Protective role of Hsian-tsao ethanol extract against body fat, serum lipid profiles, and hepatic lipid profiles in high-fat diet-fed rats.

IF 3 3区 农林科学 Q2 FOOD SCIENCE & TECHNOLOGY
Ching-Chang Cho, Gow-Chin Yen, Hsin-Yi Lee, Chun-Tse Tsai, Wei-Tang Chang, Chin-Lin Hsu
{"title":"Protective role of Hsian-tsao ethanol extract against body fat, serum lipid profiles, and hepatic lipid profiles in high-fat diet-fed rats.","authors":"Ching-Chang Cho, Gow-Chin Yen, Hsin-Yi Lee, Chun-Tse Tsai, Wei-Tang Chang, Chin-Lin Hsu","doi":"10.38212/2224-6614.3527","DOIUrl":null,"url":null,"abstract":"<p><p>This study investigated the preventive effects of a 40% ethanol extract of Hsian-tsao (40EEHT) on obesity in high-fat diet (HFD)-induced obese rats. Male Wistar rats were administered 0, 100, 200, or 500 mg/kg of 40EEHT, resulting in reduced body weight, total body fat, and hepatic tissue weight after 8 weeks. 40EEHT also decreased adipocyte size, improved lipid profiles, alleviated oxidative stress, and enhanced hepatic antioxidant enzyme activities. Additionally, it regulated fatty acid metabolism by reducing lipogenesis and increasing lipolysis and β-oxidation, suggesting its potential as an anti-obesity dietary supplement.</p>","PeriodicalId":358,"journal":{"name":"Journal of Food and Drug Analysis","volume":"33 1","pages":"48-60"},"PeriodicalIF":3.0000,"publicationDate":"2025-03-31","publicationTypes":"Journal Article","fieldsOfStudy":null,"isOpenAccess":false,"openAccessPdf":"https://www.ncbi.nlm.nih.gov/pmc/articles/PMC12039537/pdf/","citationCount":"0","resultStr":null,"platform":"Semanticscholar","paperid":null,"PeriodicalName":"Journal of Food and Drug Analysis","FirstCategoryId":"97","ListUrlMain":"https://doi.org/10.38212/2224-6614.3527","RegionNum":3,"RegionCategory":"农林科学","ArticlePicture":[],"TitleCN":null,"AbstractTextCN":null,"PMCID":null,"EPubDate":"","PubModel":"","JCR":"Q2","JCRName":"FOOD SCIENCE & TECHNOLOGY","Score":null,"Total":0}
引用次数: 0

Abstract

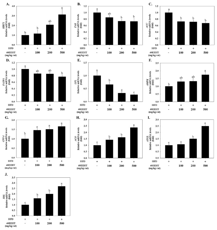
This study investigated the preventive effects of a 40% ethanol extract of Hsian-tsao (40EEHT) on obesity in high-fat diet (HFD)-induced obese rats. Male Wistar rats were administered 0, 100, 200, or 500 mg/kg of 40EEHT, resulting in reduced body weight, total body fat, and hepatic tissue weight after 8 weeks. 40EEHT also decreased adipocyte size, improved lipid profiles, alleviated oxidative stress, and enhanced hepatic antioxidant enzyme activities. Additionally, it regulated fatty acid metabolism by reducing lipogenesis and increasing lipolysis and β-oxidation, suggesting its potential as an anti-obesity dietary supplement.

Abstract Image

Abstract Image

Abstract Image

仙草乙醇提取物对高脂日粮大鼠体脂、血脂及肝脂的保护作用。
本研究探讨40%仙草乙醇提取物(40EEHT)对高脂饮食(HFD)诱导的肥胖大鼠的预防作用。雄性Wistar大鼠分别给予0、100、200或500 mg/kg的40EEHT, 8周后体重、体脂和肝组织重量均有所下降。40EEHT还能降低脂肪细胞大小,改善脂质谱,减轻氧化应激,增强肝脏抗氧化酶活性。此外,它通过减少脂肪生成和增加脂肪分解和β-氧化来调节脂肪酸代谢,表明其作为抗肥胖膳食补充剂的潜力。
本文章由计算机程序翻译,如有差异,请以英文原文为准。
求助全文
约1分钟内获得全文 求助全文
来源期刊
Journal of Food and Drug Analysis
Journal of Food and Drug Analysis 医学-食品科技
CiteScore
6.30
自引率
2.80%
发文量
36
审稿时长
3.8 months
期刊介绍: The journal aims to provide an international platform for scientists, researchers and academicians to promote, share and discuss new findings, current issues, and developments in the different areas of food and drug analysis. The scope of the Journal includes analytical methodologies and biological activities in relation to food, drugs, cosmetics and traditional Chinese medicine, as well as related disciplines of topical interest to public health professionals.
×
引用
GB/T 7714-2015
复制
MLA
复制
APA
复制
导出至
BibTeX EndNote RefMan NoteFirst NoteExpress
×
提示
您的信息不完整,为了账户安全,请先补充。
现在去补充
×
提示
您因"违规操作"
具体请查看互助需知
我知道了
×
提示
确定
请完成安全验证×
copy
已复制链接
快去分享给好友吧!
我知道了
右上角分享
点击右上角分享
0
联系我们:info@booksci.cn Book学术提供免费学术资源搜索服务,方便国内外学者检索中英文文献。致力于提供最便捷和优质的服务体验。 Copyright © 2023 布克学术 All rights reserved.
京ICP备2023020795号-1
ghs 京公网安备 11010802042870号
Book学术文献互助
Book学术文献互助群
群 号:604180095
Book学术官方微信