA-negative participants in all treatment groups. ADA were not associated with an incremental risk of treatment-emergent adverse events or hypersensitivity in any of the treatment groups.

Conclusions: The results of these post hoc analyses did not indicate any clinically relevant differences in the immunogenicity profile of intravenously administered BAT1806 compared with TCZ.

Trial registration: ClinicalTrials.gov identifiers, NCT03606876, NCT03830203.

Abstract Image

Abstract Image

Abstract Image

静脉注射托西珠单抗生物仿制药 BAT1806 与其参照产品的免疫原性比较
生物仿制药需要在质量、药代动力学(PK)、疗效、安全性和免疫原性方面证明相似性。在这里,我们报告了生物仿制药BAT1806与托珠单抗参考产品(TCZ)的免疫原性综合评估结果。方法:我们对BAT1806-001-CR研究进行了回顾性分析,BAT1806-001-CR是一项在健康男性志愿者中进行的比较PK研究(n = 129), BAT1806-002-CR是一项在类风湿关节炎患者中进行的为期52周的III期试验(n = 621)。测定抗药物抗体(ADA)、ADA滴度和中和性ADA,并评估其对PK、安全性和有效性参数的影响。结果:在BAT1806-001- cr中,BAT1806组37.8%的参与者观察到治疗性ADA,欧盟来源的TCZ组28.6%,美国来源的TCZ组31.0%,对PK和安全性没有影响。在BAT1806-002- cr中,52周后,BAT1806组中28.2%的参与者发生了治疗性ADA,而TCZ组中这一比例为24.0%,而在第24周开始使用TCZ并切换到BAT1806的参与者中这一比例为19.7%。在所有治疗组中,ada阳性受试者报告的几何平均血清托珠单抗谷浓度低于ada阴性受试者。在所有治疗组中,ada阳性受试者与ada阴性受试者取得了相似的疗效结果。在任何治疗组中,ADA均与治疗中出现的不良事件或过敏的风险增加无关。结论:这些事后分析的结果没有显示静脉注射BAT1806与TCZ相比在免疫原性方面有任何临床相关的差异。试验注册:ClinicalTrials.gov识别码,NCT03606876, NCT03830203。
本文章由计算机程序翻译,如有差异,请以英文原文为准。
求助全文
约1分钟内获得全文 求助全文
来源期刊
Rheumatology and Therapy
Rheumatology and Therapy RHEUMATOLOGY-
CiteScore
6.00
自引率
5.30%
发文量
91
审稿时长
6 weeks
期刊介绍: Aims and Scope Rheumatology and Therapy is an international, open access, peer reviewed, rapid publication journal dedicated to the publication of high-quality clinical (all phases), observational, real-world and health outcomes research around the discovery, development, and use of rheumatologic therapies. Studies relating to diagnosis, pharmacoeconomics, public health, quality of life, and patient care, management, and education are also welcomed. Areas of focus include, but are not limited to, rheumatoid arthritis, gout, gouty arthritis, psoriatic arthritis, osteoarthritis, juvenile idiopathic/rheumatoid arthritis, systemic lupus erythematosus, axial spondyloarthritis, Pompe’s disease, inflammatory joint conditions, musculoskeletal conditions, systemic sclerosis, and fibromyalgia. The journal is of interest to a broad audience of healthcare professionals and publishes original research, reviews, case reports, trial protocols, communications and letters. The journal is read by a global audience and receives submissions from all over the world. Rheumatology and Therapy will consider all scientifically sound research be it positive, confirmatory or negative data. Submissions are welcomed whether they relate to an international and/or a country-specific audience, something that is crucially important when researchers are trying to target more specific patient populations. This inclusive approach allows the journal to assist in the dissemination of all scientifically and ethically sound research. Ethics and Disclosures The journal is a member of the Committee on Publication Ethics (COPE) and subscribes to its principles on how to deal with acts of misconduct thereby committing to investigate allegations of misconduct in order to ensure the integrity of research. Content in this journal is peer-reviewed (Single-blind). For more information on our publishing ethics policies, please see here: https://www.springer.com/gp/editorial-policies Rapid Publication The journal’s rapid publication timelines aim for a peer review decision within 2 weeks of submission. If an article is accepted it will be published online 3-4 weeks from acceptance. These rapid timelines are achieved through the combination of a dedicated in-house editorial team, who closely manage article workflow, and an extensive Editorial and Advisory Board who assist with rapid peer review. This allows the journal to support the rapid dissemination of research, whilst still providing robust peer review. Combined with the journal’s open access model this allows for the rapid and efficient communication of the latest research and reviews, allowing the advancement of rheumatologic therapies. Personal Service The journal’s dedicated in-house editorial team offer a personal “concierge service” meaning that authors will always have a personal point of contact able to update them on the status of their manuscript. The editorial team check all manuscripts to ensure that articles conform to the most recent COPE, GPP and ICMJE publishing guidelines. This supports the publication of ethically sound and transparent research. We also encourage pre-submission enquiries and are always happy to provide a confidential assessment of manuscripts. Digital Features Rheumatology and Therapy offers a range of additional features designed to increase the visibility, readership and educational value of the journal’s content. Each article is accompanied by key summary points, giving a time-efficient overview of the content to a wide readership. Articles may be accompanied by plain language summaries to assist readers who have some knowledge of, but not in-depth expertise in, the area to understand the scientific content and overall implications of the article. The journal also provides the option to include various types of digital features including animated abstracts, video abstracts, slide decks, audio slides, instructional videos, infographics, podcasts and animations. All additional features are peer reviewed to the same high standard as the article itself. If you consider that your paper would benefit from the inclusion of a digital feature, please let us know. Our editorial team are able to create high-quality slide decks and infographics in-house, and video abstracts through our partner Research Square, and would be happy to assist in any way we can. For further information about digital features, please contact the journal editor (see ‘Contact the Journal’ for email address), and see the ‘Guidelines for digital features and plain language summaries’ document under ‘Submission guidelines’. For examples of digital features please visit: https://springerhealthcare.com/expertise/publishing-digital-features/ Preprints We encourage posting of preprints of primary research manuscripts on preprint servers, authors'' or institutional websites, and open communications between researchers whether on community preprint servers or preprint commenting platforms. Posting of preprints is not considered prior publication and will not jeopardize consideration in our journals. Authors should disclose details of preprint posting during the submission process or at any other point during consideration in the journal. Once the manuscript is published, it is the author''s responsibility to ensure that the preprint record is updated with a publication reference, including the DOI and a URL link to the published version of the article on the journal website. Please see here for further information on preprint sharing: https://www.springer.com/gp/authors-editors/journal-author/journal-author-helpdesk/submission/1302#c16721550 Peer Review Process Upon submission, manuscripts are assessed by the editorial team to ensure they fit within the aims and scope of the journal and are also checked for plagiarism. All suitable submissions are then subject to a comprehensive single-blind peer review. Reviewers are selected based on their relevant expertise and publication history in the subject area. The journal has an extensive pool of editorial and advisory board members who have been selected to assist with peer review based on the afore-mentioned criteria. At least two extensive reviews are required to make the editorial decision. Where reviewer recommendations are conflicted, the editorial board will be contacted for further advice and a presiding decision. Manuscripts are then either accepted, rejected or authors are required to make major or minor revisions (both reviewer comments and editorial comments may need to be addressed). Once a revised manuscript is re-submitted, it is assessed along with the responses to reviewer comments and if it has been adequately revised it will be accepted for publication. Accepted manuscripts are then copyedited and typeset by the production team before online publication. Appeals against decisions following peer review are considered on a case-by-case basis and should be sent to the journal editor, and authors are welcome to make rebuttals against individual reviewer comments if appropriate. Considering the time and effort required for a detailed peer review we reward our regular reviewers with the opportunity to publish without publication fees (pending peer review) for every three reviews completed per calendar year. Copyright Rheumatology and Therapy is published under the Creative Commons Attribution-Noncommercial License, which allows users to read, copy, distribute, and make derivative works for non-commercial purposes from the material, as long as the author of the original work is cited. The author assigns the exclusive right to any commercial use of the article to Springer. For more information about the Creative Commons Attribution-Noncommercial License, click here: http://creativecommons.org/licenses/by-nc/4.0. Publication Fees Upon acceptance of an article, authors will be required to pay the mandatory Rapid Service Fee of €5,250/$6,000/£4,300. The journal will consider fee discounts and waivers for developing countries and this is decided on a case-by-case basis. Open Access All articles published by Rheumatology and Therapy are published open access. Contact For more information about the journal, including pre-submission enquiries, please contact charlotte.maddocks@springernature.com.
×
引用
GB/T 7714-2015
复制
MLA
复制
APA
复制
导出至
BibTeX EndNote RefMan NoteFirst NoteExpress
×
提示
您的信息不完整,为了账户安全,请先补充。
现在去补充
×
提示
您因"违规操作"
具体请查看互助需知
我知道了
×
提示
确定
请完成安全验证×
copy
已复制链接
快去分享给好友吧!
我知道了
右上角分享
点击右上角分享
0
联系我们:info@booksci.cn Book学术提供免费学术资源搜索服务,方便国内外学者检索中英文文献。致力于提供最便捷和优质的服务体验。 Copyright © 2023 布克学术 All rights reserved.
京ICP备2023020795号-1
ghs 京公网安备 11010802042870号
Book学术文献互助
Book学术文献互助群
群 号:604180095
Book学术官方微信