[Validation of a new impedance cardiography device for noninvasive hemodynamic measurement in outpatient hypertensive patients]

Q3 Medicine
Marcelo A Rada, Paula Edit Cuffaro, María Celeste Szydlowicz, Verónica Andrea Peuchot, Margarita Susana Morales, Jorge Javier Janson, Ruben Micali, José Alfie, Carlos Rodolfo Galarza
{"title":"[Validation of a new impedance cardiography device for noninvasive hemodynamic measurement in outpatient hypertensive patients]","authors":"Marcelo A Rada, Paula Edit Cuffaro, María Celeste Szydlowicz, Verónica Andrea Peuchot, Margarita Susana Morales, Jorge Javier Janson, Ruben Micali, José Alfie, Carlos Rodolfo Galarza","doi":"10.31053/1853.0605.v82.n1.45253","DOIUrl":null,"url":null,"abstract":"<p><strong>Objective: </strong>To compare the new cardiograph ZLogic for non-invasive measurements of Stroke volume (SV) and Cardiac output (CO) against the Minnesota cardiograph.</p><p><strong>Methods: </strong>86 subjects from both genders, 18-80 years old, hypertensive and healthy volunteers were included. Three hemodynamic measurements performed with each device, in an alternate fashion, using the Bland-Altman method to determine the level of agreement. Percentage error was calculated for interchangeability of both methods.</p><p><strong>Results: </strong>Mean SV was 86.71±27.35 mL and mean CO 5.42±1.74 L/min. There was a strong correlation between measures of SV and CO obtained with both devices (r=0.99, p<0.001). Mean difference (MD) for SV was 0.65±3.08 mL (CI95%: -0.01-1.31) and 95% limits of agreement −5.39 to +6.69 mL. MD for CO was 0.05±0.17 L/min (CI95%: 0.01-0.09) and the 95% limits of agreement −0.28 to +0.38 L/min.</p><p><strong>Conclusion: </strong>ZLogic and Minnesota cardiographs provided equivalent SV and CO values in ambulatory hypertensive patients.</p>","PeriodicalId":38814,"journal":{"name":"Revista de la Facultad de Ciencias Medicas de Cordoba","volume":"82 1","pages":"95-109"},"PeriodicalIF":0.0000,"publicationDate":"2025-03-31","publicationTypes":"Journal Article","fieldsOfStudy":null,"isOpenAccess":false,"openAccessPdf":"https://www.ncbi.nlm.nih.gov/pmc/articles/PMC12057702/pdf/","citationCount":"0","resultStr":null,"platform":"Semanticscholar","paperid":null,"PeriodicalName":"Revista de la Facultad de Ciencias Medicas de Cordoba","FirstCategoryId":"1085","ListUrlMain":"https://doi.org/10.31053/1853.0605.v82.n1.45253","RegionNum":0,"RegionCategory":null,"ArticlePicture":[],"TitleCN":null,"AbstractTextCN":null,"PMCID":null,"EPubDate":"","PubModel":"","JCR":"Q3","JCRName":"Medicine","Score":null,"Total":0}
引用次数: 0

Abstract

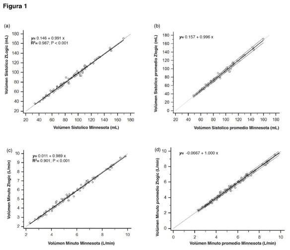
Objective: To compare the new cardiograph ZLogic for non-invasive measurements of Stroke volume (SV) and Cardiac output (CO) against the Minnesota cardiograph.

Methods: 86 subjects from both genders, 18-80 years old, hypertensive and healthy volunteers were included. Three hemodynamic measurements performed with each device, in an alternate fashion, using the Bland-Altman method to determine the level of agreement. Percentage error was calculated for interchangeability of both methods.

Results: Mean SV was 86.71±27.35 mL and mean CO 5.42±1.74 L/min. There was a strong correlation between measures of SV and CO obtained with both devices (r=0.99, p<0.001). Mean difference (MD) for SV was 0.65±3.08 mL (CI95%: -0.01-1.31) and 95% limits of agreement −5.39 to +6.69 mL. MD for CO was 0.05±0.17 L/min (CI95%: 0.01-0.09) and the 95% limits of agreement −0.28 to +0.38 L/min.

Conclusion: ZLogic and Minnesota cardiographs provided equivalent SV and CO values in ambulatory hypertensive patients.

Abstract Image

Abstract Image

[一种新型阻抗心电图仪在门诊高血压患者无创血流动力学测量中的验证]
目的:比较新型心电仪ZLogic与明尼苏达州心电仪在无创测量脑卒中容积(SV)和心输出量(CO)方面的差异。方法:选取年龄在18 ~ 80岁、高血压和健康志愿者共86例。使用Bland-Altman方法对每个设备进行三次血流动力学测量,以替代方式确定一致性水平。计算了两种方法互换性的百分比误差。结果:平均SV为86.71±27.35 mL,平均CO为5.42±1.74 L/min。两种仪器测量的SV和CO之间存在很强的相关性(r=0.99, p)。结论:ZLogic和Minnesota心动图为门诊高血压患者提供了相同的SV和CO值。
本文章由计算机程序翻译,如有差异,请以英文原文为准。
求助全文
约1分钟内获得全文 求助全文
来源期刊
CiteScore
1.60
自引率
0.00%
发文量
60
审稿时长
20 weeks
期刊介绍: The Journal of the Faculty of Medical Sciences is a scientific publication of the Secretariat of Science and Technology of the Faculty of Medical Sciences of the National University of Cordoba. Its objective is to disseminate and promote research work related to Medical and Biological Sciences. It publishes scientific works of national and international professionals on different topics related to health sciences from the field of medicine, nursing, kinesiology, diagnostic imaging, phonoaudiology, nutrition, public health, chemical sciences, dentistry and related.
×
引用
GB/T 7714-2015
复制
MLA
复制
APA
复制
导出至
BibTeX EndNote RefMan NoteFirst NoteExpress
×
提示
您的信息不完整,为了账户安全,请先补充。
现在去补充
×
提示
您因"违规操作"
具体请查看互助需知
我知道了
×
提示
确定
请完成安全验证×
copy
已复制链接
快去分享给好友吧!
我知道了
右上角分享
点击右上角分享
0
联系我们:info@booksci.cn Book学术提供免费学术资源搜索服务,方便国内外学者检索中英文文献。致力于提供最便捷和优质的服务体验。 Copyright © 2023 布克学术 All rights reserved.
京ICP备2023020795号-1
ghs 京公网安备 11010802042870号
Book学术文献互助
Book学术文献互助群
群 号:604180095
Book学术官方微信