Robust vs. Non-robust radiomic features: the quest for optimal machine learning models using phantom and clinical studies.

IF 3.5 2区 医学 Q2 ONCOLOGY
Seyyed Ali Hosseini, Ghasem Hajianfar, Brandon Hall, Stijn Servaes, Pedro Rosa-Neto, Pardis Ghafarian, Habib Zaidi, Mohammad Reza Ay
{"title":"Robust vs. Non-robust radiomic features: the quest for optimal machine learning models using phantom and clinical studies.","authors":"Seyyed Ali Hosseini, Ghasem Hajianfar, Brandon Hall, Stijn Servaes, Pedro Rosa-Neto, Pardis Ghafarian, Habib Zaidi, Mohammad Reza Ay","doi":"10.1186/s40644-025-00857-1","DOIUrl":null,"url":null,"abstract":"<p><strong>Purpose: </strong>This study aimed to select robust features against lung motion in a phantom study and use them as input to feature selection algorithms and machine learning classifiers in a clinical study to predict the lymphovascular invasion (LVI) of non-small cell lung cancer (NSCLC). The results of robust features were also compared with conventional techniques without considering the robustness of radiomic features.</p><p><strong>Methods: </strong>An in-house developed lung phantom was developed with two 22mm lesion sizes based on a clinical study. A specific motor was built to simulate motion in two orthogonal directions. Lesions of both clinical and phantom studies were segmented using a Fuzzy C-means-based segmentation algorithm. After inducing motion and extracting 105 radiomic features in 4 feature sets, including shape, first-, second-, and higher-order statistics features from each region of interest (ROI) of the phantom image, statistical analyses were performed to select robust features against motion. Subsequently, these robust features and a total of 105 radiomic features were extracted from 126 clinical data. Various feature selection (FS) and multiple machine learning (ML) classifiers were implemented to predict the LVI of NSCLC, followed by comparing the results of predicting LVI using robust features with common conventional techniques not considering the robustness of radiomic features.</p><p><strong>Results: </strong>Our results demonstrated that selecting robust features as input to FS algorithms and ML classifiers surges the sensitivity, which has a gentle negative effect on the accuracy and the area under the curve (AUC) of predictions compared with commonly used methods in 12 of 15 outcomes. The top performance of the LVI prediction was achieved by the NB classifier and RFE FS without considering the robustness of radiomic features with 95% area under the curve of AUC, 67% accuracy, and 100% sensitivity. Moreover, the top performance of the LVI prediction using robust features belonged to the NB classifier and Boruta feature selection with 92% AUC, 86% accuracy, and 100% sensitivity.</p><p><strong>Conclusion: </strong>Robustness over various influential factors is critical and should be considered in a radiomic study. Selecting robust features is a solution to overcome the low reproducibility of radiomic features. Although setting robust features against motion in a phantom study has a minor negative impact on the accuracy and AUC of LVI prediction, it boosts the sensitivity of prediction to a large extent.</p>","PeriodicalId":9548,"journal":{"name":"Cancer Imaging","volume":"25 1","pages":"33"},"PeriodicalIF":3.5000,"publicationDate":"2025-03-12","publicationTypes":"Journal Article","fieldsOfStudy":null,"isOpenAccess":false,"openAccessPdf":"https://www.ncbi.nlm.nih.gov/pmc/articles/PMC11905451/pdf/","citationCount":"0","resultStr":null,"platform":"Semanticscholar","paperid":null,"PeriodicalName":"Cancer Imaging","FirstCategoryId":"3","ListUrlMain":"https://doi.org/10.1186/s40644-025-00857-1","RegionNum":2,"RegionCategory":"医学","ArticlePicture":[],"TitleCN":null,"AbstractTextCN":null,"PMCID":null,"EPubDate":"","PubModel":"","JCR":"Q2","JCRName":"ONCOLOGY","Score":null,"Total":0}
引用次数: 0

Abstract

Purpose: This study aimed to select robust features against lung motion in a phantom study and use them as input to feature selection algorithms and machine learning classifiers in a clinical study to predict the lymphovascular invasion (LVI) of non-small cell lung cancer (NSCLC). The results of robust features were also compared with conventional techniques without considering the robustness of radiomic features.

Methods: An in-house developed lung phantom was developed with two 22mm lesion sizes based on a clinical study. A specific motor was built to simulate motion in two orthogonal directions. Lesions of both clinical and phantom studies were segmented using a Fuzzy C-means-based segmentation algorithm. After inducing motion and extracting 105 radiomic features in 4 feature sets, including shape, first-, second-, and higher-order statistics features from each region of interest (ROI) of the phantom image, statistical analyses were performed to select robust features against motion. Subsequently, these robust features and a total of 105 radiomic features were extracted from 126 clinical data. Various feature selection (FS) and multiple machine learning (ML) classifiers were implemented to predict the LVI of NSCLC, followed by comparing the results of predicting LVI using robust features with common conventional techniques not considering the robustness of radiomic features.

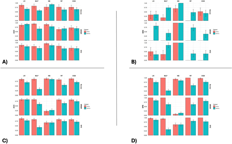
Results: Our results demonstrated that selecting robust features as input to FS algorithms and ML classifiers surges the sensitivity, which has a gentle negative effect on the accuracy and the area under the curve (AUC) of predictions compared with commonly used methods in 12 of 15 outcomes. The top performance of the LVI prediction was achieved by the NB classifier and RFE FS without considering the robustness of radiomic features with 95% area under the curve of AUC, 67% accuracy, and 100% sensitivity. Moreover, the top performance of the LVI prediction using robust features belonged to the NB classifier and Boruta feature selection with 92% AUC, 86% accuracy, and 100% sensitivity.

Conclusion: Robustness over various influential factors is critical and should be considered in a radiomic study. Selecting robust features is a solution to overcome the low reproducibility of radiomic features. Although setting robust features against motion in a phantom study has a minor negative impact on the accuracy and AUC of LVI prediction, it boosts the sensitivity of prediction to a large extent.

Abstract Image

Abstract Image

Abstract Image

鲁棒与非鲁棒放射学特征:使用幻影和临床研究寻求最佳机器学习模型。
目的:本研究旨在在模拟研究中选择抗肺运动的鲁棒特征,并将其作为临床研究中特征选择算法和机器学习分类器的输入,以预测非小细胞肺癌(NSCLC)的淋巴血管侵袭(LVI)。在不考虑放射学特征鲁棒性的情况下,将鲁棒性特征的结果与传统方法进行了比较。方法:在临床研究的基础上,研制了两种22mm大小的肺假体。建立了一个特定的电机来模拟两个正交方向的运动。临床和幻影研究的病变都使用基于模糊c均值的分割算法进行分割。在诱导运动并从每个感兴趣区域(ROI)提取4个特征集中的105个放射学特征(包括形状、一阶、二阶和高阶统计特征)后,进行统计分析以选择针对运动的鲁棒特征。随后,从126个临床数据中提取这些稳健特征和总共105个放射学特征。采用各种特征选择(FS)和多机器学习(ML)分类器来预测NSCLC的LVI,然后将使用鲁棒特征预测LVI的结果与不考虑放射学特征鲁棒性的常见常规技术进行比较。结果:我们的研究结果表明,选择鲁棒特征作为FS算法和ML分类器的输入可以提高灵敏度,与常用方法相比,在15个结果中的12个结果中,这对预测的准确性和曲线下面积(AUC)有轻微的负面影响。在不考虑放射学特征鲁棒性的情况下,NB分类器和RFE FS实现了LVI预测的最佳性能,AUC曲线下面积为95%,准确率为67%,灵敏度为100%。此外,使用鲁棒特征进行LVI预测的最佳表现属于NB分类器和Boruta特征选择,AUC为92%,准确率为86%,灵敏度为100%。结论:对各种影响因素的稳健性至关重要,在放射学研究中应予以考虑。选择鲁棒特征是克服放射性特征重现性低的一种解决方案。虽然在幻体研究中设置抗运动鲁棒特征对LVI预测的准确性和AUC的负面影响较小,但在很大程度上提高了预测的灵敏度。
本文章由计算机程序翻译,如有差异,请以英文原文为准。
求助全文
约1分钟内获得全文 求助全文
来源期刊
Cancer Imaging
Cancer Imaging ONCOLOGY-RADIOLOGY, NUCLEAR MEDICINE & MEDICAL IMAGING
CiteScore
7.00
自引率
0.00%
发文量
66
审稿时长
>12 weeks
期刊介绍: Cancer Imaging is an open access, peer-reviewed journal publishing original articles, reviews and editorials written by expert international radiologists working in oncology. The journal encompasses CT, MR, PET, ultrasound, radionuclide and multimodal imaging in all kinds of malignant tumours, plus new developments, techniques and innovations. Topics of interest include: Breast Imaging Chest Complications of treatment Ear, Nose & Throat Gastrointestinal Hepatobiliary & Pancreatic Imaging biomarkers Interventional Lymphoma Measurement of tumour response Molecular functional imaging Musculoskeletal Neuro oncology Nuclear Medicine Paediatric.
×
引用
GB/T 7714-2015
复制
MLA
复制
APA
复制
导出至
BibTeX EndNote RefMan NoteFirst NoteExpress
×
提示
您的信息不完整,为了账户安全,请先补充。
现在去补充
×
提示
您因"违规操作"
具体请查看互助需知
我知道了
×
提示
确定
请完成安全验证×
copy
已复制链接
快去分享给好友吧!
我知道了
右上角分享
点击右上角分享
0
联系我们:info@booksci.cn Book学术提供免费学术资源搜索服务,方便国内外学者检索中英文文献。致力于提供最便捷和优质的服务体验。 Copyright © 2023 布克学术 All rights reserved.
京ICP备2023020795号-1
ghs 京公网安备 11010802042870号
Book学术文献互助
Book学术文献互助群
群 号:604180095
Book学术官方微信