MiRNAs as biomarkers of nutritional therapy to achieve T2DM remission in patients with coronary heart disease: from the CORDIOPREV study.

IF 5.2 2区 医学 Q1 ENDOCRINOLOGY & METABOLISM
Juan Francisco Alcala-Diaz, Antonio Camargo, Cristina Vals-Delgado, Ana Leon-Acuña, Helena Garcia-Fernandez, Antonio P Arenas-de Larriva, Magdalena Perez-Cardelo, Marina Mora-Ortiz, Pablo Perez-Martinez, Javier Delgado-Lista, Maria Del Mar Malagon, Jose M Ordovas, Oriol Alberto Rangel-Zuñiga, Jose Lopez-Miranda
{"title":"MiRNAs as biomarkers of nutritional therapy to achieve T2DM remission in patients with coronary heart disease: from the CORDIOPREV study.","authors":"Juan Francisco Alcala-Diaz, Antonio Camargo, Cristina Vals-Delgado, Ana Leon-Acuña, Helena Garcia-Fernandez, Antonio P Arenas-de Larriva, Magdalena Perez-Cardelo, Marina Mora-Ortiz, Pablo Perez-Martinez, Javier Delgado-Lista, Maria Del Mar Malagon, Jose M Ordovas, Oriol Alberto Rangel-Zuñiga, Jose Lopez-Miranda","doi":"10.1038/s41387-025-00362-1","DOIUrl":null,"url":null,"abstract":"<p><strong>Background: </strong>Type 2 diabetes mellitus (T2DM) is currently a major global public health problem. Although disease remission is possible, few biomarkers have been identified which can help us select the diet that best promotes remission. Our aim was to study the potential of miRNAs as a tool to apply the Mediterranean diet or the low-fat diet in order to achieve T2DM remission in patients with coronary heart disease.</p><p><strong>Methods: </strong>From the CORDIOPREV study (n = 1002), a prospective, randomized, single-blind, controlled dietary intervention trial, all patients newly diagnosed with T2DM (n = 190) at baseline were included in the present study. Of these, after adhering to a low fat or Mediterranean diet for 60 months, 73 patients showed T2DM remission (Responders) and 110 continued with the disease (Non-responders). Plasma levels of 56 miRNAs were determined by RT-PCR. Generalized linear model, ROC curves and COX regression analyses were performed.</p><p><strong>Results: </strong>We observed that patients with low baseline plasma levels of miR-let7b-3p showed a high probability of T2DM remission after the consumption of a low-fat diet. In addition, patients with high levels of miR-141-5p, miR-182, and miR-192 at baseline showed a high probability of T2DM remission after following the Mediterranean diet. Scores built using miRNAs and clinical variables showed that high levels of a low-fat diet score and a high Mediterranean diet score were associated with a high probability of T2DM remission.</p><p><strong>Conclusion: </strong>MiRNAs could be used as a tool for selecting the most efficient nutritional therapy (mediterranean or low-fat diet) to achieve T2DM remission in patients with coronary heart disease.</p>","PeriodicalId":19339,"journal":{"name":"Nutrition & Diabetes","volume":"15 1","pages":"7"},"PeriodicalIF":5.2000,"publicationDate":"2025-02-22","publicationTypes":"Journal Article","fieldsOfStudy":null,"isOpenAccess":false,"openAccessPdf":"https://www.ncbi.nlm.nih.gov/pmc/articles/PMC11846967/pdf/","citationCount":"0","resultStr":null,"platform":"Semanticscholar","paperid":null,"PeriodicalName":"Nutrition & Diabetes","FirstCategoryId":"3","ListUrlMain":"https://doi.org/10.1038/s41387-025-00362-1","RegionNum":2,"RegionCategory":"医学","ArticlePicture":[],"TitleCN":null,"AbstractTextCN":null,"PMCID":null,"EPubDate":"","PubModel":"","JCR":"Q1","JCRName":"ENDOCRINOLOGY & METABOLISM","Score":null,"Total":0}
引用次数: 0

Abstract

Background: Type 2 diabetes mellitus (T2DM) is currently a major global public health problem. Although disease remission is possible, few biomarkers have been identified which can help us select the diet that best promotes remission. Our aim was to study the potential of miRNAs as a tool to apply the Mediterranean diet or the low-fat diet in order to achieve T2DM remission in patients with coronary heart disease.

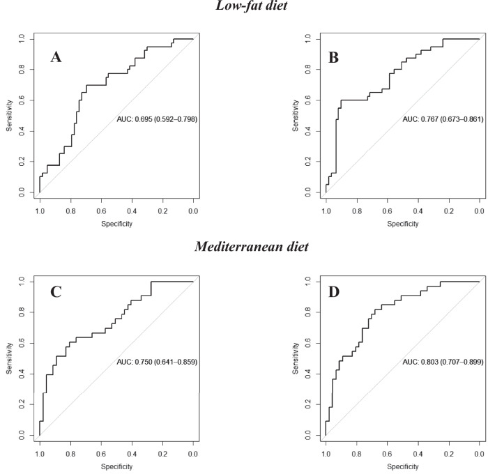
Methods: From the CORDIOPREV study (n = 1002), a prospective, randomized, single-blind, controlled dietary intervention trial, all patients newly diagnosed with T2DM (n = 190) at baseline were included in the present study. Of these, after adhering to a low fat or Mediterranean diet for 60 months, 73 patients showed T2DM remission (Responders) and 110 continued with the disease (Non-responders). Plasma levels of 56 miRNAs were determined by RT-PCR. Generalized linear model, ROC curves and COX regression analyses were performed.

Results: We observed that patients with low baseline plasma levels of miR-let7b-3p showed a high probability of T2DM remission after the consumption of a low-fat diet. In addition, patients with high levels of miR-141-5p, miR-182, and miR-192 at baseline showed a high probability of T2DM remission after following the Mediterranean diet. Scores built using miRNAs and clinical variables showed that high levels of a low-fat diet score and a high Mediterranean diet score were associated with a high probability of T2DM remission.

Conclusion: MiRNAs could be used as a tool for selecting the most efficient nutritional therapy (mediterranean or low-fat diet) to achieve T2DM remission in patients with coronary heart disease.

Abstract Image

Abstract Image

Abstract Image

mirna作为营养治疗实现冠心病患者T2DM缓解的生物标志物:来自CORDIOPREV研究
背景:2型糖尿病(T2DM)是目前全球主要的公共卫生问题。虽然疾病缓解是可能的,但很少有生物标志物可以帮助我们选择最能促进缓解的饮食。我们的目的是研究mirna作为一种应用地中海饮食或低脂饮食的工具的潜力,以实现冠心病患者的2型糖尿病缓解。方法:CORDIOPREV研究(n = 1002)是一项前瞻性、随机、单盲、对照饮食干预试验,所有基线时新诊断为T2DM的患者(n = 190)均纳入本研究。其中,在坚持低脂肪或地中海饮食60个月后,73名患者出现T2DM缓解(应答者),110名患者继续患有T2DM(无应答者)。RT-PCR检测56种mirna的血浆水平。采用广义线性模型、ROC曲线和COX回归分析。结果:我们观察到,低基线血浆miR-let7b-3p水平的患者在低脂饮食后T2DM缓解的可能性很高。此外,基线时miR-141-5p、miR-182和miR-192水平高的患者在地中海饮食后T2DM缓解的可能性很高。使用mirna和临床变量建立的评分显示,低脂饮食评分和高地中海饮食评分与T2DM缓解的高概率相关。结论:mirna可作为选择最有效的营养治疗(地中海或低脂饮食)的工具,以实现冠心病患者T2DM缓解。
本文章由计算机程序翻译,如有差异,请以英文原文为准。
求助全文
约1分钟内获得全文 求助全文
来源期刊
Nutrition & Diabetes
Nutrition & Diabetes ENDOCRINOLOGY & METABOLISM-NUTRITION & DIETETICS
CiteScore
9.20
自引率
0.00%
发文量
50
审稿时长
>12 weeks
期刊介绍: Nutrition & Diabetes is a peer-reviewed, online, open access journal bringing to the fore outstanding research in the areas of nutrition and chronic disease, including diabetes, from the molecular to the population level.
×
引用
GB/T 7714-2015
复制
MLA
复制
APA
复制
导出至
BibTeX EndNote RefMan NoteFirst NoteExpress
×
提示
您的信息不完整,为了账户安全,请先补充。
现在去补充
×
提示
您因"违规操作"
具体请查看互助需知
我知道了
×
提示
确定
请完成安全验证×
copy
已复制链接
快去分享给好友吧!
我知道了
右上角分享
点击右上角分享
0
联系我们:info@booksci.cn Book学术提供免费学术资源搜索服务,方便国内外学者检索中英文文献。致力于提供最便捷和优质的服务体验。 Copyright © 2023 布克学术 All rights reserved.
京ICP备2023020795号-1
ghs 京公网安备 11010802042870号
Book学术文献互助
Book学术文献互助群
群 号:604180095
Book学术官方微信