Would Integrating Inspiratory Muscle Training into Pulmonary Rehabilitation of Adults with Burn Injuries Have Any Advantageous Effects? a Randomized, Double-Blind, Sham-controlled Study.

IF 2.9 Q1 REHABILITATION
Annals of Rehabilitation Medicine-ARM Pub Date : 2025-02-01 Epub Date: 2025-02-28 DOI:10.5535/arm.240092
Nabil Mahmoud Abdel-Aal, Maged A Basha, Saleh M Aloraini, Alshimaa R Azab, FatmaAlzahraa H Kamel
{"title":"Would Integrating Inspiratory Muscle Training into Pulmonary Rehabilitation of Adults with Burn Injuries Have Any Advantageous Effects? a Randomized, Double-Blind, Sham-controlled Study.","authors":"Nabil Mahmoud Abdel-Aal, Maged A Basha, Saleh M Aloraini, Alshimaa R Azab, FatmaAlzahraa H Kamel","doi":"10.5535/arm.240092","DOIUrl":null,"url":null,"abstract":"<p><strong>Objective: </strong>To determine the effectiveness of adding inspiratory muscle training (IMT) alongside a pulmonary rehabilitation protocol in terms of inspiratory muscle strength, lung function, and exercise capacity in burned adults.</p><p><strong>Methods: </strong>A randomized, double-blinded, sham-controlled study. Fifty-two adult patients with burn injuries, more than 20 years old and at least 20% total body surface area, were assigned randomly either to the experimental or the conventional group. The participants in the experimental group were given IMT plus a pulmonary rehabilitation program; the conventional group received only a pulmonary rehabilitation program. The interventions were performed for 8 weeks. At the beginning and after 8 weeks of training, the respiratory muscles' strength, lung function and exercise capacity were all examined.</p><p><strong>Results: </strong>After 2 months of training, the experimental group demonstrated statistically significant improvements than conventional group in maximum inspiratory pressure, maximum expiratory pressure, 6-minute walk test, forced vital capacity, and forced expiratory volume in 1 second (p<0.05).</p><p><strong>Conclusion: </strong>An 8-week IMT program coupled with pulmonary rehabilitation increases respiratory muscle strength, pulmonary functions, and functional capacity in burn patients. IMT is a beneficial and efficient therapy that can be easily implemented for burn patients.</p>","PeriodicalId":47738,"journal":{"name":"Annals of Rehabilitation Medicine-ARM","volume":"49 1","pages":"30-39"},"PeriodicalIF":2.9000,"publicationDate":"2025-02-01","publicationTypes":"Journal Article","fieldsOfStudy":null,"isOpenAccess":false,"openAccessPdf":"https://www.ncbi.nlm.nih.gov/pmc/articles/PMC11895059/pdf/","citationCount":"0","resultStr":null,"platform":"Semanticscholar","paperid":null,"PeriodicalName":"Annals of Rehabilitation Medicine-ARM","FirstCategoryId":"1085","ListUrlMain":"https://doi.org/10.5535/arm.240092","RegionNum":0,"RegionCategory":null,"ArticlePicture":[],"TitleCN":null,"AbstractTextCN":null,"PMCID":null,"EPubDate":"2025/2/28 0:00:00","PubModel":"Epub","JCR":"Q1","JCRName":"REHABILITATION","Score":null,"Total":0}
引用次数: 0

Abstract

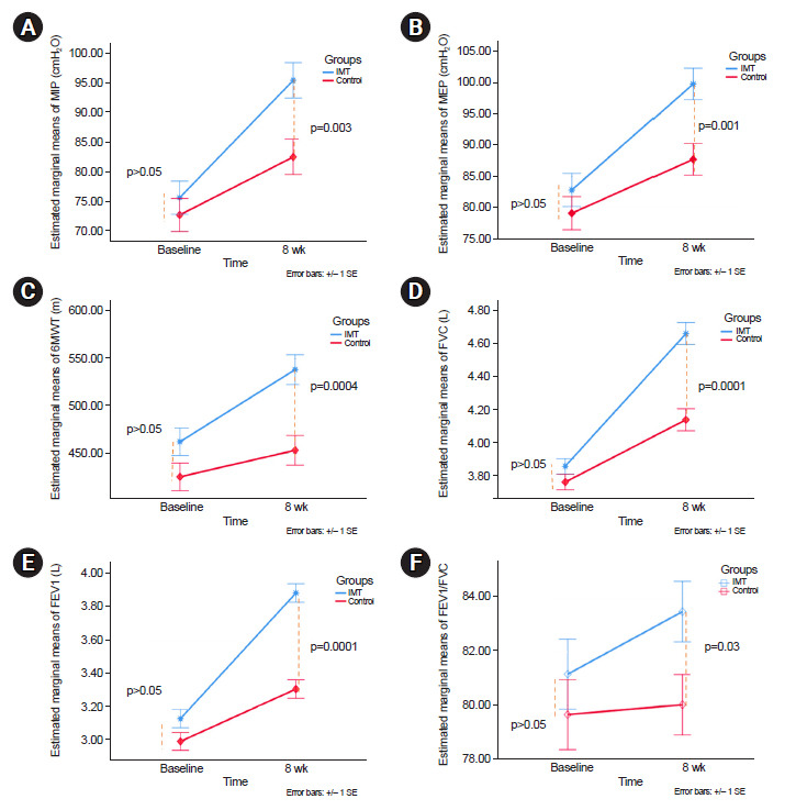
Objective: To determine the effectiveness of adding inspiratory muscle training (IMT) alongside a pulmonary rehabilitation protocol in terms of inspiratory muscle strength, lung function, and exercise capacity in burned adults.

Methods: A randomized, double-blinded, sham-controlled study. Fifty-two adult patients with burn injuries, more than 20 years old and at least 20% total body surface area, were assigned randomly either to the experimental or the conventional group. The participants in the experimental group were given IMT plus a pulmonary rehabilitation program; the conventional group received only a pulmonary rehabilitation program. The interventions were performed for 8 weeks. At the beginning and after 8 weeks of training, the respiratory muscles' strength, lung function and exercise capacity were all examined.

Results: After 2 months of training, the experimental group demonstrated statistically significant improvements than conventional group in maximum inspiratory pressure, maximum expiratory pressure, 6-minute walk test, forced vital capacity, and forced expiratory volume in 1 second (p<0.05).

Conclusion: An 8-week IMT program coupled with pulmonary rehabilitation increases respiratory muscle strength, pulmonary functions, and functional capacity in burn patients. IMT is a beneficial and efficient therapy that can be easily implemented for burn patients.

Abstract Image

Abstract Image

Abstract Image

将吸气肌训练纳入成人烧伤肺康复是否有任何有利的效果?一项随机、双盲、假对照研究。
目的:确定在肺康复方案中加入吸气肌训练(IMT)对烧伤成人的吸气肌力量、肺功能和运动能力的有效性。方法:随机、双盲、假对照研究。将52例年龄大于20岁且体表面积大于20%的成年烧伤患者随机分为实验组和常规组。实验组接受IMT +肺康复治疗;常规组只接受肺部康复治疗。干预时间为8周。在训练开始时和训练8周后,分别检测呼吸肌肉力量、肺功能和运动能力。结果:经过2个月的训练,实验组在最大吸气压力、最大呼气压力、6分钟步行测试、用力肺活量和1秒用力呼气量方面比常规组有统计学意义的改善(结论:8周的IMT计划结合肺部康复可提高烧伤患者的呼吸肌力量、肺功能和功能容量。IMT是一种有益且有效的治疗方法,可以很容易地对烧伤患者实施。
本文章由计算机程序翻译,如有差异,请以英文原文为准。
求助全文
约1分钟内获得全文 求助全文
来源期刊
CiteScore
2.50
自引率
7.70%
发文量
32
审稿时长
30 weeks
×
引用
GB/T 7714-2015
复制
MLA
复制
APA
复制
导出至
BibTeX EndNote RefMan NoteFirst NoteExpress
×
提示
您的信息不完整,为了账户安全,请先补充。
现在去补充
×
提示
您因"违规操作"
具体请查看互助需知
我知道了
×
提示
确定
请完成安全验证×
copy
已复制链接
快去分享给好友吧!
我知道了
右上角分享
点击右上角分享
0
联系我们:info@booksci.cn Book学术提供免费学术资源搜索服务,方便国内外学者检索中英文文献。致力于提供最便捷和优质的服务体验。 Copyright © 2023 布克学术 All rights reserved.
京ICP备2023020795号-1
ghs 京公网安备 11010802042870号
Book学术文献互助
Book学术文献互助群
群 号:604180095
Book学术官方微信