Acute effects of empagliflozin on left atrial and ventricular filling parameters using echocardiography-a subanalysis of the EMPAG-HF trial.

IF 6.1 1区 医学 Q1 CARDIAC & CARDIOVASCULAR SYSTEMS
Jurgen Bogoviku, Tien Dung Nguyen, Julian Georg Westphal, Pawel Aftanski, Sven Moebius-Winkler, Franz Haertel, Sissy Grund, Ali Hamadanchi, Martin Busch, Paul Christian Schulze
{"title":"Acute effects of empagliflozin on left atrial and ventricular filling parameters using echocardiography-a subanalysis of the EMPAG-HF trial.","authors":"Jurgen Bogoviku, Tien Dung Nguyen, Julian Georg Westphal, Pawel Aftanski, Sven Moebius-Winkler, Franz Haertel, Sissy Grund, Ali Hamadanchi, Martin Busch, Paul Christian Schulze","doi":"10.1093/ehjcvp/pvaf003","DOIUrl":null,"url":null,"abstract":"<p><strong>Background: </strong>Sodium-glucose co-transporter 2 (SGLT2) inhibitors improve prognosis in chronic heart failure as part of currently recommended therapeutic strategies. Transthoracic echocardiography (TTE) is frequently used to assess heart function and dimensions in acute heart failure to lead therapy and assess volume status. Immediate changes, especially of left heart haemodynamic parameters, measured by echocardiography in patients with acute heart failure treated with SGLT2 inhibitors, remain unknown.</p><p><strong>Aim: </strong>The aim of this pre-defined secondary analysis was to assess whether treatment with empagliflozin 25 mg/day in patients with acute heart failure improves echocardiographic parameters of load, left ventricular or right ventricular function.</p><p><strong>Methods and results: </strong>In the single-centre, prospective, double-blind, placebo-controlled EMPAG-HF trial, patients with acute decompensated heart failure (ADHF) were screened and randomized within 12 h following hospital admission to receive either empagliflozin or placebo in addition to standard medical treatment over 5 days. Sixty patients were enrolled and randomized irrespective of left ventricular ejection fraction or diabetes. All patients received 2D TTE on admission (tB = at baseline) and after completing the study treatment (tC = time after completing study medication) (according to study design). The recorded loops were analysed using dedicated software (Image-Arena™ Version 4.6; TomTec Imaging Systems). After 5 days of treatment, patients in the empagliflozin cohort showed a relevant decrease in left atrial volume [LAV: ∆tB-tC = 30.9 ± 27.4; 95% confidence interval (CI) 20.1-41.7) compared to placebo ∆tB-tC = 10.5 ± 26; 95% CI 0.4-20.5; P = <0.001] and left atrial end-systolic volume index (LAESVI: ∆tB-tC = 15.7 ± 15.1; 95% CI 9.8-21.6 vs. placebo ∆tB-tC = 9.7 ± 10.2; 95% CI 5.7-13.6; P = 0.016) compared to placebo.</p><p><strong>Conclusion: </strong>Immediate addition of empagliflozin to standard therapy improves echocardiographic parameters of LAV in patients following recompensation of ADHF.</p>","PeriodicalId":11982,"journal":{"name":"European Heart Journal - Cardiovascular Pharmacotherapy","volume":" ","pages":"190-197"},"PeriodicalIF":6.1000,"publicationDate":"2025-03-13","publicationTypes":"Journal Article","fieldsOfStudy":null,"isOpenAccess":false,"openAccessPdf":"https://www.ncbi.nlm.nih.gov/pmc/articles/PMC11905748/pdf/","citationCount":"0","resultStr":null,"platform":"Semanticscholar","paperid":null,"PeriodicalName":"European Heart Journal - Cardiovascular Pharmacotherapy","FirstCategoryId":"3","ListUrlMain":"https://doi.org/10.1093/ehjcvp/pvaf003","RegionNum":1,"RegionCategory":"医学","ArticlePicture":[],"TitleCN":null,"AbstractTextCN":null,"PMCID":null,"EPubDate":"","PubModel":"","JCR":"Q1","JCRName":"CARDIAC & CARDIOVASCULAR SYSTEMS","Score":null,"Total":0}
引用次数: 0

Abstract

Background: Sodium-glucose co-transporter 2 (SGLT2) inhibitors improve prognosis in chronic heart failure as part of currently recommended therapeutic strategies. Transthoracic echocardiography (TTE) is frequently used to assess heart function and dimensions in acute heart failure to lead therapy and assess volume status. Immediate changes, especially of left heart haemodynamic parameters, measured by echocardiography in patients with acute heart failure treated with SGLT2 inhibitors, remain unknown.

Aim: The aim of this pre-defined secondary analysis was to assess whether treatment with empagliflozin 25 mg/day in patients with acute heart failure improves echocardiographic parameters of load, left ventricular or right ventricular function.

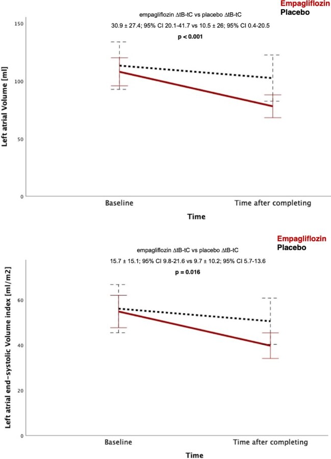
Methods and results: In the single-centre, prospective, double-blind, placebo-controlled EMPAG-HF trial, patients with acute decompensated heart failure (ADHF) were screened and randomized within 12 h following hospital admission to receive either empagliflozin or placebo in addition to standard medical treatment over 5 days. Sixty patients were enrolled and randomized irrespective of left ventricular ejection fraction or diabetes. All patients received 2D TTE on admission (tB = at baseline) and after completing the study treatment (tC = time after completing study medication) (according to study design). The recorded loops were analysed using dedicated software (Image-Arena™ Version 4.6; TomTec Imaging Systems). After 5 days of treatment, patients in the empagliflozin cohort showed a relevant decrease in left atrial volume [LAV: ∆tB-tC = 30.9 ± 27.4; 95% confidence interval (CI) 20.1-41.7) compared to placebo ∆tB-tC = 10.5 ± 26; 95% CI 0.4-20.5; P = <0.001] and left atrial end-systolic volume index (LAESVI: ∆tB-tC = 15.7 ± 15.1; 95% CI 9.8-21.6 vs. placebo ∆tB-tC = 9.7 ± 10.2; 95% CI 5.7-13.6; P = 0.016) compared to placebo.

Conclusion: Immediate addition of empagliflozin to standard therapy improves echocardiographic parameters of LAV in patients following recompensation of ADHF.

Abstract Image

Abstract Image

Abstract Image

恩格列净对超声心动图左心房和心室充盈参数的急性影响——对EMPAG-HF试验的亚分析。
背景:钠-葡萄糖共转运蛋白2 (SGLT2)抑制剂可改善慢性心力衰竭的预后,是目前推荐的治疗策略的一部分。经胸超声心动图(TTE)经常用于评估急性心力衰竭的心功能和尺寸,以指导治疗和评估容量状况。急性心力衰竭患者接受SGLT2抑制剂治疗后,超声心动图测量的即时变化,特别是左心血流动力学参数,仍然未知。目的:这项预先定义的二次分析的目的是评估急性心力衰竭患者使用恩格列净25mg /天治疗是否能改善负荷、左心室或右心室功能的超声心动图参数。方法和结果:在单中心、前瞻性、双盲、安慰剂对照的EMPAG-HF试验中,筛选急性失代偿性心力衰竭(ADHF)患者,并在入院后12小时内随机接受恩帕列净或安慰剂治疗,外加5天的标准药物治疗。60例患者入组并随机分组,与左室射血分数或糖尿病无关。所有患者在入院时(tB =基线时)和完成研究治疗后(tC =完成研究用药后的时间)(根据研究设计)均接受2D TTE。使用专用软件(Image-Arena™Version 4.6;TomTec Imaging Systems)。治疗5天后,恩格列净组患者左房容积相应下降[LAV:∆tB-tC = 30.9±27.4;95%置信区间(CI) 20.1-41.7)与安慰剂相比∆tB-tC = 10.5±26;95% ci 0.4-20.5;结论:在标准治疗中立即加入恩格列净可改善ADHF再代偿后患者LAV超声心动图参数。
本文章由计算机程序翻译,如有差异,请以英文原文为准。
求助全文
约1分钟内获得全文 求助全文
来源期刊
European Heart Journal - Cardiovascular Pharmacotherapy
European Heart Journal - Cardiovascular Pharmacotherapy Medicine-Cardiology and Cardiovascular Medicine
CiteScore
10.10
自引率
14.10%
发文量
65
期刊介绍: The European Heart Journal - Cardiovascular Pharmacotherapy (EHJ-CVP) is an international, peer-reviewed journal published in English, specifically dedicated to clinical cardiovascular pharmacology. EHJ-CVP publishes original articles focusing on clinical research involving both new and established drugs and methods, along with meta-analyses and topical reviews. The journal's primary aim is to enhance the pharmacological treatment of patients with cardiovascular disease by interpreting and integrating new scientific developments in this field. While the emphasis is on clinical topics, EHJ-CVP also considers basic research articles from fields such as physiology and molecular biology that contribute to the understanding of cardiovascular drug therapy. These may include articles related to new drug development and evaluation, the physiological and pharmacological basis of drug action, metabolism, drug interactions, and side effects.
×
引用
GB/T 7714-2015
复制
MLA
复制
APA
复制
导出至
BibTeX EndNote RefMan NoteFirst NoteExpress
×
提示
您的信息不完整,为了账户安全,请先补充。
现在去补充
×
提示
您因"违规操作"
具体请查看互助需知
我知道了
×
提示
确定
请完成安全验证×
copy
已复制链接
快去分享给好友吧!
我知道了
右上角分享
点击右上角分享
0
联系我们:info@booksci.cn Book学术提供免费学术资源搜索服务,方便国内外学者检索中英文文献。致力于提供最便捷和优质的服务体验。 Copyright © 2023 布克学术 All rights reserved.
京ICP备2023020795号-1
ghs 京公网安备 11010802042870号
Book学术文献互助
Book学术文献互助群
群 号:604180095
Book学术官方微信