Predicting Candidacy for Unilateral Hypoglossal Nerve Stimulation Without Drug-Induced Sleep Endoscopy.

IF 1.8 Q2 OTORHINOLARYNGOLOGY
OTO Open Pub Date : 2025-03-20 eCollection Date: 2025-01-01 DOI:10.1002/oto2.70099
Samuel Tschopp, Urs Borner, Marco Caversaccio, Kurt Tschopp
{"title":"Predicting Candidacy for Unilateral Hypoglossal Nerve Stimulation Without Drug-Induced Sleep Endoscopy.","authors":"Samuel Tschopp, Urs Borner, Marco Caversaccio, Kurt Tschopp","doi":"10.1002/oto2.70099","DOIUrl":null,"url":null,"abstract":"<p><strong>Objective: </strong>Patients undergo a drug-induced sleep endoscopy before unilateral hypoglossal nerve stimulation. This study aims to reduce the need for preoperative drug-induced sleep endoscopy by predicting favorable collapse patterns at the velum based on clinical examination and sleep study data.</p><p><strong>Study design: </strong>A retrospective cohort study.</p><p><strong>Setting: </strong>A single-center trial.</p><p><strong>Methods: </strong>Drug-induced sleep endoscopy recordings were scored by a blinded rater, and the palatal collapse pattern was classified as favorable (no or anterior-posterior) or unfavorable (lateral or concentric), irrespective of collapse degree. Logistic regression models were constructed using clinical examination and sleep data to predict palatal collapse patterns. Model performance was assessed using receiver-operating characteristic curves and validated internally using bootstrapping and externally using a separate cohort.</p><p><strong>Results: </strong>Recordings of 250 patients were analyzed, of which 118 showed a favorable palatal collapse pattern. Lower body mass index (BMI), lower tonsil grade, and less intense bed-partner-reported snoring were significant predictors of favorable collapse patterns (area under the curve [AUC] 0.70). A further reduction in tonsil grade and BMI resulted in similar model performance (AUC 0.68). In patients with no tonsils and BMI < 28 kg/m<sup>2</sup> or tonsil grade 1 and BMI < 24 kg/m<sup>2</sup>, a favorable collapse was correctly predicted in 81%. In external validation, favorable collapse was correctly identified in 91%.</p><p><strong>Conclusion: </strong>Favorable palatal collapse can accurately be predicted in patients with small or absent tonsils and low BMI. Before unilateral hypoglossal nerve stimulation implantation, a drug-induced sleep endoscopy might not be necessary in this subset of patients.</p>","PeriodicalId":19697,"journal":{"name":"OTO Open","volume":"9 1","pages":"e70099"},"PeriodicalIF":1.8000,"publicationDate":"2025-03-20","publicationTypes":"Journal Article","fieldsOfStudy":null,"isOpenAccess":false,"openAccessPdf":"https://www.ncbi.nlm.nih.gov/pmc/articles/PMC11924808/pdf/","citationCount":"0","resultStr":null,"platform":"Semanticscholar","paperid":null,"PeriodicalName":"OTO Open","FirstCategoryId":"1085","ListUrlMain":"https://doi.org/10.1002/oto2.70099","RegionNum":0,"RegionCategory":null,"ArticlePicture":[],"TitleCN":null,"AbstractTextCN":null,"PMCID":null,"EPubDate":"2025/1/1 0:00:00","PubModel":"eCollection","JCR":"Q2","JCRName":"OTORHINOLARYNGOLOGY","Score":null,"Total":0}
引用次数: 0

Abstract

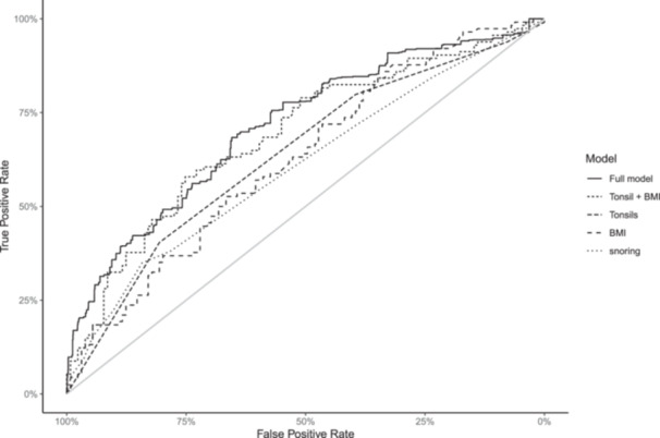
Objective: Patients undergo a drug-induced sleep endoscopy before unilateral hypoglossal nerve stimulation. This study aims to reduce the need for preoperative drug-induced sleep endoscopy by predicting favorable collapse patterns at the velum based on clinical examination and sleep study data.

Study design: A retrospective cohort study.

Setting: A single-center trial.

Methods: Drug-induced sleep endoscopy recordings were scored by a blinded rater, and the palatal collapse pattern was classified as favorable (no or anterior-posterior) or unfavorable (lateral or concentric), irrespective of collapse degree. Logistic regression models were constructed using clinical examination and sleep data to predict palatal collapse patterns. Model performance was assessed using receiver-operating characteristic curves and validated internally using bootstrapping and externally using a separate cohort.

Results: Recordings of 250 patients were analyzed, of which 118 showed a favorable palatal collapse pattern. Lower body mass index (BMI), lower tonsil grade, and less intense bed-partner-reported snoring were significant predictors of favorable collapse patterns (area under the curve [AUC] 0.70). A further reduction in tonsil grade and BMI resulted in similar model performance (AUC 0.68). In patients with no tonsils and BMI < 28 kg/m2 or tonsil grade 1 and BMI < 24 kg/m2, a favorable collapse was correctly predicted in 81%. In external validation, favorable collapse was correctly identified in 91%.

Conclusion: Favorable palatal collapse can accurately be predicted in patients with small or absent tonsils and low BMI. Before unilateral hypoglossal nerve stimulation implantation, a drug-induced sleep endoscopy might not be necessary in this subset of patients.

Abstract Image

Abstract Image

预测候选单侧舌下神经刺激没有药物引起的睡眠内窥镜。
目的:患者在单侧舌下神经刺激前接受药物诱导睡眠内窥镜检查。本研究旨在根据临床检查和睡眠研究数据,通过预测羊膜有利的塌陷模式,减少术前药物性睡眠内窥镜检查的需要。研究设计:回顾性队列研究。环境:单中心试验。方法:采用盲法评分法对药物诱导睡眠内镜记录进行评分,并将腭塌陷模式分为有利(无或前后)和不利(侧边或同心),而不考虑塌陷程度。使用临床检查和睡眠数据构建逻辑回归模型来预测腭塌陷模式。模型的性能使用接受者操作特征曲线进行评估,内部使用自举法进行验证,外部使用单独的队列进行验证。结果:分析了250例患者的记录,其中118例显示良好的腭塌陷模式。较低的身体质量指数(BMI)、较低的扁桃体分级和较弱的床伴报告的打鼾是有利的塌陷模式的显著预测因子(曲线下面积[AUC] 0.70)。扁桃体分级和BMI的进一步降低导致相似的模型性能(AUC 0.68)。在没有扁桃体且BMI为2或扁桃体1级且BMI为2的患者中,有81%的人正确预测了有利的塌陷。在外部验证中,91%的人正确识别出有利的塌陷。结论:低BMI、小扁桃体或无扁桃体患者可准确预测良好的腭塌陷。在单侧舌下神经刺激植入前,这部分患者可能不需要药物诱导的睡眠内窥镜检查。
本文章由计算机程序翻译,如有差异,请以英文原文为准。
求助全文
约1分钟内获得全文 求助全文
来源期刊
OTO Open
OTO Open Medicine-Surgery
CiteScore
2.70
自引率
0.00%
发文量
115
审稿时长
15 weeks
×
引用
GB/T 7714-2015
复制
MLA
复制
APA
复制
导出至
BibTeX EndNote RefMan NoteFirst NoteExpress
×
提示
您的信息不完整,为了账户安全,请先补充。
现在去补充
×
提示
您因"违规操作"
具体请查看互助需知
我知道了
×
提示
确定
请完成安全验证×
copy
已复制链接
快去分享给好友吧!
我知道了
右上角分享
点击右上角分享
0
联系我们:info@booksci.cn Book学术提供免费学术资源搜索服务,方便国内外学者检索中英文文献。致力于提供最便捷和优质的服务体验。 Copyright © 2023 布克学术 All rights reserved.
京ICP备2023020795号-1
ghs 京公网安备 11010802042870号
Book学术文献互助
Book学术文献互助群
群 号:604180095
Book学术官方微信