Facial growth in patients with unilateral cleft lip and palate at 19 years of age after three different one-stage palatal repairs: a longitudinal study with prediction from cephalograms at 5 years of age.

IF 2.7 3区 医学 Q1 DENTISTRY, ORAL SURGERY & MEDICINE
Petra Peterson, Konstantinos Parikakis, Agneta Karsten
{"title":"Facial growth in patients with unilateral cleft lip and palate at 19 years of age after three different one-stage palatal repairs: a longitudinal study with prediction from cephalograms at 5 years of age.","authors":"Petra Peterson, Konstantinos Parikakis, Agneta Karsten","doi":"10.1093/ejo/cjae066","DOIUrl":null,"url":null,"abstract":"<p><strong>Objectives: </strong>To compare cephalometric long-term outcomes in patients with unilateral cleft lip and palate (UCLP) and treated with three different surgical protocols for palatal repair. Furthermore, to investigate growth longitudinally and evaluate the possibility to predict the outcome at age 19 from cephalometric values at 5 years.</p><p><strong>Materials/methods: </strong>Lateral cephalograms of 68 patients, operated according to the Veau-Wardill-Kilner technique (n = 13), the minimal incision technique (n = 39), or MIT with muscle reconstruction (MITmr) (n = 16) were assessed. At a mean age of 19.0 (SD 0.7) years, 17 skeletal and 6 soft tissue variables were analysed using analysis of variance (ANOVA) with pairwise comparison. Lateral cephalograms at a mean age of 5.1 (SD 0.4) years, from 32 of the 68 patients were used to predict values at 19 years, using a multiple linear regression.</p><p><strong>Results: </strong>There were statistically significant differences between the three surgical techniques for eight of the skeletal variables and for two of the soft-tissue variables at 19 years. The angle between the sella/nasion plane and the nasion/A plane (SNA) was 74.5 (SD 3.8) after Veau-Wardill-Kilner (VWK), 77.6 (SD 5.3) after minimal incision technique (MIT), and 76.7 (SD 2.6) after MITmr. Adjusted for baseline values, at 5 years, only face height had a significant effect dependent on surgical technique.</p><p><strong>Limitations: </strong>Due to the exclusion criteria or missing medical records, only 43% of 157 consecutive patients could be included in the study.</p><p><strong>Conclusion: </strong>MIT and MITmr resulted in better cephalometric results regarding facial growth sagittally and vertically compared to VWK. Most of the cephalometric variables measured showed a strong positive relation between the value at 5 and the value at 19 years of age.</p>","PeriodicalId":11989,"journal":{"name":"European journal of orthodontics","volume":"47 2","pages":""},"PeriodicalIF":2.7000,"publicationDate":"2025-02-07","publicationTypes":"Journal Article","fieldsOfStudy":null,"isOpenAccess":false,"openAccessPdf":"https://www.ncbi.nlm.nih.gov/pmc/articles/PMC11920790/pdf/","citationCount":"0","resultStr":null,"platform":"Semanticscholar","paperid":null,"PeriodicalName":"European journal of orthodontics","FirstCategoryId":"3","ListUrlMain":"https://doi.org/10.1093/ejo/cjae066","RegionNum":3,"RegionCategory":"医学","ArticlePicture":[],"TitleCN":null,"AbstractTextCN":null,"PMCID":null,"EPubDate":"","PubModel":"","JCR":"Q1","JCRName":"DENTISTRY, ORAL SURGERY & MEDICINE","Score":null,"Total":0}
引用次数: 0

Abstract

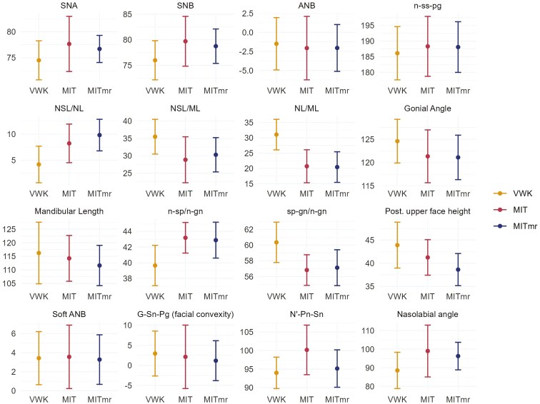
Objectives: To compare cephalometric long-term outcomes in patients with unilateral cleft lip and palate (UCLP) and treated with three different surgical protocols for palatal repair. Furthermore, to investigate growth longitudinally and evaluate the possibility to predict the outcome at age 19 from cephalometric values at 5 years.

Materials/methods: Lateral cephalograms of 68 patients, operated according to the Veau-Wardill-Kilner technique (n = 13), the minimal incision technique (n = 39), or MIT with muscle reconstruction (MITmr) (n = 16) were assessed. At a mean age of 19.0 (SD 0.7) years, 17 skeletal and 6 soft tissue variables were analysed using analysis of variance (ANOVA) with pairwise comparison. Lateral cephalograms at a mean age of 5.1 (SD 0.4) years, from 32 of the 68 patients were used to predict values at 19 years, using a multiple linear regression.

Results: There were statistically significant differences between the three surgical techniques for eight of the skeletal variables and for two of the soft-tissue variables at 19 years. The angle between the sella/nasion plane and the nasion/A plane (SNA) was 74.5 (SD 3.8) after Veau-Wardill-Kilner (VWK), 77.6 (SD 5.3) after minimal incision technique (MIT), and 76.7 (SD 2.6) after MITmr. Adjusted for baseline values, at 5 years, only face height had a significant effect dependent on surgical technique.

Limitations: Due to the exclusion criteria or missing medical records, only 43% of 157 consecutive patients could be included in the study.

Conclusion: MIT and MITmr resulted in better cephalometric results regarding facial growth sagittally and vertically compared to VWK. Most of the cephalometric variables measured showed a strong positive relation between the value at 5 and the value at 19 years of age.

Abstract Image

Abstract Image

Abstract Image

19岁单侧唇腭裂患者在三种不同的一期腭裂修复后的面部生长:一项纵向研究和5岁时的头颅摄影预测。
目的:比较三种不同手术方案的单侧唇腭裂(UCLP)患者的颅面测量长期疗效。此外,研究纵向生长情况,并评估从5岁时的头颅测量值预测19岁时预后的可能性。材料/方法:对68例采用Veau-Wardill-Kilner技术(n = 13)、最小切口技术(n = 39)或MIT联合肌肉重建(MITmr) (n = 16)手术的患者进行侧位脑电图评估。平均年龄19.0 (SD 0.7)岁,采用两两比较方差分析(ANOVA)对17个骨骼变量和6个软组织变量进行分析。68例患者中,32例患者平均年龄为5.1岁(SD 0.4)时的侧位脑电图使用多元线性回归预测19岁时的值。结果:在19岁时,三种手术技术在8个骨骼变量和2个软组织变量上有统计学显著差异。Veau-Wardill-Kilner (VWK)术后鞍位/鼻位面与鼻位/A位面夹角为74.5 (SD 3.8),最小切口技术(MIT)术后77.6 (SD 5.3), MITmr术后76.7 (SD 2.6)。在5年的基线值调整后,只有面部高度对手术技术有显著影响。局限性:由于排除标准或缺少医疗记录,157例连续患者中只有43%被纳入研究。结论:与VWK相比,MIT和MITmr在矢状面和垂直面生长方面的头侧测量结果更好。大多数测量的头颅测量变量显示5岁时的值与19岁时的值呈正相关。
本文章由计算机程序翻译,如有差异,请以英文原文为准。
求助全文
约1分钟内获得全文 求助全文
来源期刊
European journal of orthodontics
European journal of orthodontics 医学-牙科与口腔外科
CiteScore
5.50
自引率
7.70%
发文量
71
审稿时长
4-8 weeks
期刊介绍: The European Journal of Orthodontics publishes papers of excellence on all aspects of orthodontics including craniofacial development and growth. The emphasis of the journal is on full research papers. Succinct and carefully prepared papers are favoured in terms of impact as well as readability.
×
引用
GB/T 7714-2015
复制
MLA
复制
APA
复制
导出至
BibTeX EndNote RefMan NoteFirst NoteExpress
×
提示
您的信息不完整,为了账户安全,请先补充。
现在去补充
×
提示
您因"违规操作"
具体请查看互助需知
我知道了
×
提示
确定
请完成安全验证×
copy
已复制链接
快去分享给好友吧!
我知道了
右上角分享
点击右上角分享
0
联系我们:info@booksci.cn Book学术提供免费学术资源搜索服务,方便国内外学者检索中英文文献。致力于提供最便捷和优质的服务体验。 Copyright © 2023 布克学术 All rights reserved.
京ICP备2023020795号-1
ghs 京公网安备 11010802042870号
Book学术文献互助
Book学术文献互助群
群 号:604180095
Book学术官方微信