Air Pollution and Childhood Asthma Hospitalizations in Chengdu, China: A Time-Series Study.

IF 3 3区 医学 Q2 ALLERGY
Journal of Asthma and Allergy Pub Date : 2025-02-18 eCollection Date: 2025-01-01 DOI:10.2147/JAA.S498234
Zijin Chen, Lei Zhang, Tao Ai, Yinghong Fan, Yanru Liu, Li Wang, Cheng Xie
{"title":"Air Pollution and Childhood Asthma Hospitalizations in Chengdu, China: A Time-Series Study.","authors":"Zijin Chen, Lei Zhang, Tao Ai, Yinghong Fan, Yanru Liu, Li Wang, Cheng Xie","doi":"10.2147/JAA.S498234","DOIUrl":null,"url":null,"abstract":"<p><strong>Purpose: </strong>Research on the relationship between air pollutants and hospitalization for asthma in children in developing countries remains inadequate. This study aimed to assess the short-term effects of air pollutants, including sulfur dioxide (SO<sub>2</sub>), nitrogen dioxide (NO<sub>2</sub>), carbon monoxide (CO), ozone (O<sub>3</sub>), particulate matter ≤ 2.5 µm (PM<sub>2.5</sub>), and particulate matter ≤ 10 µm (PM<sub>10</sub>), on children hospitalized for asthma in Chengdu, China, from 2017-2022.</p><p><strong>Patients and methods: </strong>During the study period, 5592 children were hospitalized for asthma. A generalized additive model was used to control for seasonality, long-term trends, weather, day of the week, and holidays. The analysis was further stratified by age, sex, and season to estimate the associations.</p><p><strong>Results: </strong>PM<sub>2.5</sub>, PM<sub>10</sub>, SO<sub>2</sub>, NO<sub>2,</sub> and CO were significantly associated with an increased risk of hospitalization due to asthma. A 10 μg/m<sup>3</sup> increase in PM<sub>2.5</sub>, PM<sub>10,</sub> and CO at lag04 corresponded to an increase of 2.07%, 1.56%, and 0.33% in daily hospital admissions for asthma, respectively. A 10 μg/m<sup>3</sup> increase in SO<sub>2</sub> and NO<sub>2</sub> at lag05 corresponded to an increase of 45.69% and 8.16% in daily hospital admissions for asthma, respectively. Further analysis by age found that PM<sub>10</sub> and PM<sub>2.5</sub> had a greater impact on children aged 5-6 years old while NO<sub>2</sub> and CO mainly affected children under 7 years old. Analysis by by sex found that pollutants had a greater impact on hospital admissions in girls. Seasonal analysis revealed that pollutants had a more significant effect on admission during the winter.</p><p><strong>Conclusion: </strong>Our results suggest that increased concentrations of PM<sub>2.5</sub>, PM<sub>10</sub>, SO<sub>2</sub>, NO<sub>2,</sub> and CO in Chengdu lead to hospitalization for asthma in children and that a lag effect was observed, especially with SO<sub>2</sub>. These findings highlight the need for stricter air quality controls to reduce childhood asthma hospitalizations.</p>","PeriodicalId":15079,"journal":{"name":"Journal of Asthma and Allergy","volume":"18 ","pages":"229-243"},"PeriodicalIF":3.0000,"publicationDate":"2025-02-18","publicationTypes":"Journal Article","fieldsOfStudy":null,"isOpenAccess":false,"openAccessPdf":"https://www.ncbi.nlm.nih.gov/pmc/articles/PMC11846614/pdf/","citationCount":"0","resultStr":null,"platform":"Semanticscholar","paperid":null,"PeriodicalName":"Journal of Asthma and Allergy","FirstCategoryId":"3","ListUrlMain":"https://doi.org/10.2147/JAA.S498234","RegionNum":3,"RegionCategory":"医学","ArticlePicture":[],"TitleCN":null,"AbstractTextCN":null,"PMCID":null,"EPubDate":"2025/1/1 0:00:00","PubModel":"eCollection","JCR":"Q2","JCRName":"ALLERGY","Score":null,"Total":0}
引用次数: 0

Abstract

Purpose: Research on the relationship between air pollutants and hospitalization for asthma in children in developing countries remains inadequate. This study aimed to assess the short-term effects of air pollutants, including sulfur dioxide (SO2), nitrogen dioxide (NO2), carbon monoxide (CO), ozone (O3), particulate matter ≤ 2.5 µm (PM2.5), and particulate matter ≤ 10 µm (PM10), on children hospitalized for asthma in Chengdu, China, from 2017-2022.

Patients and methods: During the study period, 5592 children were hospitalized for asthma. A generalized additive model was used to control for seasonality, long-term trends, weather, day of the week, and holidays. The analysis was further stratified by age, sex, and season to estimate the associations.

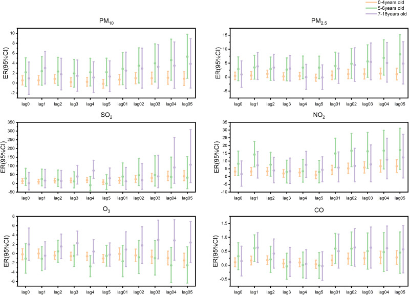
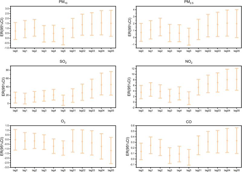
Results: PM2.5, PM10, SO2, NO2, and CO were significantly associated with an increased risk of hospitalization due to asthma. A 10 μg/m3 increase in PM2.5, PM10, and CO at lag04 corresponded to an increase of 2.07%, 1.56%, and 0.33% in daily hospital admissions for asthma, respectively. A 10 μg/m3 increase in SO2 and NO2 at lag05 corresponded to an increase of 45.69% and 8.16% in daily hospital admissions for asthma, respectively. Further analysis by age found that PM10 and PM2.5 had a greater impact on children aged 5-6 years old while NO2 and CO mainly affected children under 7 years old. Analysis by by sex found that pollutants had a greater impact on hospital admissions in girls. Seasonal analysis revealed that pollutants had a more significant effect on admission during the winter.

Conclusion: Our results suggest that increased concentrations of PM2.5, PM10, SO2, NO2, and CO in Chengdu lead to hospitalization for asthma in children and that a lag effect was observed, especially with SO2. These findings highlight the need for stricter air quality controls to reduce childhood asthma hospitalizations.

Abstract Image

Abstract Image

Abstract Image

中国成都空气污染与儿童哮喘住院:一项时间序列研究
目的:对发展中国家空气污染物与儿童哮喘住院之间关系的研究仍然不足。本研究旨在评估2017-2022年中国成都市空气污染物(包括二氧化硫(SO2)、二氧化氮(NO2)、一氧化碳(CO)、臭氧(O3)、颗粒物≤2.5µm (PM2.5)和颗粒物≤10µm (PM10))对哮喘住院儿童的短期影响。患者和方法:在研究期间,5592名儿童因哮喘住院。一个广义的加性模型被用来控制季节性、长期趋势、天气、一周中的哪一天和假期。分析进一步按年龄、性别和季节分层,以估计相关性。结果:PM2.5、PM10、SO2、NO2和CO与哮喘住院风险增加显著相关。4月份PM2.5、PM10和CO浓度每增加10 μg/m3,哮喘每日住院人数分别增加2.07%、1.56%和0.33%。在lag05, SO2和NO2每增加10 μg/m3对应的哮喘日住院人数分别增加45.69%和8.16%。进一步按年龄分析发现,PM10和PM2.5对5-6岁儿童的影响更大,而NO2和CO主要影响7岁以下儿童。按性别进行的分析发现,污染物对女孩住院的影响更大。季节分析显示,污染物对冬季入场的影响更为显著。结论:我们的研究结果表明,成都市PM2.5、PM10、SO2、NO2和CO浓度的升高导致儿童哮喘住院,且存在滞后效应,尤其是SO2。这些发现强调需要更严格的空气质量控制来减少儿童哮喘住院治疗。
本文章由计算机程序翻译,如有差异,请以英文原文为准。
求助全文
约1分钟内获得全文 求助全文
来源期刊
Journal of Asthma and Allergy
Journal of Asthma and Allergy Medicine-Immunology and Allergy
CiteScore
5.30
自引率
6.20%
发文量
185
审稿时长
16 weeks
期刊介绍: An international, peer-reviewed journal publishing original research, reports, editorials and commentaries on the following topics: Asthma; Pulmonary physiology; Asthma related clinical health; Clinical immunology and the immunological basis of disease; Pharmacological interventions and new therapies. Although the main focus of the journal will be to publish research and clinical results in humans, preclinical, animal and in vitro studies will be published where they shed light on disease processes and potential new therapies.
×
引用
GB/T 7714-2015
复制
MLA
复制
APA
复制
导出至
BibTeX EndNote RefMan NoteFirst NoteExpress
×
提示
您的信息不完整,为了账户安全,请先补充。
现在去补充
×
提示
您因"违规操作"
具体请查看互助需知
我知道了
×
提示
确定
请完成安全验证×
copy
已复制链接
快去分享给好友吧!
我知道了
右上角分享
点击右上角分享
0
联系我们:info@booksci.cn Book学术提供免费学术资源搜索服务,方便国内外学者检索中英文文献。致力于提供最便捷和优质的服务体验。 Copyright © 2023 布克学术 All rights reserved.
京ICP备2023020795号-1
ghs 京公网安备 11010802042870号
Book学术文献互助
Book学术文献互助群
群 号:604180095
Book学术官方微信