Comparison of inflammatory biomarker levels in neurodegenerative proteinopathies: a case-control study.

IF 4 4区 医学 Q2 CLINICAL NEUROLOGY
Journal of Neural Transmission Pub Date : 2025-06-01 Epub Date: 2025-03-03 DOI:10.1007/s00702-025-02902-6
Sarah E V Cook, Kateřina Menšíková, Dorota Koníčková, Hedvika Šlanhofová, Kateřina Klíčová, Milan Raška, Jana Zapletalová, David Friedecký, Petr Kaňovský
{"title":"Comparison of inflammatory biomarker levels in neurodegenerative proteinopathies: a case-control study.","authors":"Sarah E V Cook, Kateřina Menšíková, Dorota Koníčková, Hedvika Šlanhofová, Kateřina Klíčová, Milan Raška, Jana Zapletalová, David Friedecký, Petr Kaňovský","doi":"10.1007/s00702-025-02902-6","DOIUrl":null,"url":null,"abstract":"<p><p>While diagnostic criteria have been established and validated for most neurodegenerative diseases, the considerable overlap between individual nosological entities remains a significant diagnostic challenge. Increasing evidence suggests that neurodegeneration is often initiated by inflammation within the central nervous system. The identification of inflammation could serve as a first signal of the pathophysiological process. As such, validated biological markers (\"biomarkers\") of neuroinflammation are critically important. This study aimed to assess the presence and levels of inflammatory biomarkers in three neurodegenerative diseases: Lewy body diseases (LBD), multiple system atrophy (MSA), and 4-repeat tauopathies (4RT). A total of 83 LBD, 24 MSA, and 31 4RT patients were included, with 83 control subjects for comparison. Six immune-related proteins were analysed in cerebrospinal fluid (CSF) and blood serum (serum): C3 complement, C4 complement, haptoglobin, transferrin, orosomucoid, and β2 microglobulin (β2M). ANCOVA statistical analysis revealed significantly lower levels of several inflammatory biomarkers in LBD (CSF: transferrin, C3 complement, orosomucoid; Serum: orosomucoid, β2M) and MSA (CSF: transferrin, C3 complement, C4 complement, orosomucoid) compared to controls. Significant differences were also observed between the synucleinopathy patient groups (LBD and MSA) and 4RT in serum levels of C3 complement. Additionally, the CSF/serum quotients for transferrin (LBD and MSA) and C3 complement (LBD) were significantly lower in disease relative to controls. These findings suggest that inflammatory processes may play a role in the pathophysiology of neurodegenerative proteinopathies, warranting further research to confirm these associations. The identification of potential fluid biomarkers would then represent a promising step forward in the field.</p>","PeriodicalId":16579,"journal":{"name":"Journal of Neural Transmission","volume":" ","pages":"811-826"},"PeriodicalIF":4.0000,"publicationDate":"2025-06-01","publicationTypes":"Journal Article","fieldsOfStudy":null,"isOpenAccess":false,"openAccessPdf":"https://www.ncbi.nlm.nih.gov/pmc/articles/PMC12116722/pdf/","citationCount":"0","resultStr":null,"platform":"Semanticscholar","paperid":null,"PeriodicalName":"Journal of Neural Transmission","FirstCategoryId":"3","ListUrlMain":"https://doi.org/10.1007/s00702-025-02902-6","RegionNum":4,"RegionCategory":"医学","ArticlePicture":[],"TitleCN":null,"AbstractTextCN":null,"PMCID":null,"EPubDate":"2025/3/3 0:00:00","PubModel":"Epub","JCR":"Q2","JCRName":"CLINICAL NEUROLOGY","Score":null,"Total":0}
引用次数: 0

Abstract

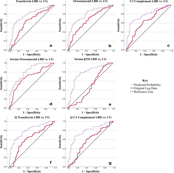
While diagnostic criteria have been established and validated for most neurodegenerative diseases, the considerable overlap between individual nosological entities remains a significant diagnostic challenge. Increasing evidence suggests that neurodegeneration is often initiated by inflammation within the central nervous system. The identification of inflammation could serve as a first signal of the pathophysiological process. As such, validated biological markers ("biomarkers") of neuroinflammation are critically important. This study aimed to assess the presence and levels of inflammatory biomarkers in three neurodegenerative diseases: Lewy body diseases (LBD), multiple system atrophy (MSA), and 4-repeat tauopathies (4RT). A total of 83 LBD, 24 MSA, and 31 4RT patients were included, with 83 control subjects for comparison. Six immune-related proteins were analysed in cerebrospinal fluid (CSF) and blood serum (serum): C3 complement, C4 complement, haptoglobin, transferrin, orosomucoid, and β2 microglobulin (β2M). ANCOVA statistical analysis revealed significantly lower levels of several inflammatory biomarkers in LBD (CSF: transferrin, C3 complement, orosomucoid; Serum: orosomucoid, β2M) and MSA (CSF: transferrin, C3 complement, C4 complement, orosomucoid) compared to controls. Significant differences were also observed between the synucleinopathy patient groups (LBD and MSA) and 4RT in serum levels of C3 complement. Additionally, the CSF/serum quotients for transferrin (LBD and MSA) and C3 complement (LBD) were significantly lower in disease relative to controls. These findings suggest that inflammatory processes may play a role in the pathophysiology of neurodegenerative proteinopathies, warranting further research to confirm these associations. The identification of potential fluid biomarkers would then represent a promising step forward in the field.

Abstract Image

Abstract Image

Abstract Image

神经退行性蛋白病变中炎症生物标志物水平的比较:一项病例对照研究。
虽然大多数神经退行性疾病的诊断标准已经建立并得到验证,但个体疾病实体之间的相当大的重叠仍然是一个重大的诊断挑战。越来越多的证据表明,神经退行性变通常是由中枢神经系统的炎症引起的。炎症的识别可以作为病理生理过程的第一个信号。因此,神经炎症的有效生物标志物(“生物标志物”)是至关重要的。本研究旨在评估三种神经退行性疾病中炎症生物标志物的存在和水平:路易体病(LBD)、多系统萎缩(MSA)和4重复tau病变(4RT)。共纳入LBD患者83例,MSA患者24例,4RT患者31例,对照组83例。分析了脑脊液(CSF)和血清(血清)中6种免疫相关蛋白:C3补体、C4补体、触珠蛋白、转铁蛋白、orosomucoid和β2微球蛋白(β2M)。ANCOVA统计分析显示,LBD (CSF)中几种炎症生物标志物水平显著降低:转铁蛋白、C3补体、orosomucoid;血清:orosomucoid, β2M)和MSA (CSF:转铁蛋白,C3补体,C4补体,orosomucoid)与对照组比较。突触核蛋白病患者组(LBD组和MSA组)和4RT组血清C3补体水平也有显著差异。此外,与对照组相比,疾病患者的CSF/血清转铁蛋白(LBD和MSA)和C3补体(LBD)的商数显著降低。这些发现表明,炎症过程可能在神经退行性蛋白病的病理生理中发挥作用,需要进一步的研究来证实这些关联。潜在流体生物标志物的鉴定将是该领域向前迈出的有希望的一步。
本文章由计算机程序翻译,如有差异,请以英文原文为准。
求助全文
约1分钟内获得全文 求助全文
来源期刊
Journal of Neural Transmission
Journal of Neural Transmission 医学-临床神经学
CiteScore
7.20
自引率
3.00%
发文量
112
审稿时长
2 months
期刊介绍: The investigation of basic mechanisms involved in the pathogenesis of neurological and psychiatric disorders has undoubtedly deepened our knowledge of these types of disorders. The impact of basic neurosciences on the understanding of the pathophysiology of the brain will further increase due to important developments such as the emergence of more specific psychoactive compounds and new technologies. The Journal of Neural Transmission aims to establish an interface between basic sciences and clinical neurology and psychiatry. It intends to put a special emphasis on translational publications of the newest developments in the field from all disciplines of the neural sciences that relate to a better understanding and treatment of neurological and psychiatric disorders.
×
引用
GB/T 7714-2015
复制
MLA
复制
APA
复制
导出至
BibTeX EndNote RefMan NoteFirst NoteExpress
×
提示
您的信息不完整,为了账户安全,请先补充。
现在去补充
×
提示
您因"违规操作"
具体请查看互助需知
我知道了
×
提示
确定
请完成安全验证×
copy
已复制链接
快去分享给好友吧!
我知道了
右上角分享
点击右上角分享
0
联系我们:info@booksci.cn Book学术提供免费学术资源搜索服务,方便国内外学者检索中英文文献。致力于提供最便捷和优质的服务体验。 Copyright © 2023 布克学术 All rights reserved.
京ICP备2023020795号-1
ghs 京公网安备 11010802042870号
Book学术文献互助
Book学术文献互助群
群 号:604180095
Book学术官方微信