Atherogenic index of plasma identifies subjects with severe liver steatosis.

IF 3.9 2区 综合性期刊 Q1 MULTIDISCIPLINARY SCIENCES
Carlo De Matteis, Fabio Novielli, Ersilia Di Buduo, Maria Arconzo, Raffaella Maria Gadaleta, Marica Cariello, Antonio Moschetta, Lucilla Crudele
{"title":"Atherogenic index of plasma identifies subjects with severe liver steatosis.","authors":"Carlo De Matteis, Fabio Novielli, Ersilia Di Buduo, Maria Arconzo, Raffaella Maria Gadaleta, Marica Cariello, Antonio Moschetta, Lucilla Crudele","doi":"10.1038/s41598-025-93141-y","DOIUrl":null,"url":null,"abstract":"<p><p>The Atherogenic Index of Plasma (AIP), calculated by log (Triglycerides/HDL-C), has been proposed as a marker of atherogenic and cardiovascular risk. Atherosclerosis and Metabolic Dysfunction-Associated Steatotic Liver Disease (MASLD) share some pathogenic features and may be considered clinical manifestations of Metabolic Syndrome. In this study, we aimed to investigate the role of increased AIP as a putative metabolic biomarker for MASLD. 1,496 individuals (49% males and 51% females) underwent clinical examination for Metabolic Syndrome at Internal Medicine Division \"C. Frugoni\" of University Hospital of Bari, Italy in the period between January 2016 and April 2024. Clinical history was recorded, and physical examination, anthropometric measures, biochemical assessment, and abdomen ultrasound were performed. In the overall population, AIP significantly correlated with fasting glycemia (FPG, r = 0.26, p < 0.0001), HbA1c (r = 0.20, p < 0.0001), LDL (r = 0.11, p < 0.0001) and total cholesterol (r = 0.09; p < 0.0001), and anthropometric measures of obesity BMI (r = 0.37, p < 0.0001) and Waist Circumference (r = 0.44; p < 0.001). We then investigated AIP values in patients with and without dysmetabolic conditions, finding that AIP significantly increased as steatosis worsened (p < 0.001). ROC curves identified an optimal cut-off of 0.31 for accurately diagnosing severe steatosis and AIP values above this cut-off discriminated patients with significantly increased (p < 0.0001) fasting glycemia, LDL, and waist circumference, and were strongly associated (p < 0.0001) with MASLD (LLR 85.3), type 2 diabetes (LLR 85.5), abdominal obesity (LLR 72.9), overweight (LLR 151.8), and systemic obesity (LLR 178.4). The risk for being diagnosed with such conditions was found to be even higher in the subpopulation of patients with severe liver steatosis. To validate our findings, we considered another cohort of patients with and without biopsy-proven liver steatosis (public dataset GSE89632), confirming that a significant increase (p < 0.001) in AIP values could be found in patients with liver steatosis compared to healthy controls. AIP can be considered a specific biomarker of fatty liver disease with high sensitivity for the diagnosis of the severe form of liver steatosis. Considering AIP in the evaluation of patients with liver steatosis may augment the accuracy for diagnosing metabolic impairment and MASLD.</p>","PeriodicalId":21811,"journal":{"name":"Scientific Reports","volume":"15 1","pages":"9136"},"PeriodicalIF":3.9000,"publicationDate":"2025-03-17","publicationTypes":"Journal Article","fieldsOfStudy":null,"isOpenAccess":false,"openAccessPdf":"https://www.ncbi.nlm.nih.gov/pmc/articles/PMC11914574/pdf/","citationCount":"0","resultStr":null,"platform":"Semanticscholar","paperid":null,"PeriodicalName":"Scientific Reports","FirstCategoryId":"103","ListUrlMain":"https://doi.org/10.1038/s41598-025-93141-y","RegionNum":2,"RegionCategory":"综合性期刊","ArticlePicture":[],"TitleCN":null,"AbstractTextCN":null,"PMCID":null,"EPubDate":"","PubModel":"","JCR":"Q1","JCRName":"MULTIDISCIPLINARY SCIENCES","Score":null,"Total":0}
引用次数: 0

Abstract

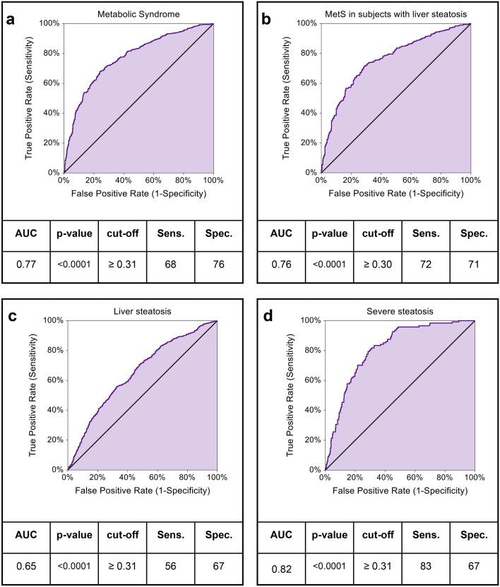
The Atherogenic Index of Plasma (AIP), calculated by log (Triglycerides/HDL-C), has been proposed as a marker of atherogenic and cardiovascular risk. Atherosclerosis and Metabolic Dysfunction-Associated Steatotic Liver Disease (MASLD) share some pathogenic features and may be considered clinical manifestations of Metabolic Syndrome. In this study, we aimed to investigate the role of increased AIP as a putative metabolic biomarker for MASLD. 1,496 individuals (49% males and 51% females) underwent clinical examination for Metabolic Syndrome at Internal Medicine Division "C. Frugoni" of University Hospital of Bari, Italy in the period between January 2016 and April 2024. Clinical history was recorded, and physical examination, anthropometric measures, biochemical assessment, and abdomen ultrasound were performed. In the overall population, AIP significantly correlated with fasting glycemia (FPG, r = 0.26, p < 0.0001), HbA1c (r = 0.20, p < 0.0001), LDL (r = 0.11, p < 0.0001) and total cholesterol (r = 0.09; p < 0.0001), and anthropometric measures of obesity BMI (r = 0.37, p < 0.0001) and Waist Circumference (r = 0.44; p < 0.001). We then investigated AIP values in patients with and without dysmetabolic conditions, finding that AIP significantly increased as steatosis worsened (p < 0.001). ROC curves identified an optimal cut-off of 0.31 for accurately diagnosing severe steatosis and AIP values above this cut-off discriminated patients with significantly increased (p < 0.0001) fasting glycemia, LDL, and waist circumference, and were strongly associated (p < 0.0001) with MASLD (LLR 85.3), type 2 diabetes (LLR 85.5), abdominal obesity (LLR 72.9), overweight (LLR 151.8), and systemic obesity (LLR 178.4). The risk for being diagnosed with such conditions was found to be even higher in the subpopulation of patients with severe liver steatosis. To validate our findings, we considered another cohort of patients with and without biopsy-proven liver steatosis (public dataset GSE89632), confirming that a significant increase (p < 0.001) in AIP values could be found in patients with liver steatosis compared to healthy controls. AIP can be considered a specific biomarker of fatty liver disease with high sensitivity for the diagnosis of the severe form of liver steatosis. Considering AIP in the evaluation of patients with liver steatosis may augment the accuracy for diagnosing metabolic impairment and MASLD.

Abstract Image

Abstract Image

Abstract Image

血浆致动脉粥样硬化指数可识别严重肝脏脂肪变性的受试者。
血浆动脉粥样硬化指数(AIP),由log(甘油三酯/HDL-C)计算,已被提出作为动脉粥样硬化和心血管风险的标志。动脉粥样硬化和代谢功能障碍相关脂肪变性肝病(MASLD)有一些共同的致病特征,可能被认为是代谢综合征的临床表现。在这项研究中,我们旨在研究AIP升高作为MASLD的推定代谢生物标志物的作用。2016年1月至2024年4月期间,1,496人(49%男性,51%女性)在意大利巴里大学医院内科“C. Frugoni”接受了代谢综合征的临床检查。记录临床病史,进行体格检查、人体测量、生化评估、腹部超声检查。在总体人群中,AIP与空腹血糖显著相关(FPG, r = 0.26, p
本文章由计算机程序翻译,如有差异,请以英文原文为准。
求助全文
约1分钟内获得全文 求助全文
来源期刊
Scientific Reports
Scientific Reports Natural Science Disciplines-
CiteScore
7.50
自引率
4.30%
发文量
19567
审稿时长
3.9 months
期刊介绍: We publish original research from all areas of the natural sciences, psychology, medicine and engineering. You can learn more about what we publish by browsing our specific scientific subject areas below or explore Scientific Reports by browsing all articles and collections. Scientific Reports has a 2-year impact factor: 4.380 (2021), and is the 6th most-cited journal in the world, with more than 540,000 citations in 2020 (Clarivate Analytics, 2021). •Engineering Engineering covers all aspects of engineering, technology, and applied science. It plays a crucial role in the development of technologies to address some of the world''s biggest challenges, helping to save lives and improve the way we live. •Physical sciences Physical sciences are those academic disciplines that aim to uncover the underlying laws of nature — often written in the language of mathematics. It is a collective term for areas of study including astronomy, chemistry, materials science and physics. •Earth and environmental sciences Earth and environmental sciences cover all aspects of Earth and planetary science and broadly encompass solid Earth processes, surface and atmospheric dynamics, Earth system history, climate and climate change, marine and freshwater systems, and ecology. It also considers the interactions between humans and these systems. •Biological sciences Biological sciences encompass all the divisions of natural sciences examining various aspects of vital processes. The concept includes anatomy, physiology, cell biology, biochemistry and biophysics, and covers all organisms from microorganisms, animals to plants. •Health sciences The health sciences study health, disease and healthcare. This field of study aims to develop knowledge, interventions and technology for use in healthcare to improve the treatment of patients.
×
引用
GB/T 7714-2015
复制
MLA
复制
APA
复制
导出至
BibTeX EndNote RefMan NoteFirst NoteExpress
×
提示
您的信息不完整,为了账户安全,请先补充。
现在去补充
×
提示
您因"违规操作"
具体请查看互助需知
我知道了
×
提示
确定
请完成安全验证×
copy
已复制链接
快去分享给好友吧!
我知道了
右上角分享
点击右上角分享
0
联系我们:info@booksci.cn Book学术提供免费学术资源搜索服务,方便国内外学者检索中英文文献。致力于提供最便捷和优质的服务体验。 Copyright © 2023 布克学术 All rights reserved.
京ICP备2023020795号-1
ghs 京公网安备 11010802042870号
Book学术文献互助
Book学术文献互助群
群 号:604180095
Book学术官方微信