Five-year overall and specific survival of breast cancer in great Cuiaba (MT), Brazil.

IF 2
Jânia Cristiane de Souza Oliveira, Noemi Dreyer Galvão, Amanda Cristina de Souza Andrade, Ageo Mário Cândido da Silva
{"title":"Five-year overall and specific survival of breast cancer in great Cuiaba (MT), Brazil.","authors":"Jânia Cristiane de Souza Oliveira, Noemi Dreyer Galvão, Amanda Cristina de Souza Andrade, Ageo Mário Cândido da Silva","doi":"10.1590/1980-549720250010","DOIUrl":null,"url":null,"abstract":"<p><strong>Objective: </strong>To analyze the overall and cancer-specific five-year survival rates for female breast cancer in Greater Cuiabá, Mato Grosso, Brazil.</p><p><strong>Methods: </strong>A non-concurrent, population-based cohort study using the Population-Based Cancer Registry of Greater Cuiabá (Cuiabá and Varzea Grande), including women diagnosed with breast cancer from 2008 to 2013, followed through 2018 in the regional mortality database. The sample consisted of a total of 1,220 women. Five-year survival analysis was performed using Kaplan-Meier curves and the Cox proportional hazards regression model, computing hazard ratios for variable estimation. Survival curves were compared using the log-rank test (p<0.05). Probabilistic linkage technique by the RecLink III software and survival analysis were conducted using STATA software version 12.0.</p><p><strong>Results: </strong>There was no statistical difference between the overall (OS) and cancer-specific survival (SS) rates (OS 78.0%, 95%CI 75.6-80.2; SS 81.0%, 95%CI 78.7-83.2). Women with lower educational levels (OS=58.33%; SS=64.89%) and those without a partner (OS 64.81%; SS 70.41%) exhibited poorer survival.</p><p><strong>Conclusion: </strong>This study demonstrates that educational level and marital status significantly impact both overall and cancer-specific survival rates for female breast cancer. There is a need to propose policies that address the profile of women with lower survival rates.</p>","PeriodicalId":74697,"journal":{"name":"Revista brasileira de epidemiologia = Brazilian journal of epidemiology","volume":"28 ","pages":"e250010"},"PeriodicalIF":2.0000,"publicationDate":"2025-03-03","publicationTypes":"Journal Article","fieldsOfStudy":null,"isOpenAccess":false,"openAccessPdf":"https://www.ncbi.nlm.nih.gov/pmc/articles/PMC11884821/pdf/","citationCount":"0","resultStr":null,"platform":"Semanticscholar","paperid":null,"PeriodicalName":"Revista brasileira de epidemiologia = Brazilian journal of epidemiology","FirstCategoryId":"1085","ListUrlMain":"https://doi.org/10.1590/1980-549720250010","RegionNum":0,"RegionCategory":null,"ArticlePicture":[],"TitleCN":null,"AbstractTextCN":null,"PMCID":null,"EPubDate":"2025/1/1 0:00:00","PubModel":"eCollection","JCR":"","JCRName":"","Score":null,"Total":0}
引用次数: 0

Abstract

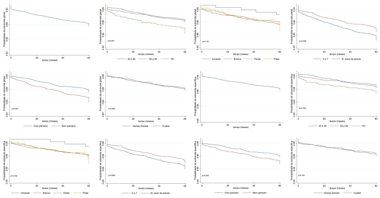
Objective: To analyze the overall and cancer-specific five-year survival rates for female breast cancer in Greater Cuiabá, Mato Grosso, Brazil.

Methods: A non-concurrent, population-based cohort study using the Population-Based Cancer Registry of Greater Cuiabá (Cuiabá and Varzea Grande), including women diagnosed with breast cancer from 2008 to 2013, followed through 2018 in the regional mortality database. The sample consisted of a total of 1,220 women. Five-year survival analysis was performed using Kaplan-Meier curves and the Cox proportional hazards regression model, computing hazard ratios for variable estimation. Survival curves were compared using the log-rank test (p<0.05). Probabilistic linkage technique by the RecLink III software and survival analysis were conducted using STATA software version 12.0.

Results: There was no statistical difference between the overall (OS) and cancer-specific survival (SS) rates (OS 78.0%, 95%CI 75.6-80.2; SS 81.0%, 95%CI 78.7-83.2). Women with lower educational levels (OS=58.33%; SS=64.89%) and those without a partner (OS 64.81%; SS 70.41%) exhibited poorer survival.

Conclusion: This study demonstrates that educational level and marital status significantly impact both overall and cancer-specific survival rates for female breast cancer. There is a need to propose policies that address the profile of women with lower survival rates.

Abstract Image

Abstract Image

Abstract Image

巴西大库亚巴(MT)乳腺癌的5年总生存率和特异性生存率
目的:分析巴西马托格罗索州大库亚阿布地区女性乳腺癌的总体生存率和癌症特异性5年生存率。方法:一项非同步的、基于人群的队列研究,使用基于人群的大cuiab癌症登记处(cuiab和Varzea Grande),包括2008年至2013年诊断为乳腺癌的女性,随后在区域死亡率数据库中持续到2018年。样本共包括1220名女性。采用Kaplan-Meier曲线和Cox比例风险回归模型进行5年生存分析,计算风险比进行变量估计。采用log-rank检验比较生存曲线(结果:总生存率(OS)和癌症特异性生存率(SS)之间无统计学差异(OS 78.0%, 95%CI 75.6-80.2;Ss 81.0%, 95%ci 78.7-83.2)。受教育程度较低的女性(OS=58.33%;SS=64.89%)和无伴侣者(OS 64.81%;SS 70.41%)生存率较差。结论:本研究表明,教育程度和婚姻状况对女性乳腺癌的总体生存率和癌症特异性生存率均有显著影响。有必要提出政策,处理存活率较低的妇女的情况。
本文章由计算机程序翻译,如有差异,请以英文原文为准。
求助全文
约1分钟内获得全文 求助全文
来源期刊
自引率
0.00%
发文量
0
×
引用
GB/T 7714-2015
复制
MLA
复制
APA
复制
导出至
BibTeX EndNote RefMan NoteFirst NoteExpress
×
提示
您的信息不完整,为了账户安全,请先补充。
现在去补充
×
提示
您因"违规操作"
具体请查看互助需知
我知道了
×
提示
确定
请完成安全验证×
copy
已复制链接
快去分享给好友吧!
我知道了
右上角分享
点击右上角分享
0
联系我们:info@booksci.cn Book学术提供免费学术资源搜索服务,方便国内外学者检索中英文文献。致力于提供最便捷和优质的服务体验。 Copyright © 2023 布克学术 All rights reserved.
京ICP备2023020795号-1
ghs 京公网安备 11010802042870号
Book学术文献互助
Book学术文献互助群
群 号:604180095
Book学术官方微信