Development of a deep learning radiomics model combining lumbar CT, multi-sequence MRI, and clinical data to predict high-risk cage subsidence after lumbar fusion: a retrospective multicenter study.

IF 2.9 4区 医学 Q3 ENGINEERING, BIOMEDICAL
Congying Zou, Ruiyuan Chen, Baodong Wang, Qi Fei, Hongxing Song, Lei Zang
{"title":"Development of a deep learning radiomics model combining lumbar CT, multi-sequence MRI, and clinical data to predict high-risk cage subsidence after lumbar fusion: a retrospective multicenter study.","authors":"Congying Zou, Ruiyuan Chen, Baodong Wang, Qi Fei, Hongxing Song, Lei Zang","doi":"10.1186/s12938-025-01355-y","DOIUrl":null,"url":null,"abstract":"<p><strong>Background: </strong>To develop and validate a model that integrates clinical data, deep learning radiomics, and radiomic features to predict high-risk patients for cage subsidence (CS) after lumbar fusion.</p><p><strong>Methods: </strong>This study analyzed preoperative CT and MRI data from 305 patients undergoing lumbar fusion surgery from three centers. Using a deep learning model based on 3D vision transformations, the data were divided the dataset into training (n = 214), validation (n = 61), and test (n = 30) groups. Feature selection was performed using LASSO regression, followed by the development of a logistic regression model. The predictive ability of the model was assessed using various machine learning algorithms, and a combined clinical model was also established.</p><p><strong>Results: </strong>Ultimately, 11 traditional radiomic features, 5 deep learning radiomic features, and 1 clinical feature were selected. The combined model demonstrated strong predictive performance, with area under the curve (AUC) values of 0.941, 0.832, and 0.935 for the training, validation, and test groups, respectively. Notably, our model outperformed predictions made by two experienced surgeons.</p><p><strong>Conclusions: </strong>This study developed a robust predictive model that integrates clinical features and imaging data to identify high-risk patients for CS following lumbar fusion. This model has the potential to improve clinical decision-making and reduce the need for revision surgeries, easing the burden on healthcare systems.</p>","PeriodicalId":8927,"journal":{"name":"BioMedical Engineering OnLine","volume":"24 1","pages":"27"},"PeriodicalIF":2.9000,"publicationDate":"2025-03-02","publicationTypes":"Journal Article","fieldsOfStudy":null,"isOpenAccess":false,"openAccessPdf":"https://www.ncbi.nlm.nih.gov/pmc/articles/PMC11872306/pdf/","citationCount":"0","resultStr":null,"platform":"Semanticscholar","paperid":null,"PeriodicalName":"BioMedical Engineering OnLine","FirstCategoryId":"5","ListUrlMain":"https://doi.org/10.1186/s12938-025-01355-y","RegionNum":4,"RegionCategory":"医学","ArticlePicture":[],"TitleCN":null,"AbstractTextCN":null,"PMCID":null,"EPubDate":"","PubModel":"","JCR":"Q3","JCRName":"ENGINEERING, BIOMEDICAL","Score":null,"Total":0}
引用次数: 0

Abstract

Background: To develop and validate a model that integrates clinical data, deep learning radiomics, and radiomic features to predict high-risk patients for cage subsidence (CS) after lumbar fusion.

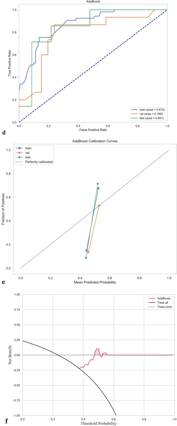
Methods: This study analyzed preoperative CT and MRI data from 305 patients undergoing lumbar fusion surgery from three centers. Using a deep learning model based on 3D vision transformations, the data were divided the dataset into training (n = 214), validation (n = 61), and test (n = 30) groups. Feature selection was performed using LASSO regression, followed by the development of a logistic regression model. The predictive ability of the model was assessed using various machine learning algorithms, and a combined clinical model was also established.

Results: Ultimately, 11 traditional radiomic features, 5 deep learning radiomic features, and 1 clinical feature were selected. The combined model demonstrated strong predictive performance, with area under the curve (AUC) values of 0.941, 0.832, and 0.935 for the training, validation, and test groups, respectively. Notably, our model outperformed predictions made by two experienced surgeons.

Conclusions: This study developed a robust predictive model that integrates clinical features and imaging data to identify high-risk patients for CS following lumbar fusion. This model has the potential to improve clinical decision-making and reduce the need for revision surgeries, easing the burden on healthcare systems.

Abstract Image

Abstract Image

Abstract Image

结合腰椎 CT、多序列 MRI 和临床数据开发深度学习放射组学模型,以预测腰椎融合术后高风险骨架下沉:一项回顾性多中心研究。
背景:开发并验证一个整合临床数据、深度学习放射组学和放射学特征的模型,以预测腰椎融合术后笼子下沉(CS)的高危患者。方法:本研究分析了来自三个中心的305例腰椎融合术患者的术前CT和MRI资料。使用基于3D视觉转换的深度学习模型,将数据集分为训练组(n = 214)、验证组(n = 61)和测试组(n = 30)。使用LASSO回归进行特征选择,然后开发逻辑回归模型。使用各种机器学习算法评估模型的预测能力,并建立联合临床模型。结果:最终选择了11个传统放射学特征、5个深度学习放射学特征和1个临床特征。联合模型具有较强的预测性能,训练组、验证组和测试组的曲线下面积(AUC)分别为0.941、0.832和0.935。值得注意的是,我们的模型优于两位经验丰富的外科医生所做的预测。结论:该研究建立了一个强大的预测模型,结合临床特征和影像学数据来识别腰椎融合术后CS的高危患者。这种模式有可能改善临床决策,减少对翻修手术的需求,减轻医疗保健系统的负担。
本文章由计算机程序翻译,如有差异,请以英文原文为准。
求助全文
约1分钟内获得全文 求助全文
来源期刊
BioMedical Engineering OnLine
BioMedical Engineering OnLine 工程技术-工程:生物医学
CiteScore
6.70
自引率
2.60%
发文量
79
审稿时长
1 months
期刊介绍: BioMedical Engineering OnLine is an open access, peer-reviewed journal that is dedicated to publishing research in all areas of biomedical engineering. BioMedical Engineering OnLine is aimed at readers and authors throughout the world, with an interest in using tools of the physical and data sciences and techniques in engineering to understand and solve problems in the biological and medical sciences. Topical areas include, but are not limited to: Bioinformatics- Bioinstrumentation- Biomechanics- Biomedical Devices & Instrumentation- Biomedical Signal Processing- Healthcare Information Systems- Human Dynamics- Neural Engineering- Rehabilitation Engineering- Biomaterials- Biomedical Imaging & Image Processing- BioMEMS and On-Chip Devices- Bio-Micro/Nano Technologies- Biomolecular Engineering- Biosensors- Cardiovascular Systems Engineering- Cellular Engineering- Clinical Engineering- Computational Biology- Drug Delivery Technologies- Modeling Methodologies- Nanomaterials and Nanotechnology in Biomedicine- Respiratory Systems Engineering- Robotics in Medicine- Systems and Synthetic Biology- Systems Biology- Telemedicine/Smartphone Applications in Medicine- Therapeutic Systems, Devices and Technologies- Tissue Engineering
×
引用
GB/T 7714-2015
复制
MLA
复制
APA
复制
导出至
BibTeX EndNote RefMan NoteFirst NoteExpress
×
提示
您的信息不完整,为了账户安全,请先补充。
现在去补充
×
提示
您因"违规操作"
具体请查看互助需知
我知道了
×
提示
确定
请完成安全验证×
copy
已复制链接
快去分享给好友吧!
我知道了
右上角分享
点击右上角分享
0
联系我们:info@booksci.cn Book学术提供免费学术资源搜索服务,方便国内外学者检索中英文文献。致力于提供最便捷和优质的服务体验。 Copyright © 2023 布克学术 All rights reserved.
京ICP备2023020795号-1
ghs 京公网安备 11010802042870号
Book学术文献互助
Book学术文献互助群
群 号:604180095
Book学术官方微信