The effects of empagliflozin in patients with type 1 diabetes: Results of a 12-week, double-blind, randomized, placebo-controlled clinical trial.

IF 2.8 Q2 PUBLIC, ENVIRONMENTAL & OCCUPATIONAL HEALTH
Health Promotion Perspectives Pub Date : 2024-12-30 eCollection Date: 2024-01-01 DOI:10.34172/hpp.42486
Mostafa Najafipour, Farzad Najafipour, Alireza Ostadrahimi, Maryam Ghavami, Zohreh Razaghi, Helda Tutunchi, Naimeh Mesri Alamdari
{"title":"The effects of empagliflozin in patients with type 1 diabetes: Results of a 12-week, double-blind, randomized, placebo-controlled clinical trial.","authors":"Mostafa Najafipour, Farzad Najafipour, Alireza Ostadrahimi, Maryam Ghavami, Zohreh Razaghi, Helda Tutunchi, Naimeh Mesri Alamdari","doi":"10.34172/hpp.42486","DOIUrl":null,"url":null,"abstract":"<p><strong>Background: </strong>Sodium-glucose cotransporter-2 (SGLT-2) acts as a key element in the reabsorption of glucose in the kidney. Currently, SGLT-2 inhibitors are FDA-approved for the treatment of type 2 diabetes. It is suggested that the mechanism of action may operate in the treatment of type 1 diabetes mellitus (T1DM), as well. This study aimed to evaluate the application of empagliflozin as an adjunctive to insulin in patients with T1D.</p><p><strong>Methods: </strong>In this double-blind placebo-controlled randomized clinical study, 60 type 1 diabetic patients were randomly assigned to have either once-daily empagliflozin 10 mg or placebo, as an addition to insulin for 12 weeks. The hemoglobin A1C, fasting blood sugar (FBS), 2-hour post-prandial blood sugar, and anthropometric indices were measured before and after 12 weeks intervention.</p><p><strong>Results: </strong>After 12 weeks, empagliflozin resulted in significant reductions of hemoglobin A1C -0.18 (95% CI: -0.37, 0.005, <i>P</i>=0.009), FBS -2.60 mg/dL (95% CI: -6.48, 1.28, <i>P</i>=0.035), 2-hour post-prandial blood sugar -22.56 mg/dL (95% CI: -35.15, 8.97, <i>P</i><0.0001), and total daily insulin dose -7.6 units (95% CI: -12.4, 2.8, <i>P</i>=0.003). Furthermore, empagliflozin reduced body mass index (BMI) by -0.560 kg (95% CI: -0.640, 1.46, <i>P</i><0.0001). Empagliflozin was well tolerated in the patients. Also, no case of hypoglycemia, genital and urinary infections, or diabetic ketoacidosis (DKA) was reported.</p><p><strong>Conclusion: </strong>The present study supported the use of empagliflozin alongside insulin as a treatment option for individuals with T1D.</p><p><strong>Trial registration: </strong>http://www.irct.ir, identifier: irct20130610013612N12, Registration date: 12/9/2022).</p>","PeriodicalId":46588,"journal":{"name":"Health Promotion Perspectives","volume":"14 4","pages":"380-387"},"PeriodicalIF":2.8000,"publicationDate":"2024-12-30","publicationTypes":"Journal Article","fieldsOfStudy":null,"isOpenAccess":false,"openAccessPdf":"https://www.ncbi.nlm.nih.gov/pmc/articles/PMC11873775/pdf/","citationCount":"0","resultStr":null,"platform":"Semanticscholar","paperid":null,"PeriodicalName":"Health Promotion Perspectives","FirstCategoryId":"1085","ListUrlMain":"https://doi.org/10.34172/hpp.42486","RegionNum":0,"RegionCategory":null,"ArticlePicture":[],"TitleCN":null,"AbstractTextCN":null,"PMCID":null,"EPubDate":"2024/1/1 0:00:00","PubModel":"eCollection","JCR":"Q2","JCRName":"PUBLIC, ENVIRONMENTAL & OCCUPATIONAL HEALTH","Score":null,"Total":0}
引用次数: 0

Abstract

Background: Sodium-glucose cotransporter-2 (SGLT-2) acts as a key element in the reabsorption of glucose in the kidney. Currently, SGLT-2 inhibitors are FDA-approved for the treatment of type 2 diabetes. It is suggested that the mechanism of action may operate in the treatment of type 1 diabetes mellitus (T1DM), as well. This study aimed to evaluate the application of empagliflozin as an adjunctive to insulin in patients with T1D.

Methods: In this double-blind placebo-controlled randomized clinical study, 60 type 1 diabetic patients were randomly assigned to have either once-daily empagliflozin 10 mg or placebo, as an addition to insulin for 12 weeks. The hemoglobin A1C, fasting blood sugar (FBS), 2-hour post-prandial blood sugar, and anthropometric indices were measured before and after 12 weeks intervention.

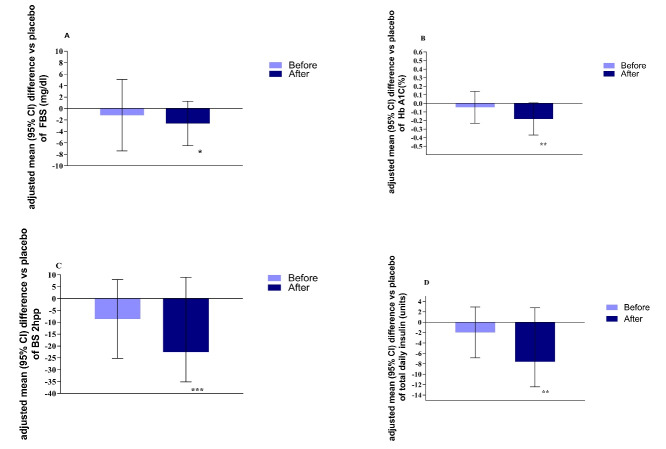
Results: After 12 weeks, empagliflozin resulted in significant reductions of hemoglobin A1C -0.18 (95% CI: -0.37, 0.005, P=0.009), FBS -2.60 mg/dL (95% CI: -6.48, 1.28, P=0.035), 2-hour post-prandial blood sugar -22.56 mg/dL (95% CI: -35.15, 8.97, P<0.0001), and total daily insulin dose -7.6 units (95% CI: -12.4, 2.8, P=0.003). Furthermore, empagliflozin reduced body mass index (BMI) by -0.560 kg (95% CI: -0.640, 1.46, P<0.0001). Empagliflozin was well tolerated in the patients. Also, no case of hypoglycemia, genital and urinary infections, or diabetic ketoacidosis (DKA) was reported.

Conclusion: The present study supported the use of empagliflozin alongside insulin as a treatment option for individuals with T1D.

Trial registration: http://www.irct.ir, identifier: irct20130610013612N12, Registration date: 12/9/2022).

Abstract Image

Abstract Image

Abstract Image

恩格列净对1型糖尿病患者的影响:一项为期12周的双盲、随机、安慰剂对照临床试验的结果
背景:钠-葡萄糖共转运蛋白-2 (SGLT-2)在肾脏中葡萄糖重吸收中起关键作用。目前,SGLT-2抑制剂已被fda批准用于治疗2型糖尿病。提示其作用机制可能也适用于1型糖尿病(T1DM)的治疗。本研究旨在评价恩格列净作为胰岛素辅助治疗在T1D患者中的应用。方法:在这项双盲安慰剂对照随机临床研究中,60名1型糖尿病患者被随机分配到每天一次的恩帕列净10mg或安慰剂,作为胰岛素的补充,持续12周。测定干预前后12周血红蛋白A1C、空腹血糖(FBS)、餐后2小时血糖及人体测量指标。结果:12周后,恩格列净显著降低血红蛋白A1C -0.18 (95% CI: -0.37, 0.005, P=0.009), FBS -2.60 mg/dL (95% CI: -6.48, 1.28, P=0.035),餐后2小时血糖-22.56 mg/dL (95% CI: -35.15, 8.97, PP=0.003)。此外,恩帕列净降低了体重指数(BMI) -0.560 kg (95% CI: -0.640, 1.46)。结论:本研究支持将恩帕列净与胰岛素联合使用作为T1D患者的治疗选择。试验注册:http://www.irct.ir,标识符:irct20130610013612N12,注册日期:12/9/2022)。
本文章由计算机程序翻译,如有差异,请以英文原文为准。
求助全文
约1分钟内获得全文 求助全文
来源期刊
Health Promotion Perspectives
Health Promotion Perspectives PUBLIC, ENVIRONMENTAL & OCCUPATIONAL HEALTH-
CiteScore
7.10
自引率
2.30%
发文量
27
审稿时长
13 weeks
×
引用
GB/T 7714-2015
复制
MLA
复制
APA
复制
导出至
BibTeX EndNote RefMan NoteFirst NoteExpress
×
提示
您的信息不完整,为了账户安全,请先补充。
现在去补充
×
提示
您因"违规操作"
具体请查看互助需知
我知道了
×
提示
确定
请完成安全验证×
copy
已复制链接
快去分享给好友吧!
我知道了
右上角分享
点击右上角分享
0
联系我们:info@booksci.cn Book学术提供免费学术资源搜索服务,方便国内外学者检索中英文文献。致力于提供最便捷和优质的服务体验。 Copyright © 2023 布克学术 All rights reserved.
京ICP备2023020795号-1
ghs 京公网安备 11010802042870号
Book学术文献互助
Book学术文献互助群
群 号:604180095
Book学术官方微信