Paternal age and neonatal outcomes: a population-based cohort study.

IF 11.1 Q1 OBSTETRICS & GYNECOLOGY
Human reproduction open Pub Date : 2025-02-26 eCollection Date: 2025-01-01 DOI:10.1093/hropen/hoaf006
Wenxue Xiong, Xijia Tang, Lu Han, Li Ling
{"title":"Paternal age and neonatal outcomes: a population-based cohort study.","authors":"Wenxue Xiong, Xijia Tang, Lu Han, Li Ling","doi":"10.1093/hropen/hoaf006","DOIUrl":null,"url":null,"abstract":"<p><strong>Study question: </strong>Is paternal age associated with neonatal outcomes?</p><p><strong>Summary answer: </strong>Paternal age is independently associated with preterm birth (PTB) and caesarean section.</p><p><strong>What is known already: </strong>Advanced maternal age has long been recognized as a major risk factor for adverse neonatal outcomes. However, the association between paternal age and neonatal outcomes are not well established, yet it is biologically plausible that an increasing number of genetic and epigenetic sperm abnormalities in older males may contribute to adverse neonatal outcomes.</p><p><strong>Study design size duration: </strong>This population-based cohort study was based on the National Free Preconception Checkups Project between 1 January 2014 and 31 December 2019 in Guangdong Province, China. Paternal age at the maternal last menstrual period was measured. The main outcomes included caesarean section, PTB, small for gestational age (SGA) and perinatal infant death (PID).</p><p><strong>Participants/materials setting methods: </strong>A total of 783 988 mother-neonate-father trios were included in this study. A modified Poisson regression model was employed to estimate relative risk (RR) and 95% CI and logistic regression models were used to analyse the relative importance of predictors. We used restricted cubic splines to flexibly model the non-linear dose-response association between paternal age and neonatal outcomes. We also assessed additive interactions between paternal and maternal age on neonatal outcomes.</p><p><strong>Main results and the role of chance: </strong>Neonates born to fathers aged 35-44 years had higher risks of caesarean section (RR: 1.07; 95% CI: 1.06-1.09) and PTB (RR: 1.15; 95% CI: 1.10-1.19) compared with neonates of fathers aged 25-34 years, after adjustment for confounders. The increased risks of PTB associated with paternal age appeared to be 'dose' dependent, with a J-shaped association curve (<i>P</i> for non-linearity<0.001). The relative importance of paternal age in predicting PTB and caesarean section was similar to, or even higher than, that of maternal age. The combined effects of advanced maternal and paternal age appeared to be less than additive joint effects (relative excess risk due to interaction<0). The association of paternal age with SGA or PID was not statistically significant (<i>P </i>><i> </i>0.05).</p><p><strong>Limitations reasons for caution: </strong>As with all observational studies, residual confounding could not be ruled out. Only couples who planned to conceive were included.</p><p><strong>Wider implications of the findings: </strong>In this population-based cohort study, paternal age was independently associated with caesarean section and PTB. These findings may be clinically useful in preconception counselling on parental age-related pregnancy risks. Our findings emphasize the need to further investigate the public health implications of increasing paternal age.</p><p><strong>Study funding/competing interests: </strong>This study was supported by the Guangdong Province Medical Research Funding (No. B2023416). No competing interests are reported.</p><p><strong>Trial registration number: </strong>N/A.</p>","PeriodicalId":73264,"journal":{"name":"Human reproduction open","volume":"2025 1","pages":"hoaf006"},"PeriodicalIF":11.1000,"publicationDate":"2025-02-26","publicationTypes":"Journal Article","fieldsOfStudy":null,"isOpenAccess":false,"openAccessPdf":"https://www.ncbi.nlm.nih.gov/pmc/articles/PMC11878789/pdf/","citationCount":"0","resultStr":null,"platform":"Semanticscholar","paperid":null,"PeriodicalName":"Human reproduction open","FirstCategoryId":"1085","ListUrlMain":"https://doi.org/10.1093/hropen/hoaf006","RegionNum":0,"RegionCategory":null,"ArticlePicture":[],"TitleCN":null,"AbstractTextCN":null,"PMCID":null,"EPubDate":"2025/1/1 0:00:00","PubModel":"eCollection","JCR":"Q1","JCRName":"OBSTETRICS & GYNECOLOGY","Score":null,"Total":0}
引用次数: 0

Abstract

Study question: Is paternal age associated with neonatal outcomes?

Summary answer: Paternal age is independently associated with preterm birth (PTB) and caesarean section.

What is known already: Advanced maternal age has long been recognized as a major risk factor for adverse neonatal outcomes. However, the association between paternal age and neonatal outcomes are not well established, yet it is biologically plausible that an increasing number of genetic and epigenetic sperm abnormalities in older males may contribute to adverse neonatal outcomes.

Study design size duration: This population-based cohort study was based on the National Free Preconception Checkups Project between 1 January 2014 and 31 December 2019 in Guangdong Province, China. Paternal age at the maternal last menstrual period was measured. The main outcomes included caesarean section, PTB, small for gestational age (SGA) and perinatal infant death (PID).

Participants/materials setting methods: A total of 783 988 mother-neonate-father trios were included in this study. A modified Poisson regression model was employed to estimate relative risk (RR) and 95% CI and logistic regression models were used to analyse the relative importance of predictors. We used restricted cubic splines to flexibly model the non-linear dose-response association between paternal age and neonatal outcomes. We also assessed additive interactions between paternal and maternal age on neonatal outcomes.

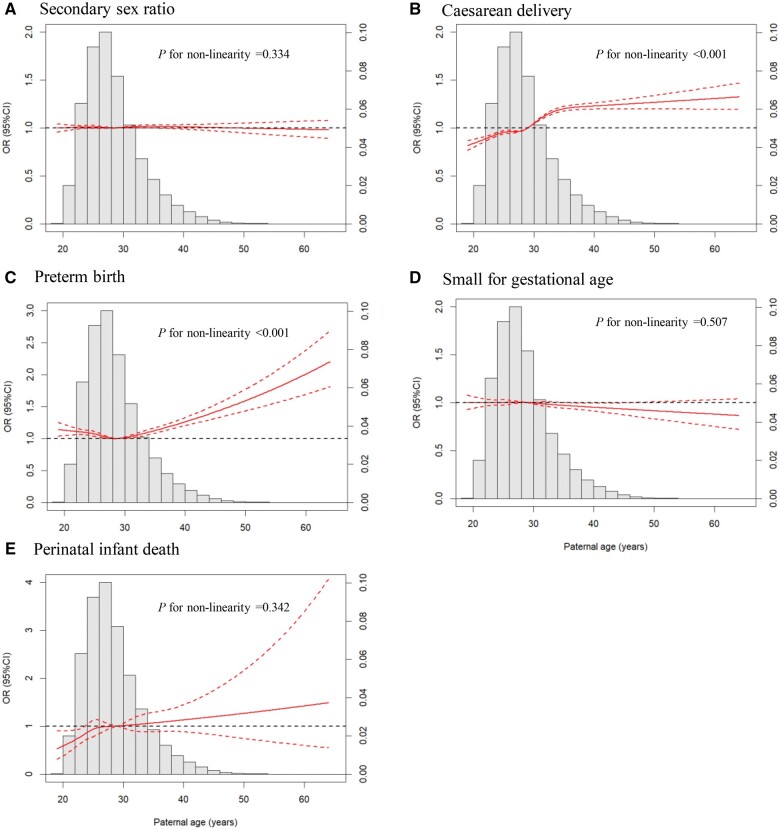
Main results and the role of chance: Neonates born to fathers aged 35-44 years had higher risks of caesarean section (RR: 1.07; 95% CI: 1.06-1.09) and PTB (RR: 1.15; 95% CI: 1.10-1.19) compared with neonates of fathers aged 25-34 years, after adjustment for confounders. The increased risks of PTB associated with paternal age appeared to be 'dose' dependent, with a J-shaped association curve (P for non-linearity<0.001). The relative importance of paternal age in predicting PTB and caesarean section was similar to, or even higher than, that of maternal age. The combined effects of advanced maternal and paternal age appeared to be less than additive joint effects (relative excess risk due to interaction<0). The association of paternal age with SGA or PID was not statistically significant (P >0.05).

Limitations reasons for caution: As with all observational studies, residual confounding could not be ruled out. Only couples who planned to conceive were included.

Wider implications of the findings: In this population-based cohort study, paternal age was independently associated with caesarean section and PTB. These findings may be clinically useful in preconception counselling on parental age-related pregnancy risks. Our findings emphasize the need to further investigate the public health implications of increasing paternal age.

Study funding/competing interests: This study was supported by the Guangdong Province Medical Research Funding (No. B2023416). No competing interests are reported.

Trial registration number: N/A.

Abstract Image

Abstract Image

父亲年龄和新生儿结局:一项基于人群的队列研究。
研究问题:父亲年龄与新生儿结局有关吗?摘要回答:父亲年龄与早产(PTB)和剖宫产独立相关。已知情况:高龄产妇长期以来被认为是新生儿不良结局的主要危险因素。然而,父亲年龄与新生儿结局之间的关系尚未得到很好的确定,但从生物学角度来看,老年男性越来越多的遗传和表观遗传精子异常可能导致不良的新生儿结局。研究设计规模持续时间:这项基于人群的队列研究基于2014年1月1日至2019年12月31日在中国广东省进行的国家免费孕前检查项目。测量母亲最后一次月经时父亲的年龄。主要结局包括剖宫产、PTB、小胎龄(SGA)和围产期婴儿死亡(PID)。参与者/材料设置方法:本研究共纳入783 988例母亲-新生儿-父亲三人组。采用改良泊松回归模型估计相对危险度(RR), 95% CI和logistic回归模型分析预测因子的相对重要性。我们使用限制三次样条灵活地模拟父亲年龄和新生儿结局之间的非线性剂量-反应关联。我们还评估了父亲和母亲年龄对新生儿结局的相互作用。主要结果及偶发因素的作用:35 ~ 44岁父亲所生新生儿发生剖腹产的风险较高(RR: 1.07;95% CI: 1.06-1.09)和PTB (RR: 1.15;95% CI: 1.10-1.19),与25-34岁父亲的新生儿相比,校正混杂因素后。与父亲年龄相关的PTB风险增加似乎是“剂量”依赖的,呈j形关联曲线(P为非线性P < 0.05)。谨慎的局限性原因:与所有观察性研究一样,不能排除残留混淆。只有计划怀孕的夫妇才被包括在内。研究结果的更广泛意义:在这项基于人群的队列研究中,父亲年龄与剖腹产和产结核独立相关。这些发现可能对父母年龄相关怀孕风险的孕前咨询有临床意义。我们的研究结果强调有必要进一步调查父亲年龄增加对公共卫生的影响。研究经费/竞争利益:本研究由广东省医学研究基金资助(No.;B2023416)。没有相互竞争的利益报告。试验注册号:无。
本文章由计算机程序翻译,如有差异,请以英文原文为准。
求助全文
约1分钟内获得全文 求助全文
来源期刊
CiteScore
15.50
自引率
0.00%
发文量
0
审稿时长
12 weeks
×
引用
GB/T 7714-2015
复制
MLA
复制
APA
复制
导出至
BibTeX EndNote RefMan NoteFirst NoteExpress
×
提示
您的信息不完整,为了账户安全,请先补充。
现在去补充
×
提示
您因"违规操作"
具体请查看互助需知
我知道了
×
提示
确定
请完成安全验证×
copy
已复制链接
快去分享给好友吧!
我知道了
右上角分享
点击右上角分享
0
联系我们:info@booksci.cn Book学术提供免费学术资源搜索服务,方便国内外学者检索中英文文献。致力于提供最便捷和优质的服务体验。 Copyright © 2023 布克学术 All rights reserved.
京ICP备2023020795号-1
ghs 京公网安备 11010802042870号
Book学术文献互助
Book学术文献互助群
群 号:604180095
Book学术官方微信