Ethnicity-specific associations between the promoter region G-308A polymorphism (rs1800629) of the TNF-α gene and the development of end-stage renal disease: An evidence-based meta-analysis and trial sequential analysis.

IF 1.3 4区 生物学 Q4 BIOCHEMISTRY & MOLECULAR BIOLOGY
Genetics and Molecular Biology Pub Date : 2025-02-24 eCollection Date: 2025-01-01 DOI:10.1590/1678-4685-GMB-2024-0077
Suthiya Anumas, Amarit Tansawet, Pawin Numthavaj, Pattharawin Pattharanitima, Noel Pabalan, Hamdi Jarjanazi, Rungrawee Mongkolrob, Adis Tasanarong, Phuntila Tharabenjasin
{"title":"Ethnicity-specific associations between the promoter region G-308A polymorphism (rs1800629) of the TNF-α gene and the development of end-stage renal disease: An evidence-based meta-analysis and trial sequential analysis.","authors":"Suthiya Anumas, Amarit Tansawet, Pawin Numthavaj, Pattharawin Pattharanitima, Noel Pabalan, Hamdi Jarjanazi, Rungrawee Mongkolrob, Adis Tasanarong, Phuntila Tharabenjasin","doi":"10.1590/1678-4685-GMB-2024-0077","DOIUrl":null,"url":null,"abstract":"<p><p>Tumor necrosis factor-alpha (TNF-α), is partly attributed to pathogenesis of end-stage renal disease (ESRD). Inconsistency of reported associations between TNF-α G-308A polymorphism (rs1800629) and ESRD prompted a meta-analysis to obtain more precise estimates. Eleven case-control studies from 11 articles were included. Pooled odds ratios (OR) and 95% confidence intervals (95% CIs) were estimated to evaluate the association. Subgroup analysis was based on ethnicity (Caucasian and Asian). Multiple comparisons were Bonferroni-corrected. Trial sequential analysis (TSA) was implemented to ascertain the reliability of results. Sensitivity analyses and publication bias tests were performed on significant results. There were no significant association (pa >0.05) in the overall and ethnic subgroup. Indians, three significant pool ORs (pa < 0.01-0.03) showed increased susceptibility to ESRD in homozygous (OR, 6.57; 95% CI, 1.45 to 29.75; pa = 0.01), recessive (OR, 6.75; 95% CI, 1.44 to 31.56; pa = 0.02), and codominant (OR, 2.06; 95% CI, 1.08 to 3.94; pa = 0.03) models. TSA indicated the robustness of such association in the Indian population. The main outcomes were robust without evidence of publication bias. This study showed associations between TNF-α G-308A and ESRD are confined to Indians, which are susceptible to ESRD up to approximately 7 times.</p>","PeriodicalId":12557,"journal":{"name":"Genetics and Molecular Biology","volume":"48 1","pages":"e20240077"},"PeriodicalIF":1.3000,"publicationDate":"2025-02-24","publicationTypes":"Journal Article","fieldsOfStudy":null,"isOpenAccess":false,"openAccessPdf":"https://www.ncbi.nlm.nih.gov/pmc/articles/PMC11912548/pdf/","citationCount":"0","resultStr":null,"platform":"Semanticscholar","paperid":null,"PeriodicalName":"Genetics and Molecular Biology","FirstCategoryId":"99","ListUrlMain":"https://doi.org/10.1590/1678-4685-GMB-2024-0077","RegionNum":4,"RegionCategory":"生物学","ArticlePicture":[],"TitleCN":null,"AbstractTextCN":null,"PMCID":null,"EPubDate":"2025/1/1 0:00:00","PubModel":"eCollection","JCR":"Q4","JCRName":"BIOCHEMISTRY & MOLECULAR BIOLOGY","Score":null,"Total":0}
引用次数: 0

Abstract

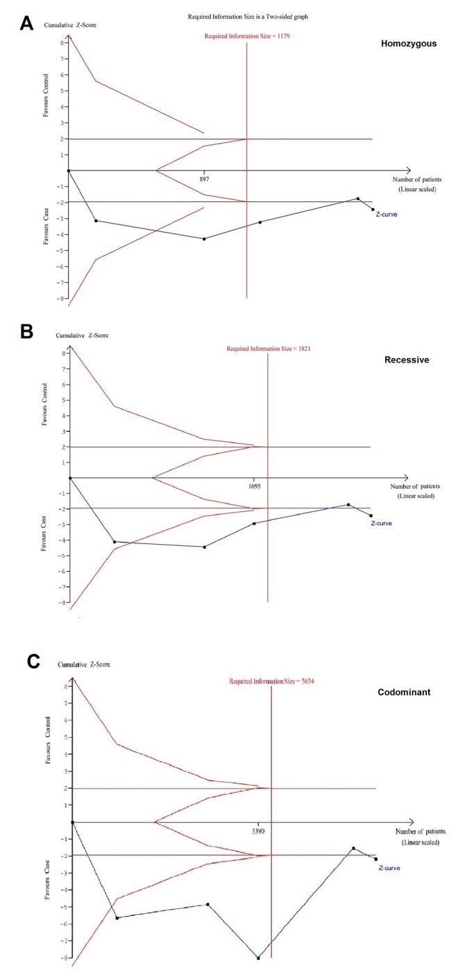
Tumor necrosis factor-alpha (TNF-α), is partly attributed to pathogenesis of end-stage renal disease (ESRD). Inconsistency of reported associations between TNF-α G-308A polymorphism (rs1800629) and ESRD prompted a meta-analysis to obtain more precise estimates. Eleven case-control studies from 11 articles were included. Pooled odds ratios (OR) and 95% confidence intervals (95% CIs) were estimated to evaluate the association. Subgroup analysis was based on ethnicity (Caucasian and Asian). Multiple comparisons were Bonferroni-corrected. Trial sequential analysis (TSA) was implemented to ascertain the reliability of results. Sensitivity analyses and publication bias tests were performed on significant results. There were no significant association (pa >0.05) in the overall and ethnic subgroup. Indians, three significant pool ORs (pa < 0.01-0.03) showed increased susceptibility to ESRD in homozygous (OR, 6.57; 95% CI, 1.45 to 29.75; pa = 0.01), recessive (OR, 6.75; 95% CI, 1.44 to 31.56; pa = 0.02), and codominant (OR, 2.06; 95% CI, 1.08 to 3.94; pa = 0.03) models. TSA indicated the robustness of such association in the Indian population. The main outcomes were robust without evidence of publication bias. This study showed associations between TNF-α G-308A and ESRD are confined to Indians, which are susceptible to ESRD up to approximately 7 times.

Abstract Image

Abstract Image

Abstract Image

TNF-α基因启动子区G-308A多态性(rs1800629)与终末期肾病发展之间的种族特异性关联:循证荟萃分析和试验序列分析
肿瘤坏死因子-α (TNF-α)在一定程度上与终末期肾病(ESRD)的发病机制有关。TNF-α G-308A多态性(rs1800629)与ESRD之间的关联报道不一致,促使荟萃分析获得更精确的估计。纳入了来自11篇文章的11项病例对照研究。估计合并优势比(OR)和95%置信区间(95% ci)来评估相关性。亚组分析基于种族(高加索人和亚洲人)。多重比较经bonferroni校正。采用试验序贯分析(TSA)确定结果的可靠性。对显著性结果进行敏感性分析和发表偏倚检验。总体亚组与民族亚组无显著相关性(p < 0.05)。印度人,三个显著池OR (pa < 0.01-0.03)显示纯合子对ESRD的易感性增加(OR, 6.57;95% CI, 1.45 - 29.75;pa = 0.01),隐性(OR, 6.75;95% CI, 1.44 ~ 31.56;pa = 0.02),共显性(OR, 2.06;95% CI, 1.08 ~ 3.94;Pa = 0.03)模型。运输安全管理局指出,这种关联在印度人口中具有稳健性。主要结果是可靠的,没有发表偏倚的证据。本研究显示TNF-α G-308A与ESRD之间的关联仅限于印度人,其ESRD易感性高达约7倍。
本文章由计算机程序翻译,如有差异,请以英文原文为准。
求助全文
约1分钟内获得全文 求助全文
来源期刊
Genetics and Molecular Biology
Genetics and Molecular Biology 生物-生化与分子生物学
CiteScore
4.20
自引率
4.80%
发文量
111
审稿时长
3 months
期刊介绍: Genetics and Molecular Biology (formerly named Revista Brasileira de Genética/Brazilian Journal of Genetics - ISSN 0100-8455) is published by the Sociedade Brasileira de Genética (Brazilian Society of Genetics). The Journal considers contributions that present the results of original research in genetics, evolution and related scientific disciplines. Manuscripts presenting methods and applications only, without an analysis of genetic data, will not be considered.
×
引用
GB/T 7714-2015
复制
MLA
复制
APA
复制
导出至
BibTeX EndNote RefMan NoteFirst NoteExpress
×
提示
您的信息不完整,为了账户安全,请先补充。
现在去补充
×
提示
您因"违规操作"
具体请查看互助需知
我知道了
×
提示
确定
请完成安全验证×
copy
已复制链接
快去分享给好友吧!
我知道了
右上角分享
点击右上角分享
0
联系我们:info@booksci.cn Book学术提供免费学术资源搜索服务,方便国内外学者检索中英文文献。致力于提供最便捷和优质的服务体验。 Copyright © 2023 布克学术 All rights reserved.
京ICP备2023020795号-1
ghs 京公网安备 11010802042870号
Book学术文献互助
Book学术文献互助群
群 号:604180095
Book学术官方微信