Systemic Immune-Inflammatory Index as a Prognostic Biomarker in Patients with Heart Failure: A Comprehensive Analysis.

IF 2 4区 医学 Q2 HEMATOLOGY
Aihaidan Abudouwayiti, Yanxiao Li, Tumaresi Tuerxun, Muyashaer Abudurexiti, Dongqin Duan, Ying-Ying Zheng, Ailiman Mahemuti
{"title":"Systemic Immune-Inflammatory Index as a Prognostic Biomarker in Patients with Heart Failure: A Comprehensive Analysis.","authors":"Aihaidan Abudouwayiti, Yanxiao Li, Tumaresi Tuerxun, Muyashaer Abudurexiti, Dongqin Duan, Ying-Ying Zheng, Ailiman Mahemuti","doi":"10.1177/10760296251328361","DOIUrl":null,"url":null,"abstract":"<p><p>ObjectiveThis study aimed to assess the prognostic significance of the Systemic Immune-Inflammatory Index (SII) in chronic heart failure (CHF) patients and evaluate its potential as a predictive biomarker.MethodsA retrospective analysis was conducted on 2748 CHF patients from the First Affiliated Hospital of Xinjiang Medical University from 2012 to 2022. The primary outcome was all-cause mortality (ACM), with readmission rates as secondary endpoints. An optimal SII cutoff value of 916.68 was determined for predicting ACM.ResultsElevated SII levels were significantly correlated with an increased risk of ACM in CHF patients across all left ventricular ejection fraction (LVEF) categories. The high SII group had a 43.8% increased risk of ACM compared to the low SII group.ConclusionSII is a significant prognostic biomarker in CHF, independent of traditional risk factors, highlighting its importance in risk stratification and clinical decision-making, and necessitating further investigation in prospective studies.</p>","PeriodicalId":10335,"journal":{"name":"Clinical and Applied Thrombosis/Hemostasis","volume":"31 ","pages":"10760296251328361"},"PeriodicalIF":2.0000,"publicationDate":"2025-01-01","publicationTypes":"Journal Article","fieldsOfStudy":null,"isOpenAccess":false,"openAccessPdf":"https://www.ncbi.nlm.nih.gov/pmc/articles/PMC11907554/pdf/","citationCount":"0","resultStr":null,"platform":"Semanticscholar","paperid":null,"PeriodicalName":"Clinical and Applied Thrombosis/Hemostasis","FirstCategoryId":"3","ListUrlMain":"https://doi.org/10.1177/10760296251328361","RegionNum":4,"RegionCategory":"医学","ArticlePicture":[],"TitleCN":null,"AbstractTextCN":null,"PMCID":null,"EPubDate":"2025/3/13 0:00:00","PubModel":"Epub","JCR":"Q2","JCRName":"HEMATOLOGY","Score":null,"Total":0}
引用次数: 0

Abstract

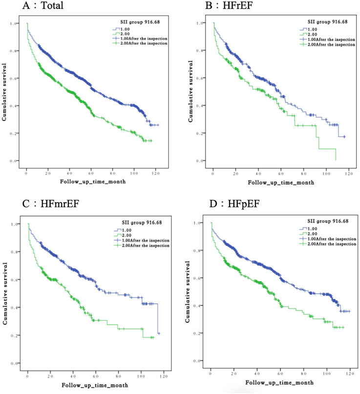
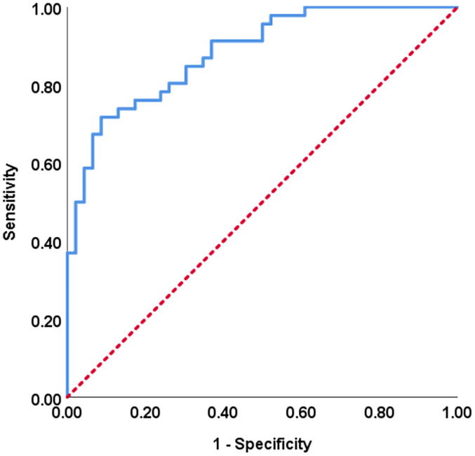
ObjectiveThis study aimed to assess the prognostic significance of the Systemic Immune-Inflammatory Index (SII) in chronic heart failure (CHF) patients and evaluate its potential as a predictive biomarker.MethodsA retrospective analysis was conducted on 2748 CHF patients from the First Affiliated Hospital of Xinjiang Medical University from 2012 to 2022. The primary outcome was all-cause mortality (ACM), with readmission rates as secondary endpoints. An optimal SII cutoff value of 916.68 was determined for predicting ACM.ResultsElevated SII levels were significantly correlated with an increased risk of ACM in CHF patients across all left ventricular ejection fraction (LVEF) categories. The high SII group had a 43.8% increased risk of ACM compared to the low SII group.ConclusionSII is a significant prognostic biomarker in CHF, independent of traditional risk factors, highlighting its importance in risk stratification and clinical decision-making, and necessitating further investigation in prospective studies.

Abstract Image

Abstract Image

Abstract Image

作为心力衰竭患者预后生物标志物的全身免疫炎症指数:综合分析
目的 本研究旨在评估慢性心力衰竭(CHF)患者全身免疫炎症指数(SII)的预后意义,并评估其作为预测性生物标记物的潜力。方法 对新疆医科大学第一附属医院2012年至2022年的2748例CHF患者进行回顾性分析。主要结果为全因死亡率(ACM),再入院率为次要终点。结果在所有左心室射血分数(LVEF)类别中,SII水平升高与CHF患者ACM风险增加显著相关。结论SII是独立于传统风险因素的一种重要的CHF预后生物标志物,突显了其在风险分层和临床决策中的重要性,有必要在前瞻性研究中进一步探讨。
本文章由计算机程序翻译,如有差异,请以英文原文为准。
求助全文
约1分钟内获得全文 求助全文
来源期刊
CiteScore
4.40
自引率
3.40%
发文量
150
审稿时长
2 months
期刊介绍: CATH is a peer-reviewed bi-monthly journal that addresses the practical clinical and laboratory issues involved in managing bleeding and clotting disorders, especially those related to thrombosis, hemostasis, and vascular disorders. CATH covers clinical trials, studies on etiology, pathophysiology, diagnosis and treatment of thrombohemorrhagic disorders.
×
引用
GB/T 7714-2015
复制
MLA
复制
APA
复制
导出至
BibTeX EndNote RefMan NoteFirst NoteExpress
×
提示
您的信息不完整,为了账户安全,请先补充。
现在去补充
×
提示
您因"违规操作"
具体请查看互助需知
我知道了
×
提示
确定
请完成安全验证×
copy
已复制链接
快去分享给好友吧!
我知道了
右上角分享
点击右上角分享
0
联系我们:info@booksci.cn Book学术提供免费学术资源搜索服务,方便国内外学者检索中英文文献。致力于提供最便捷和优质的服务体验。 Copyright © 2023 布克学术 All rights reserved.
京ICP备2023020795号-1
ghs 京公网安备 11010802042870号
Book学术文献互助
Book学术文献互助群
群 号:604180095
Book学术官方微信