Fluoxetine Treatment in Epilepsy of Infancy with Migrating Focal Seizures Due to KCNT1 Variants: An Open Label Study

IF 7.7 1区 医学 Q1 CLINICAL NEUROLOGY
Marina Trivisano MD, PhD, Ilaria Mosca PhD, Licia Salimbene MD, Angela De Dominicis MD, Paolo Ambrosino PhD, Deborah Puzo MSc, Ilenio Servettini PhD, Cinzia Correale PsyD, Chiara Falamesca PsyD, Cristina Filosomi MSc, Bianca Goffredo BSc, Maria Virginia Soldovieri PhD, Maurizio Taglialatela MD, PhD, Nicola Specchio MD, PhD
{"title":"Fluoxetine Treatment in Epilepsy of Infancy with Migrating Focal Seizures Due to KCNT1 Variants: An Open Label Study","authors":"Marina Trivisano MD, PhD,&nbsp;Ilaria Mosca PhD,&nbsp;Licia Salimbene MD,&nbsp;Angela De Dominicis MD,&nbsp;Paolo Ambrosino PhD,&nbsp;Deborah Puzo MSc,&nbsp;Ilenio Servettini PhD,&nbsp;Cinzia Correale PsyD,&nbsp;Chiara Falamesca PsyD,&nbsp;Cristina Filosomi MSc,&nbsp;Bianca Goffredo BSc,&nbsp;Maria Virginia Soldovieri PhD,&nbsp;Maurizio Taglialatela MD, PhD,&nbsp;Nicola Specchio MD, PhD","doi":"10.1002/ana.27213","DOIUrl":null,"url":null,"abstract":"<div>\n \n <section>\n \n <h3> Objective</h3>\n \n <p>Gain-of-function (GoF) variants in <i>KCNT1</i> encoding for potassium channels are associated with different epilepsy phenotypes, including epilepsy of infancy with migrating focal seizures (EIMFS), other early infantile developmental and epileptic encephalopathies, and focal epilepsy. Fluoxetine blocks currents from both wild-type (WT) and mutant KCNT1 channels with GoF in vitro features. In this study, we tested the hypothesis that treatment with fluoxetine might improve clinical outcome in patients with EIMFS carrying GoF variants in KCNT1 channels showing in vitro sensitivity to fluoxetine blockade.</p>\n </section>\n \n <section>\n \n <h3> Methods</h3>\n \n <p>We enrolled three pediatric patients carring de novo KCNT1 genetic variants linked to EIMFS. Functional and pharmacological studies to assess fluoxetine's ability to counteract in vitro variant-induced functional effects were performed with patch-clamp electrophysiology on heterologous channel expression in mammalian Chinese hamster ovary cells. Neuropsychological assessment, electroencephalogram and seizure diary were evaluated at baseline and every 3 months during the study. Electrocardiography and blood levels of medications were monitored for safety.</p>\n </section>\n \n <section>\n \n <h3> Results</h3>\n \n <p>All 3 <i>KCNT1</i> variants displayed GoF effects in vitro. Exposure to fluoxetine (10μM) blocked both WT and mutant KCNT1 channels, therefore, counteracting variant-induced functional effects. Treatment with fluoxetine caused a variable reduction of seizure frequency (25–75%). Improvement in visual attention, participation, and muscle tone was also reported. No adverse events were reported except for transient dyskinesia in 1 patient, which was probably related to an increase in fluoxetine plasma level.</p>\n </section>\n \n <section>\n \n <h3> Interpretation</h3>\n \n <p>Fluoxetine may be a potential targeted medication in EIMFS caused by <i>KCNT1</i> GoF variants. Further research is needed to assess its long-term efficacy and safety. ANN NEUROL 2025;98:48–61</p>\n </section>\n </div>","PeriodicalId":127,"journal":{"name":"Annals of Neurology","volume":"98 1","pages":"48-61"},"PeriodicalIF":7.7000,"publicationDate":"2025-02-21","publicationTypes":"Journal Article","fieldsOfStudy":null,"isOpenAccess":false,"openAccessPdf":"https://onlinelibrary.wiley.com/doi/epdf/10.1002/ana.27213","citationCount":"0","resultStr":null,"platform":"Semanticscholar","paperid":null,"PeriodicalName":"Annals of Neurology","FirstCategoryId":"3","ListUrlMain":"https://onlinelibrary.wiley.com/doi/10.1002/ana.27213","RegionNum":1,"RegionCategory":"医学","ArticlePicture":[],"TitleCN":null,"AbstractTextCN":null,"PMCID":null,"EPubDate":"","PubModel":"","JCR":"Q1","JCRName":"CLINICAL NEUROLOGY","Score":null,"Total":0}
引用次数: 0

Abstract

Objective

Gain-of-function (GoF) variants in KCNT1 encoding for potassium channels are associated with different epilepsy phenotypes, including epilepsy of infancy with migrating focal seizures (EIMFS), other early infantile developmental and epileptic encephalopathies, and focal epilepsy. Fluoxetine blocks currents from both wild-type (WT) and mutant KCNT1 channels with GoF in vitro features. In this study, we tested the hypothesis that treatment with fluoxetine might improve clinical outcome in patients with EIMFS carrying GoF variants in KCNT1 channels showing in vitro sensitivity to fluoxetine blockade.

Methods

We enrolled three pediatric patients carring de novo KCNT1 genetic variants linked to EIMFS. Functional and pharmacological studies to assess fluoxetine's ability to counteract in vitro variant-induced functional effects were performed with patch-clamp electrophysiology on heterologous channel expression in mammalian Chinese hamster ovary cells. Neuropsychological assessment, electroencephalogram and seizure diary were evaluated at baseline and every 3 months during the study. Electrocardiography and blood levels of medications were monitored for safety.

Results

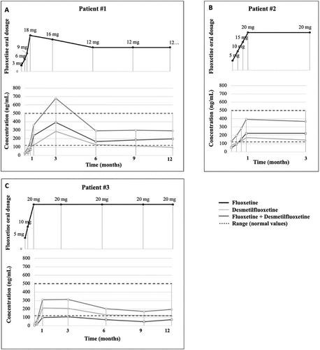
All 3 KCNT1 variants displayed GoF effects in vitro. Exposure to fluoxetine (10μM) blocked both WT and mutant KCNT1 channels, therefore, counteracting variant-induced functional effects. Treatment with fluoxetine caused a variable reduction of seizure frequency (25–75%). Improvement in visual attention, participation, and muscle tone was also reported. No adverse events were reported except for transient dyskinesia in 1 patient, which was probably related to an increase in fluoxetine plasma level.

Interpretation

Fluoxetine may be a potential targeted medication in EIMFS caused by KCNT1 GoF variants. Further research is needed to assess its long-term efficacy and safety. ANN NEUROL 2025;98:48–61

Abstract Image

氟西汀治疗KCNT1变异引起的婴儿期迁移性局灶性癫痫:一项开放标签研究
目的:编码钾通道的KCNT1的功能获得(GoF)变异与不同的癫痫表型相关,包括婴儿期癫痫伴迁移性局灶性癫痫(EIMFS),其他早期婴儿发育和癫痫性脑病,以及局灶性癫痫。氟西汀阻断野生型(WT)和突变型KCNT1通道的电流,具有GoF的体外特征。在这项研究中,我们验证了氟西汀治疗可能改善KCNT1通道中携带GoF变异的EIMFS患者的临床结果的假设,这些通道对氟西汀阻断具有体外敏感性。方法:我们招募了3名携带与EIMFS相关的KCNT1基因变异的儿童患者。采用膜片钳电生理技术对中国仓鼠卵巢细胞异源通道的表达进行了功能和药理学研究,以评估氟西汀对体外变异诱导的功能效应的抵消能力。在基线和研究期间每3个月评估一次神经心理学评估、脑电图和癫痫日记。监测心电图和血液药物水平以确保安全性。结果:所有3种KCNT1变体在体外均表现出GoF效应。暴露于氟西汀(10μM)可阻断WT和突变体KCNT1通道,从而抵消变异诱导的功能影响。氟西汀治疗可使癫痫发作频率有所降低(25-75%)。视觉注意力、参与和肌肉张力的改善也有报道。除1例患者出现短暂性运动障碍外,未见其他不良事件,可能与氟西汀血浆水平升高有关。结论:氟西汀可能是KCNT1 GoF变异引起的EIMFS的潜在靶向药物。需要进一步的研究来评估其长期疗效和安全性。Ann neurol 2025。
本文章由计算机程序翻译,如有差异,请以英文原文为准。
求助全文
约1分钟内获得全文 求助全文
来源期刊
Annals of Neurology
Annals of Neurology 医学-临床神经学
CiteScore
18.00
自引率
1.80%
发文量
270
审稿时长
3-8 weeks
期刊介绍: Annals of Neurology publishes original articles with potential for high impact in understanding the pathogenesis, clinical and laboratory features, diagnosis, treatment, outcomes and science underlying diseases of the human nervous system. Articles should ideally be of broad interest to the academic neurological community rather than solely to subspecialists in a particular field. Studies involving experimental model system, including those in cell and organ cultures and animals, of direct translational relevance to the understanding of neurological disease are also encouraged.
×
引用
GB/T 7714-2015
复制
MLA
复制
APA
复制
导出至
BibTeX EndNote RefMan NoteFirst NoteExpress
×
提示
您的信息不完整,为了账户安全,请先补充。
现在去补充
×
提示
您因"违规操作"
具体请查看互助需知
我知道了
×
提示
确定
请完成安全验证×
copy
已复制链接
快去分享给好友吧!
我知道了
右上角分享
点击右上角分享
0
联系我们:info@booksci.cn Book学术提供免费学术资源搜索服务,方便国内外学者检索中英文文献。致力于提供最便捷和优质的服务体验。 Copyright © 2023 布克学术 All rights reserved.
京ICP备2023020795号-1
ghs 京公网安备 11010802042870号
Book学术文献互助
Book学术文献互助群
群 号:604180095
Book学术官方微信