Value and Implementation of Patient and Public Involvement and Engagement in Health Technology Assessment for Japan: implications from systematic searches.

IF 3.1 4区 医学 Q2 HEALTH CARE SCIENCES & SERVICES
Takako Kaneyasu
{"title":"Value and Implementation of Patient and Public Involvement and Engagement in Health Technology Assessment for Japan: implications from systematic searches.","authors":"Takako Kaneyasu","doi":"10.1017/S026646232500008X","DOIUrl":null,"url":null,"abstract":"<p><strong>Objectives: </strong>This study comprehensively reviewed reports on patient and public involvement and engagement (PPIE) in health technology assessment (HTA) overseas and identified the status and possible future measures, of PPIE in Japanese HTA.</p><p><strong>Methods: </strong>The series of reviews targeted systematic reviews (SR#1), references in SR#1 (SR#2), and new articles after SR#1 (SR#3). The MEDLINE and Embase databases were searched through August 2024 using the terms \"patient involvement/engagement,\" \"patient participation,\" \"community participation,\" \"public involvement/engagement,\" and \"health technology assessment.\" The implementation details were extracted from information published on the websites of the HTA agencies.</p><p><strong>Results: </strong>Three review articles in SR#1, 12 references in SR#2, and 10 articles in SR#3 were selected. The opportunities for countries, including Japan, to participate in discussions on the HTA process did not differ significantly; however, information on PPIE in Japan was scarce and did not indicate their purpose and value.</p><p><strong>Conclusions: </strong>Collected articles indicated that the value of PPIE in HTA includes relevance, equity, fairness, legitimacy, and capacity building. The participation of patient and public representatives in Japanese discussions since 2005 appeared to be very limited to consider PPIE in HTA. In countries that implement PPIE in HTA, the value of PPIE is explicit: the process guidelines are specific and provide an appropriate environment for input that includes education, training, and feedback. Future reforms of the Japanese system will require discussions on PPIE purpose and value, implementation, and creating an environment in which a diverse range of patients and the public can easily express their views.</p>","PeriodicalId":14467,"journal":{"name":"International Journal of Technology Assessment in Health Care","volume":"41 1","pages":"e14"},"PeriodicalIF":3.1000,"publicationDate":"2025-02-28","publicationTypes":"Journal Article","fieldsOfStudy":null,"isOpenAccess":false,"openAccessPdf":"https://www.ncbi.nlm.nih.gov/pmc/articles/PMC11894397/pdf/","citationCount":"0","resultStr":null,"platform":"Semanticscholar","paperid":null,"PeriodicalName":"International Journal of Technology Assessment in Health Care","FirstCategoryId":"3","ListUrlMain":"https://doi.org/10.1017/S026646232500008X","RegionNum":4,"RegionCategory":"医学","ArticlePicture":[],"TitleCN":null,"AbstractTextCN":null,"PMCID":null,"EPubDate":"","PubModel":"","JCR":"Q2","JCRName":"HEALTH CARE SCIENCES & SERVICES","Score":null,"Total":0}
引用次数: 0

Abstract

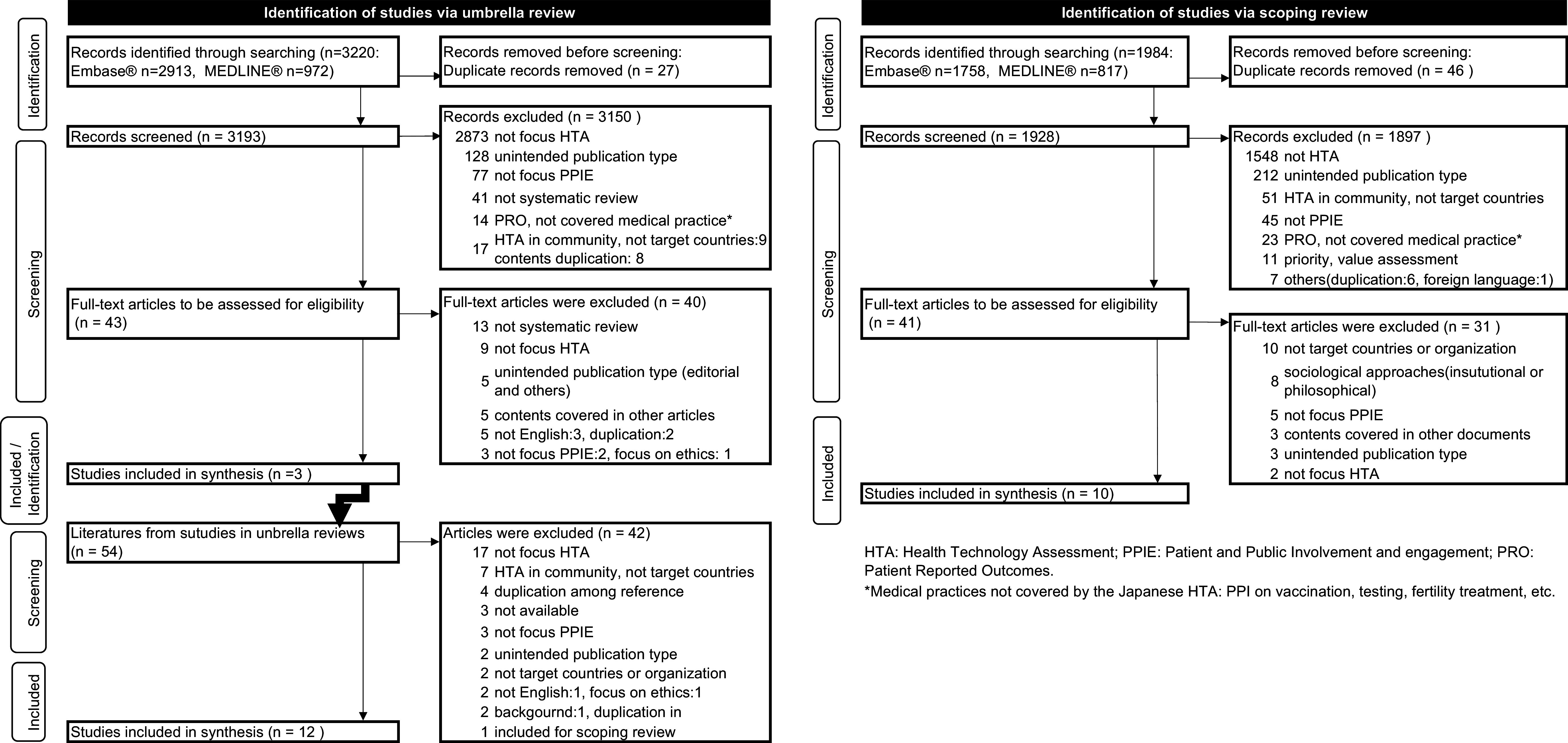
Objectives: This study comprehensively reviewed reports on patient and public involvement and engagement (PPIE) in health technology assessment (HTA) overseas and identified the status and possible future measures, of PPIE in Japanese HTA.

Methods: The series of reviews targeted systematic reviews (SR#1), references in SR#1 (SR#2), and new articles after SR#1 (SR#3). The MEDLINE and Embase databases were searched through August 2024 using the terms "patient involvement/engagement," "patient participation," "community participation," "public involvement/engagement," and "health technology assessment." The implementation details were extracted from information published on the websites of the HTA agencies.

Results: Three review articles in SR#1, 12 references in SR#2, and 10 articles in SR#3 were selected. The opportunities for countries, including Japan, to participate in discussions on the HTA process did not differ significantly; however, information on PPIE in Japan was scarce and did not indicate their purpose and value.

Conclusions: Collected articles indicated that the value of PPIE in HTA includes relevance, equity, fairness, legitimacy, and capacity building. The participation of patient and public representatives in Japanese discussions since 2005 appeared to be very limited to consider PPIE in HTA. In countries that implement PPIE in HTA, the value of PPIE is explicit: the process guidelines are specific and provide an appropriate environment for input that includes education, training, and feedback. Future reforms of the Japanese system will require discussions on PPIE purpose and value, implementation, and creating an environment in which a diverse range of patients and the public can easily express their views.

Abstract Image

Abstract Image

Abstract Image

日本卫生技术评估中患者和公众参与的价值和实施:来自系统搜索的影响。
目的:本研究全面回顾了国外关于卫生技术评估(HTA)中患者和公众参与(PPIE)的报道,并确定了日本HTA中PPIE的现状和可能的未来措施。方法:系列综述针对系统综述(SR#1)、SR#1中的参考文献(SR#2)和SR#1之后的新文章(SR#3)。到2024年8月,使用“患者参与/参与”、“患者参与”、“社区参与”、“公众参与/参与”和“卫生技术评估”等术语对MEDLINE和Embase数据库进行了搜索。实施细节摘自卫生事务管理局各机构网站上公布的信息。结果:在sr# 1中选择了3篇综述文章,在sr# 2中选择了12篇,在sr# 3中选择了10篇。包括日本在内的各国参与关于HTA进程的讨论的机会没有显著差异;然而,关于日本PPIE的资料很少,没有说明其目的和价值。结论:收集到的文献表明,PPIE在HTA中的价值包括相关性、公平性、公平性、合法性和能力建设。自2005年以来,患者和公众代表在日本讨论中的参与似乎非常有限,无法将PPIE纳入HTA。在HTA中实施PPIE的国家,PPIE的价值是明确的:过程指南是具体的,并为包括教育、培训和反馈在内的投入提供了适当的环境。日本制度的未来改革将需要讨论PPIE的目的和价值、实施,并创造一个让各种各样的患者和公众可以轻松表达意见的环境。
本文章由计算机程序翻译,如有差异,请以英文原文为准。
求助全文
约1分钟内获得全文 求助全文
来源期刊
International Journal of Technology Assessment in Health Care
International Journal of Technology Assessment in Health Care 医学-公共卫生、环境卫生与职业卫生
CiteScore
4.40
自引率
15.60%
发文量
116
审稿时长
6-12 weeks
期刊介绍: International Journal of Technology Assessment in Health Care serves as a forum for the wide range of health policy makers and professionals interested in the economic, social, ethical, medical and public health implications of health technology. It covers the development, evaluation, diffusion and use of health technology, as well as its impact on the organization and management of health care systems and public health. In addition to general essays and research reports, regular columns on technology assessment reports and thematic sections are published.
×
引用
GB/T 7714-2015
复制
MLA
复制
APA
复制
导出至
BibTeX EndNote RefMan NoteFirst NoteExpress
×
提示
您的信息不完整,为了账户安全,请先补充。
现在去补充
×
提示
您因"违规操作"
具体请查看互助需知
我知道了
×
提示
确定
请完成安全验证×
copy
已复制链接
快去分享给好友吧!
我知道了
右上角分享
点击右上角分享
0
联系我们:info@booksci.cn Book学术提供免费学术资源搜索服务,方便国内外学者检索中英文文献。致力于提供最便捷和优质的服务体验。 Copyright © 2023 布克学术 All rights reserved.
京ICP备2023020795号-1
ghs 京公网安备 11010802042870号
Book学术文献互助
Book学术文献互助群
群 号:604180095
Book学术官方微信