A zinc finger protein shapes the temperature adaptability of a cosmopolitan pest.

IF 3.6 3区 生物学 Q1 BIOCHEMISTRY & MOLECULAR BIOLOGY
Open Biology Pub Date : 2025-04-01 Epub Date: 2025-04-09 DOI:10.1098/rsob.240346
Xin Miao, Fang Cao, Xiao-Fei Yu, Tian-Pu Li, Hai-Yin Su, Jiao Guo, Gui-Lei Hu, Bing-Wei Chen, Min-Sheng You, Yuan-Yuan Liu, Gao-Ke Lei, Shijun You
{"title":"A zinc finger protein shapes the temperature adaptability of a cosmopolitan pest.","authors":"Xin Miao, Fang Cao, Xiao-Fei Yu, Tian-Pu Li, Hai-Yin Su, Jiao Guo, Gui-Lei Hu, Bing-Wei Chen, Min-Sheng You, Yuan-Yuan Liu, Gao-Ke Lei, Shijun You","doi":"10.1098/rsob.240346","DOIUrl":null,"url":null,"abstract":"<p><p>Global climate change is characterized by increased extreme temperatures affecting insects at all trophic levels. Zinc finger proteins (ZFPs) are key regulators of gene expression and cell differentiation in eukaryotes, essential for stress resistance in both animals and plants. Using CRISPR/Cas9 for gene deletion, this study predicted and examined the structure of ZFP320 in the diamondback moth (<i>Plutella xylostella</i>) and investigated its function in temperature stress response through a comprehensive age-stage, two-sex life table analysis. We found <i>ZFP320</i> encodes a 387 amino acid protein (43 kDa) with no transmembrane domains, featuring a ZnF-C2H2 domain. Quantitative fluorescence analysis showed that ZFP320 expression increased under high temperatures. ZFP320 knockout altered antioxidant gene expression, resulting in higher levels of superoxide dismutase and catalase in mutant strains compared with wild-type strain. Life table analysis revealed that the mutant strains had shorter fecundity and oviposition periods under both normal and high temperatures. Additionally, mutant strains exhibited lower parameters (<i>r</i>, <i>λ</i>, <i>R<sub>0</sub></i>), as well as reduced survival rates and critical thermal maxima. Notably, <i>PxZFP320</i> plays a crucial role in temperature adaptation, paving the way for future investigations on the significance of ZFPs in <i>P. xylostella</i>'s temperature tolerance.</p>","PeriodicalId":19629,"journal":{"name":"Open Biology","volume":"15 4","pages":"240346"},"PeriodicalIF":3.6000,"publicationDate":"2025-04-01","publicationTypes":"Journal Article","fieldsOfStudy":null,"isOpenAccess":false,"openAccessPdf":"https://www.ncbi.nlm.nih.gov/pmc/articles/PMC11978451/pdf/","citationCount":"0","resultStr":null,"platform":"Semanticscholar","paperid":null,"PeriodicalName":"Open Biology","FirstCategoryId":"99","ListUrlMain":"https://doi.org/10.1098/rsob.240346","RegionNum":3,"RegionCategory":"生物学","ArticlePicture":[],"TitleCN":null,"AbstractTextCN":null,"PMCID":null,"EPubDate":"2025/4/9 0:00:00","PubModel":"Epub","JCR":"Q1","JCRName":"BIOCHEMISTRY & MOLECULAR BIOLOGY","Score":null,"Total":0}
引用次数: 0

Abstract

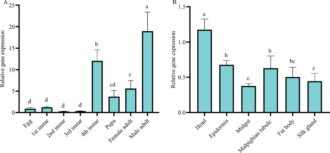
Global climate change is characterized by increased extreme temperatures affecting insects at all trophic levels. Zinc finger proteins (ZFPs) are key regulators of gene expression and cell differentiation in eukaryotes, essential for stress resistance in both animals and plants. Using CRISPR/Cas9 for gene deletion, this study predicted and examined the structure of ZFP320 in the diamondback moth (Plutella xylostella) and investigated its function in temperature stress response through a comprehensive age-stage, two-sex life table analysis. We found ZFP320 encodes a 387 amino acid protein (43 kDa) with no transmembrane domains, featuring a ZnF-C2H2 domain. Quantitative fluorescence analysis showed that ZFP320 expression increased under high temperatures. ZFP320 knockout altered antioxidant gene expression, resulting in higher levels of superoxide dismutase and catalase in mutant strains compared with wild-type strain. Life table analysis revealed that the mutant strains had shorter fecundity and oviposition periods under both normal and high temperatures. Additionally, mutant strains exhibited lower parameters (r, λ, R0), as well as reduced survival rates and critical thermal maxima. Notably, PxZFP320 plays a crucial role in temperature adaptation, paving the way for future investigations on the significance of ZFPs in P. xylostella's temperature tolerance.

Abstract Image

Abstract Image

Abstract Image

锌指蛋白塑造了一种世界性害虫的温度适应性。
全球气候变化的特点是极端温度增加,影响到所有营养水平的昆虫。锌指蛋白(ZFPs)是真核生物基因表达和细胞分化的关键调控因子,对动物和植物的抗逆性至关重要。本研究利用CRISPR/Cas9基因缺失技术,对小菜蛾(Plutella xylostella)中ZFP320基因的结构进行了预测和检测,并通过全面的年龄阶段、两性生命表分析研究了其在温度胁迫响应中的功能。我们发现ZFP320编码一个387个氨基酸的蛋白(43 kDa),无跨膜结构域,具有ZnF-C2H2结构域。荧光定量分析显示,高温下ZFP320表达量增加。ZFP320基因敲除改变了抗氧化基因的表达,导致突变菌株的超氧化物歧化酶和过氧化氢酶水平高于野生型菌株。生命表分析表明,在常温和高温下,突变菌株的繁殖力和产卵期均较短。此外,突变菌株表现出较低的参数(r, λ, R0),以及降低的存活率和临界热最大值。值得注意的是,PxZFP320在温度适应中起着至关重要的作用,为进一步研究ZFPs在小菜耐温性中的意义铺平了道路。
本文章由计算机程序翻译,如有差异,请以英文原文为准。
求助全文
约1分钟内获得全文 求助全文
来源期刊
Open Biology
Open Biology BIOCHEMISTRY & MOLECULAR BIOLOGY-
CiteScore
10.00
自引率
1.70%
发文量
136
审稿时长
6-12 weeks
期刊介绍: Open Biology is an online journal that welcomes original, high impact research in cell and developmental biology, molecular and structural biology, biochemistry, neuroscience, immunology, microbiology and genetics.
×
引用
GB/T 7714-2015
复制
MLA
复制
APA
复制
导出至
BibTeX EndNote RefMan NoteFirst NoteExpress
×
提示
您的信息不完整,为了账户安全,请先补充。
现在去补充
×
提示
您因"违规操作"
具体请查看互助需知
我知道了
×
提示
确定
请完成安全验证×
copy
已复制链接
快去分享给好友吧!
我知道了
右上角分享
点击右上角分享
0
联系我们:info@booksci.cn Book学术提供免费学术资源搜索服务,方便国内外学者检索中英文文献。致力于提供最便捷和优质的服务体验。 Copyright © 2023 布克学术 All rights reserved.
京ICP备2023020795号-1
ghs 京公网安备 11010802042870号
Book学术文献互助
Book学术文献互助群
群 号:604180095
Book学术官方微信