Evaluating the anti-inflammatory and antioxidant efficacy of complementary and alternative medicines (CAM) used for management of inflammatory bowel disease: a comprehensive review.

IF 7.4 2区 生物学 Q1 BIOCHEMISTRY & MOLECULAR BIOLOGY
Redox Report Pub Date : 2025-12-01 Epub Date: 2025-03-08 DOI:10.1080/13510002.2025.2471737
Sia Shin, Siqi Chen, Kangzhe Xie, Suehad Abou Duhun, Tamara Ortiz-Cerda
{"title":"Evaluating the anti-inflammatory and antioxidant efficacy of complementary and alternative medicines (CAM) used for management of inflammatory bowel disease: a comprehensive review.","authors":"Sia Shin, Siqi Chen, Kangzhe Xie, Suehad Abou Duhun, Tamara Ortiz-Cerda","doi":"10.1080/13510002.2025.2471737","DOIUrl":null,"url":null,"abstract":"<p><p>Inflammatory bowel disease (IBD) is a chronic autoimmune condition whose pathogenesis has not been fully elucidated, and current treatments are not definitive and often carry several side effects. The Complementary and Alternative Medicine (CAM) offers a new approach to conventional medicine. However, their clinical application and mechanisms remain limited.<b>Objective:</b> The aim of this review is to evaluate the anti-inflammatory, impact on microbiota and antioxidant efficacy of currently available CAM for IBD.<b>Methods:</b> The literature collection was obtained from Google Scholar, MEDLINE, PubMed and Web of Science (WOS). Studies in both human and animal models, published in English language between 2018 and 2024, were selected. Sixty-seven studies were included in the current review after inclusion and exclusion screening processes.<b>Results:</b> Mostly, studies showed significant anti-inflammatory, gut microbiota restoring, antioxidant effects of polyphenols, polysaccharides, emodin, short-chain fatty acids (SCFA; including butyrate, propionate and acetate), and probiotics although some contrasting results were noted. Current evidence shows that polyphenols exhibit the most consistent result in alleviating IBD pathophysiology, primarily due to their significant SCFA-elevating effect.<b>Discussion:</b> Future studies may focus on human studies, narrowing down on individual factors which may change natural product's metabolism. Further research studies are also essential to obtain therapeutic recommendations.</p>","PeriodicalId":21096,"journal":{"name":"Redox Report","volume":"30 1","pages":"2471737"},"PeriodicalIF":7.4000,"publicationDate":"2025-12-01","publicationTypes":"Journal Article","fieldsOfStudy":null,"isOpenAccess":false,"openAccessPdf":"https://www.ncbi.nlm.nih.gov/pmc/articles/PMC11892051/pdf/","citationCount":"0","resultStr":null,"platform":"Semanticscholar","paperid":null,"PeriodicalName":"Redox Report","FirstCategoryId":"99","ListUrlMain":"https://doi.org/10.1080/13510002.2025.2471737","RegionNum":2,"RegionCategory":"生物学","ArticlePicture":[],"TitleCN":null,"AbstractTextCN":null,"PMCID":null,"EPubDate":"2025/3/8 0:00:00","PubModel":"Epub","JCR":"Q1","JCRName":"BIOCHEMISTRY & MOLECULAR BIOLOGY","Score":null,"Total":0}
引用次数: 0

Abstract

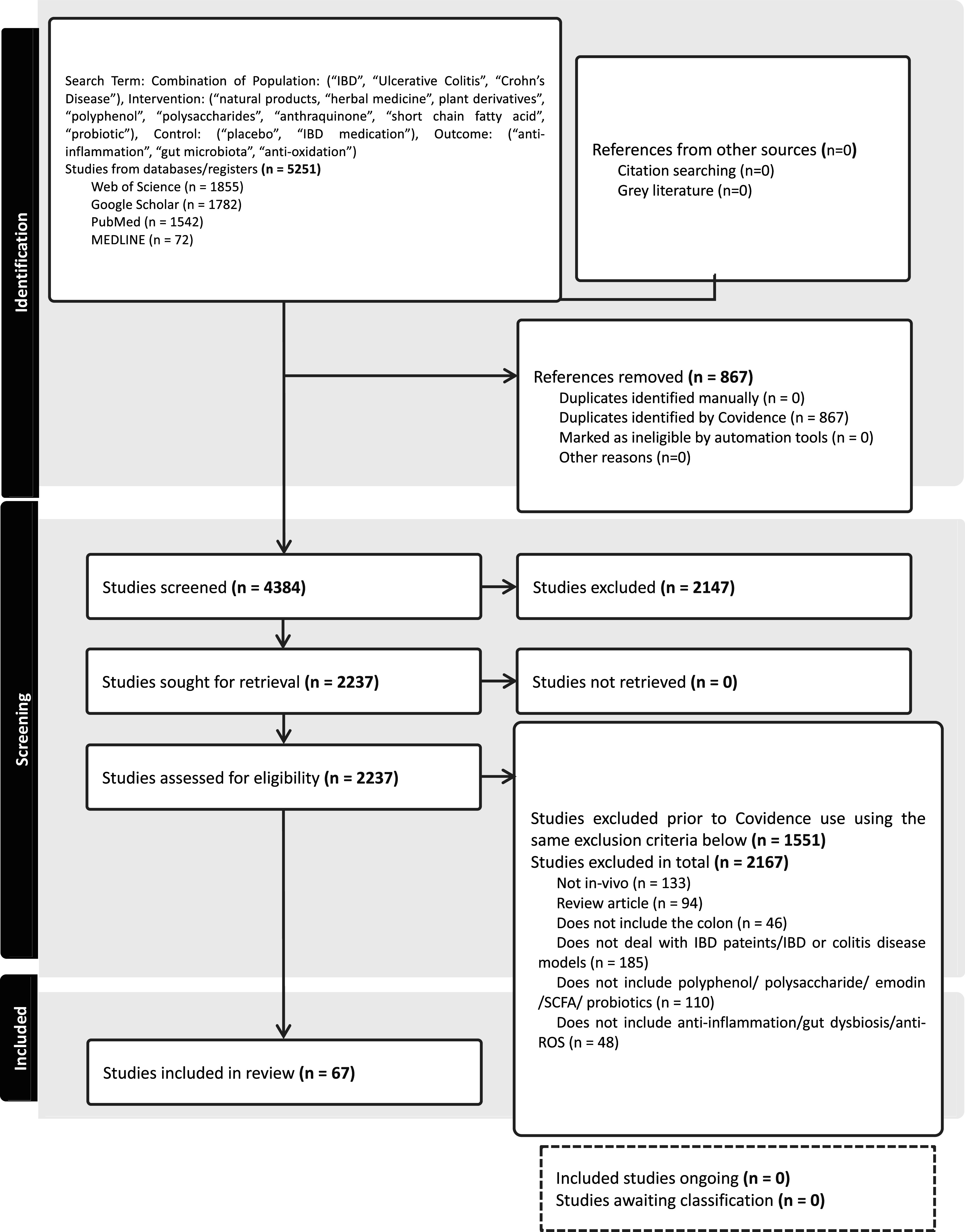
Inflammatory bowel disease (IBD) is a chronic autoimmune condition whose pathogenesis has not been fully elucidated, and current treatments are not definitive and often carry several side effects. The Complementary and Alternative Medicine (CAM) offers a new approach to conventional medicine. However, their clinical application and mechanisms remain limited.Objective: The aim of this review is to evaluate the anti-inflammatory, impact on microbiota and antioxidant efficacy of currently available CAM for IBD.Methods: The literature collection was obtained from Google Scholar, MEDLINE, PubMed and Web of Science (WOS). Studies in both human and animal models, published in English language between 2018 and 2024, were selected. Sixty-seven studies were included in the current review after inclusion and exclusion screening processes.Results: Mostly, studies showed significant anti-inflammatory, gut microbiota restoring, antioxidant effects of polyphenols, polysaccharides, emodin, short-chain fatty acids (SCFA; including butyrate, propionate and acetate), and probiotics although some contrasting results were noted. Current evidence shows that polyphenols exhibit the most consistent result in alleviating IBD pathophysiology, primarily due to their significant SCFA-elevating effect.Discussion: Future studies may focus on human studies, narrowing down on individual factors which may change natural product's metabolism. Further research studies are also essential to obtain therapeutic recommendations.

Abstract Image

Abstract Image

Abstract Image

评估用于治疗炎症性肠病的补充和替代药物(CAM)的抗炎和抗氧化功效:全面综述。
炎症性肠病(IBD)是一种慢性自身免疫性疾病,其发病机制尚未完全阐明,目前的治疗方法尚不明确,而且往往有一些副作用。补充和替代医学(CAM)为传统医学提供了一种新的途径。然而,它们的临床应用和机制仍然有限。目的:评价目前可用于治疗IBD的CAM的抗炎作用、对微生物群的影响及抗氧化作用。方法:从谷歌Scholar、MEDLINE、PubMed和Web of Science (WOS)上获取文献。入选的研究对象包括2018年至2024年间以英文发表的人类和动物模型。经过纳入和排除筛选程序后,本次综述纳入了67项研究。结果:大多数研究显示,多酚、多糖、大黄素、短链脂肪酸(SCFA;包括丁酸盐,丙酸盐和醋酸盐)和益生菌,尽管注意到一些相反的结果。目前的证据表明,多酚在缓解IBD病理生理方面表现出最一致的结果,主要是由于其显著的scfa升高作用。讨论:未来的研究可能会集中在人体研究上,缩小可能改变天然产物代谢的个体因素。进一步的研究对于获得治疗建议也是必要的。
本文章由计算机程序翻译,如有差异,请以英文原文为准。
求助全文
约1分钟内获得全文 求助全文
来源期刊
Redox Report
Redox Report 生物-生化与分子生物学
CiteScore
6.10
自引率
0.00%
发文量
28
审稿时长
>12 weeks
期刊介绍: Redox Report is a multidisciplinary peer-reviewed open access journal focusing on the role of free radicals, oxidative stress, activated oxygen, perioxidative and redox processes, primarily in the human environment and human pathology. Relevant papers on the animal and plant environment, biology and pathology will also be included. While emphasis is placed upon methodological and intellectual advances underpinned by new data, the journal offers scope for review, hypotheses, critiques and other forms of discussion.
×
引用
GB/T 7714-2015
复制
MLA
复制
APA
复制
导出至
BibTeX EndNote RefMan NoteFirst NoteExpress
×
提示
您的信息不完整,为了账户安全,请先补充。
现在去补充
×
提示
您因"违规操作"
具体请查看互助需知
我知道了
×
提示
确定
请完成安全验证×
copy
已复制链接
快去分享给好友吧!
我知道了
右上角分享
点击右上角分享
0
联系我们:info@booksci.cn Book学术提供免费学术资源搜索服务,方便国内外学者检索中英文文献。致力于提供最便捷和优质的服务体验。 Copyright © 2023 布克学术 All rights reserved.
京ICP备2023020795号-1
ghs 京公网安备 11010802042870号
Book学术文献互助
Book学术文献互助群
群 号:604180095
Book学术官方微信