Enhancing Yeast Transformation: Achieving up to a Tenfold Increase Through a Single Adjustment in the Lithium Acetate-Polyethylene Glycol Method.

IF 2.6 4区 生物学 Q4 BIOCHEMISTRY & MOLECULAR BIOLOGY
Yeast Pub Date : 2025-06-01 Epub Date: 2025-03-15 DOI:10.1002/yea.3999
Mathilde Kadouch, Pierre Gaspin, Christelle Marchal, Sabine Castano, Christophe Cullin
{"title":"Enhancing Yeast Transformation: Achieving up to a Tenfold Increase Through a Single Adjustment in the Lithium Acetate-Polyethylene Glycol Method.","authors":"Mathilde Kadouch, Pierre Gaspin, Christelle Marchal, Sabine Castano, Christophe Cullin","doi":"10.1002/yea.3999","DOIUrl":null,"url":null,"abstract":"<p><p>The Lithium-PEG method for transforming yeast cells is a standard procedure used in most yeast laboratories. After several optimizations, this method can yield up to 10<sup>6</sup> transformants per µg of plasmid. Some applications, such as library screening or complex transformations, necessitate maximizing transformation yield. Here, we demonstrate that the addition of a sorbitol solution serves as an osmo-protectant during and after heat shock, resulting in up to a tenfold increase in transformation efficiency. This optimization requires only one additional pipetting step compared to the original protocol, making it practical for routine use.</p>","PeriodicalId":23870,"journal":{"name":"Yeast","volume":" ","pages":"109-115"},"PeriodicalIF":2.6000,"publicationDate":"2025-06-01","publicationTypes":"Journal Article","fieldsOfStudy":null,"isOpenAccess":false,"openAccessPdf":"https://www.ncbi.nlm.nih.gov/pmc/articles/PMC12232512/pdf/","citationCount":"0","resultStr":null,"platform":"Semanticscholar","paperid":null,"PeriodicalName":"Yeast","FirstCategoryId":"99","ListUrlMain":"https://doi.org/10.1002/yea.3999","RegionNum":4,"RegionCategory":"生物学","ArticlePicture":[],"TitleCN":null,"AbstractTextCN":null,"PMCID":null,"EPubDate":"2025/3/15 0:00:00","PubModel":"Epub","JCR":"Q4","JCRName":"BIOCHEMISTRY & MOLECULAR BIOLOGY","Score":null,"Total":0}
引用次数: 0

Abstract

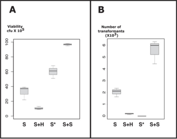
The Lithium-PEG method for transforming yeast cells is a standard procedure used in most yeast laboratories. After several optimizations, this method can yield up to 106 transformants per µg of plasmid. Some applications, such as library screening or complex transformations, necessitate maximizing transformation yield. Here, we demonstrate that the addition of a sorbitol solution serves as an osmo-protectant during and after heat shock, resulting in up to a tenfold increase in transformation efficiency. This optimization requires only one additional pipetting step compared to the original protocol, making it practical for routine use.

Abstract Image

Abstract Image

Abstract Image

增强酵母菌转化:通过在醋酸锂-聚乙二醇方法中的一次调整实现高达十倍的增加。
锂- peg转化酵母细胞的方法是大多数酵母实验室使用的标准程序。经过多次优化,该方法每µg质粒可产生多达106个转化子。一些应用程序,如库筛选或复杂的转换,需要最大化转换产量。在这里,我们证明添加山梨糖醇溶液在热冲击期间和之后作为渗透保护剂,导致转化效率提高10倍。与原始方案相比,这种优化只需要一个额外的移液步骤,使其适合日常使用。
本文章由计算机程序翻译,如有差异,请以英文原文为准。
求助全文
约1分钟内获得全文 求助全文
来源期刊
Yeast
Yeast 生物-生化与分子生物学
CiteScore
5.30
自引率
3.80%
发文量
55
审稿时长
3 months
期刊介绍: Yeast publishes original articles and reviews on the most significant developments of research with unicellular fungi, including innovative methods of broad applicability. It is essential reading for those wishing to keep up to date with this rapidly moving field of yeast biology. Topics covered include: biochemistry and molecular biology; biodiversity and taxonomy; biotechnology; cell and developmental biology; ecology and evolution; genetics and genomics; metabolism and physiology; pathobiology; synthetic and systems biology; tools and resources
×
引用
GB/T 7714-2015
复制
MLA
复制
APA
复制
导出至
BibTeX EndNote RefMan NoteFirst NoteExpress
×
提示
您的信息不完整,为了账户安全,请先补充。
现在去补充
×
提示
您因"违规操作"
具体请查看互助需知
我知道了
×
提示
确定
请完成安全验证×
copy
已复制链接
快去分享给好友吧!
我知道了
右上角分享
点击右上角分享
0
联系我们:info@booksci.cn Book学术提供免费学术资源搜索服务,方便国内外学者检索中英文文献。致力于提供最便捷和优质的服务体验。 Copyright © 2023 布克学术 All rights reserved.
京ICP备2023020795号-1
ghs 京公网安备 11010802042870号
Book学术文献互助
Book学术文献互助群
群 号:604180095
Book学术官方微信