Pharmacokinetics of post-transplant cyclophosphamide and its associations with clinical outcomes in pediatric haploidentical hematopoietic stem cell transplantation.

IF 11.5 2区 医学 Q1 MEDICINE, RESEARCH & EXPERIMENTAL
Kyung Taek Hong, Sungyeun Bae, Yoon Sunwoo, Juyeon Lee, Hyun Jin Park, Bo Kyung Kim, Jung Yoon Choi, Joo-Youn Cho, Kyung-Sang Yu, Jaeseong Oh, Hyoung Jin Kang
{"title":"Pharmacokinetics of post-transplant cyclophosphamide and its associations with clinical outcomes in pediatric haploidentical hematopoietic stem cell transplantation.","authors":"Kyung Taek Hong, Sungyeun Bae, Yoon Sunwoo, Juyeon Lee, Hyun Jin Park, Bo Kyung Kim, Jung Yoon Choi, Joo-Youn Cho, Kyung-Sang Yu, Jaeseong Oh, Hyoung Jin Kang","doi":"10.1186/s40364-025-00749-3","DOIUrl":null,"url":null,"abstract":"<p><strong>Background: </strong>Post-transplantation cyclophosphamide (PTCy) has paved the way for the increased use of alternative donors, including haploidentical familial donors, with acceptable engraftment and graft-versus-host disease (GVHD) rates. However, pharmacokinetic studies of PTCy in the pediatric population following myeloablative conditioning regimens are scarce.</p><p><strong>Methods: </strong>We conducted a prospective and comprehensive pharmacokinetic analysis of pre- and post-transplantation cyclophosphamide levels in pediatric patients undergoing haploidentical hematopoietic stem cell transplantation (HSCT) using a myeloablative busulfan-based conditioning regimen. A total of 14 samples were collected from each patient. Plasma concentrations of cyclophosphamide and carboxycyclophosphamide were analyzed, and clinical outcomes were recorded. The simulated pharmacokinetic profiles of cyclophosphamide and its metabolites were compared among different age groups using real-world data.</p><p><strong>Results: </strong>A total of 15 pediatric patients (median age at HSCT 9.6 years, range 1.6-16.8) were enrolled. Thirteen patients had malignant disease. All patients achieved successful neutrophil engraftment, and the cumulative incidences of grade 2-4 acute GVHD and moderate-to-severe chronic GVHD were 13.3% and 14.7%, respectively. The patterns of cyclophosphamide pharmacokinetic parameters were similar between the pre- and post-HSCT doses. The metabolic ratio increased with subsequent doses of PTCy. Patients with severe veno-occlusive disease showed a higher cumulative area under the curve (AUC) of carboxycyclophosphamide (62.6 vs. 40.2 mg x h/L, P = 0.025), while patients with > grade 3 hemorrhagic cystitis had a higher cumulative AUC of cyclophosphamide (1256.2 vs. 778.2 mg x h/L, P = 0.009). In contrast, there were no notable differences in the pharmacokinetic parameters of cyclophosphamide and carboxycyclophosphamide between the groups with and without acute and chronic GVHD. The AUC of cyclophosphamide and its metabolite were similar in children weighing ≥ 30 kg and the virtual adult population.</p><p><strong>Conclusions: </strong>Our study provides insights into the pharmacokinetic profile of cyclophosphamide and its metabolite, carboxycyclophosphamide, in pediatric patients undergoing haploidentical HSCT with PTCy. The intricate interplay between pharmacokinetic parameters and post-HSCT complications suggests the need for tailored adjustments in PTCy dosage, particularly in pediatric patients subjected to myeloablative conditioning regimens.</p>","PeriodicalId":54225,"journal":{"name":"Biomarker Research","volume":"13 1","pages":"48"},"PeriodicalIF":11.5000,"publicationDate":"2025-03-24","publicationTypes":"Journal Article","fieldsOfStudy":null,"isOpenAccess":false,"openAccessPdf":"https://www.ncbi.nlm.nih.gov/pmc/articles/PMC11934747/pdf/","citationCount":"0","resultStr":null,"platform":"Semanticscholar","paperid":null,"PeriodicalName":"Biomarker Research","FirstCategoryId":"3","ListUrlMain":"https://doi.org/10.1186/s40364-025-00749-3","RegionNum":2,"RegionCategory":"医学","ArticlePicture":[],"TitleCN":null,"AbstractTextCN":null,"PMCID":null,"EPubDate":"","PubModel":"","JCR":"Q1","JCRName":"MEDICINE, RESEARCH & EXPERIMENTAL","Score":null,"Total":0}
引用次数: 0

Abstract

Background: Post-transplantation cyclophosphamide (PTCy) has paved the way for the increased use of alternative donors, including haploidentical familial donors, with acceptable engraftment and graft-versus-host disease (GVHD) rates. However, pharmacokinetic studies of PTCy in the pediatric population following myeloablative conditioning regimens are scarce.

Methods: We conducted a prospective and comprehensive pharmacokinetic analysis of pre- and post-transplantation cyclophosphamide levels in pediatric patients undergoing haploidentical hematopoietic stem cell transplantation (HSCT) using a myeloablative busulfan-based conditioning regimen. A total of 14 samples were collected from each patient. Plasma concentrations of cyclophosphamide and carboxycyclophosphamide were analyzed, and clinical outcomes were recorded. The simulated pharmacokinetic profiles of cyclophosphamide and its metabolites were compared among different age groups using real-world data.

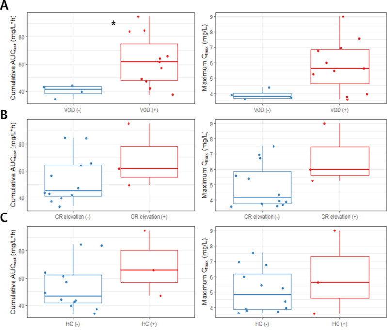
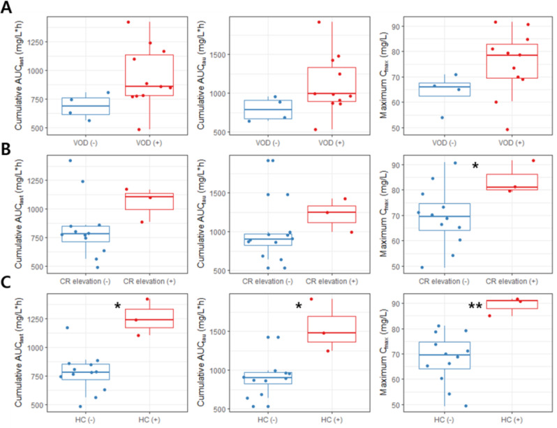
Results: A total of 15 pediatric patients (median age at HSCT 9.6 years, range 1.6-16.8) were enrolled. Thirteen patients had malignant disease. All patients achieved successful neutrophil engraftment, and the cumulative incidences of grade 2-4 acute GVHD and moderate-to-severe chronic GVHD were 13.3% and 14.7%, respectively. The patterns of cyclophosphamide pharmacokinetic parameters were similar between the pre- and post-HSCT doses. The metabolic ratio increased with subsequent doses of PTCy. Patients with severe veno-occlusive disease showed a higher cumulative area under the curve (AUC) of carboxycyclophosphamide (62.6 vs. 40.2 mg x h/L, P = 0.025), while patients with > grade 3 hemorrhagic cystitis had a higher cumulative AUC of cyclophosphamide (1256.2 vs. 778.2 mg x h/L, P = 0.009). In contrast, there were no notable differences in the pharmacokinetic parameters of cyclophosphamide and carboxycyclophosphamide between the groups with and without acute and chronic GVHD. The AUC of cyclophosphamide and its metabolite were similar in children weighing ≥ 30 kg and the virtual adult population.

Conclusions: Our study provides insights into the pharmacokinetic profile of cyclophosphamide and its metabolite, carboxycyclophosphamide, in pediatric patients undergoing haploidentical HSCT with PTCy. The intricate interplay between pharmacokinetic parameters and post-HSCT complications suggests the need for tailored adjustments in PTCy dosage, particularly in pediatric patients subjected to myeloablative conditioning regimens.

Abstract Image

Abstract Image

Abstract Image

儿童单倍体造血干细胞移植后环磷酰胺的药代动力学及其与临床结果的关系
背景:移植后环磷酰胺(PTCy)为越来越多地使用替代供体(包括单倍体家族供体)铺平了道路,其移植率和移植物抗宿主病(GVHD)率均可接受。然而,在髓鞘消融治疗方案后对儿科人群进行的 PTCy 药代动力学研究却很少:方法:我们对采用基于丁胺磺胺的髓鞘清除调理方案进行单倍体造血干细胞移植(HSCT)的儿科患者移植前后的环磷酰胺水平进行了前瞻性和全面的药代动力学分析。每位患者共采集了14份样本。分析了环磷酰胺和羧基环磷酰胺的血浆浓度,并记录了临床结果。利用真实世界的数据比较了不同年龄组的环磷酰胺及其代谢物的模拟药代动力学特征:共有 15 名儿童患者(造血干细胞移植时的中位年龄为 9.6 岁,范围为 1.6-16.8 岁)入组。13名患者患有恶性疾病。所有患者都成功实现了中性粒细胞移植,2-4级急性GVHD和中重度慢性GVHD的累计发生率分别为13.3%和14.7%。HSCT前和HSCT后的环磷酰胺药代动力学参数模式相似。代谢比值随着后续 PTCy 剂量的增加而增加。严重静脉闭塞性疾病患者的羧基环磷酰胺累积曲线下面积(AUC)较高(62.6 vs. 40.2 mg x h/L,P = 0.025),而>3级出血性膀胱炎患者的环磷酰胺累积AUC较高(1256.2 vs. 778.2 mg x h/L,P = 0.009)。相比之下,急慢性 GVHD 组和非急慢性 GVHD 组之间环磷酰胺和羧基环磷酰胺的药代动力学参数没有明显差异。在体重≥30公斤的儿童和虚拟成年人群中,环磷酰胺及其代谢物的AUC相似:结论:我们的研究有助于了解环磷酰胺及其代谢物羧基环磷酰胺在接受PTCy单倍体造血干细胞移植的儿童患者中的药代动力学特征。药代动力学参数与造血干细胞移植后并发症之间错综复杂的相互作用表明,有必要对 PTCy 的剂量进行有针对性的调整,尤其是对接受髓鞘消融治疗方案的儿科患者。
本文章由计算机程序翻译,如有差异,请以英文原文为准。
求助全文
约1分钟内获得全文 求助全文
来源期刊
Biomarker Research
Biomarker Research Biochemistry, Genetics and Molecular Biology-Molecular Medicine
CiteScore
15.80
自引率
1.80%
发文量
80
审稿时长
10 weeks
期刊介绍: Biomarker Research, an open-access, peer-reviewed journal, covers all aspects of biomarker investigation. It seeks to publish original discoveries, novel concepts, commentaries, and reviews across various biomedical disciplines. The field of biomarker research has progressed significantly with the rise of personalized medicine and individual health. Biomarkers play a crucial role in drug discovery and development, as well as in disease diagnosis, treatment, prognosis, and prevention, particularly in the genome era.
×
引用
GB/T 7714-2015
复制
MLA
复制
APA
复制
导出至
BibTeX EndNote RefMan NoteFirst NoteExpress
×
提示
您的信息不完整,为了账户安全,请先补充。
现在去补充
×
提示
您因"违规操作"
具体请查看互助需知
我知道了
×
提示
确定
请完成安全验证×
copy
已复制链接
快去分享给好友吧!
我知道了
右上角分享
点击右上角分享
0
联系我们:info@booksci.cn Book学术提供免费学术资源搜索服务,方便国内外学者检索中英文文献。致力于提供最便捷和优质的服务体验。 Copyright © 2023 布克学术 All rights reserved.
京ICP备2023020795号-1
ghs 京公网安备 11010802042870号
Book学术文献互助
Book学术文献互助群
群 号:604180095
Book学术官方微信