Acute unilateral vestibulopathy and corticosteroid treatment - A randomized placebo-controlled double-blind trial.

IF 3.3 3区 医学 Q2 NEUROSCIENCES
Julia Sjögren, Per-Anders Fransson, Måns Magnusson, Mikael Karlberg, Fredrik Tjernström
{"title":"Acute unilateral vestibulopathy and corticosteroid treatment - A randomized placebo-controlled double-blind trial.","authors":"Julia Sjögren, Per-Anders Fransson, Måns Magnusson, Mikael Karlberg, Fredrik Tjernström","doi":"10.1177/09574271241307649","DOIUrl":null,"url":null,"abstract":"<p><p>BackgroundThe efficacy of corticosteroids for treating acute vestibular neuritis, or acute unilateral vestibulopathy (AUVP), remains controversial.ObjectiveThis study aimed to evaluate whether corticosteroids improve vestibular function and reduce symptoms in both acute and chronic phases of AUVP.MethodsThis randomized, placebo-controlled, double-blind trial included patients with AUVP (ages 18-80) from emergency departments at three sites in southern Sweden. Patients were randomly assigned to one of three groups: placebo, 3-day or 10-day corticosteroid treatment. The steroid groups received intravenous betamethasone followed by oral steroids, while the placebo group received intravenous saline followed by oral placebo. The primary outcome was canal paresis (%) after 12 months, measured via caloric testing. Secondary outcomes included vHIT gain, Diary Vertigo score, Dizziness Handicap Inventory, and Hospital Anxiety and Depression Scale. Analyses were conducted on an intention-to-treat basis. The trial was registered with the EU Clinical Trials Register (EudraCT Number: 2014-005484-32) and ClinicalTrials.gov (NCT00802529).ResultsFrom December 2015 to March 2021, 350 patients were screened, and 69 were included: 23 in the 10-day corticosteroid group, 22 in the 3-day corticosteroid group, and 24 in the placebo group. All groups showed significant improvement in caloric function over time (<i>p</i> = .002), with no significant differences between groups at any time point (<i>p</i> = .629). Change in caloric asymmetry from baseline to 12 months did not differ between the treatment groups and the placebo group: mean difference -8.34 (95% CI -25.93 to 9.26; <i>p</i> = .347) in the 10-day steroid group and -6.61 (-24.67 to 11.45; <i>p</i> = .467) in the 3-day steroid group, compared with placebo. Secondary outcomes showed no significant differences between groups. Corticosteroid treatments were well tolerated with no safety concerns.ConclusionsCorticosteroid treatment does not significantly improve caloric recovery, vHIT gain recovery, or subjective well-being in patients with AUVP.</p>","PeriodicalId":49960,"journal":{"name":"Journal of Vestibular Research-Equilibrium & Orientation","volume":" ","pages":"91-101"},"PeriodicalIF":3.3000,"publicationDate":"2025-03-01","publicationTypes":"Journal Article","fieldsOfStudy":null,"isOpenAccess":false,"openAccessPdf":"https://www.ncbi.nlm.nih.gov/pmc/articles/PMC12231810/pdf/","citationCount":"0","resultStr":null,"platform":"Semanticscholar","paperid":null,"PeriodicalName":"Journal of Vestibular Research-Equilibrium & Orientation","FirstCategoryId":"3","ListUrlMain":"https://doi.org/10.1177/09574271241307649","RegionNum":3,"RegionCategory":"医学","ArticlePicture":[],"TitleCN":null,"AbstractTextCN":null,"PMCID":null,"EPubDate":"2024/12/18 0:00:00","PubModel":"Epub","JCR":"Q2","JCRName":"NEUROSCIENCES","Score":null,"Total":0}
引用次数: 0

Abstract

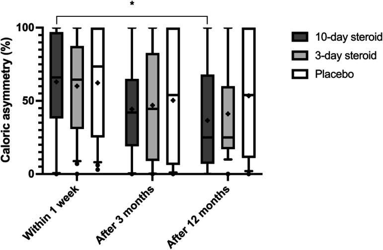
BackgroundThe efficacy of corticosteroids for treating acute vestibular neuritis, or acute unilateral vestibulopathy (AUVP), remains controversial.ObjectiveThis study aimed to evaluate whether corticosteroids improve vestibular function and reduce symptoms in both acute and chronic phases of AUVP.MethodsThis randomized, placebo-controlled, double-blind trial included patients with AUVP (ages 18-80) from emergency departments at three sites in southern Sweden. Patients were randomly assigned to one of three groups: placebo, 3-day or 10-day corticosteroid treatment. The steroid groups received intravenous betamethasone followed by oral steroids, while the placebo group received intravenous saline followed by oral placebo. The primary outcome was canal paresis (%) after 12 months, measured via caloric testing. Secondary outcomes included vHIT gain, Diary Vertigo score, Dizziness Handicap Inventory, and Hospital Anxiety and Depression Scale. Analyses were conducted on an intention-to-treat basis. The trial was registered with the EU Clinical Trials Register (EudraCT Number: 2014-005484-32) and ClinicalTrials.gov (NCT00802529).ResultsFrom December 2015 to March 2021, 350 patients were screened, and 69 were included: 23 in the 10-day corticosteroid group, 22 in the 3-day corticosteroid group, and 24 in the placebo group. All groups showed significant improvement in caloric function over time (p = .002), with no significant differences between groups at any time point (p = .629). Change in caloric asymmetry from baseline to 12 months did not differ between the treatment groups and the placebo group: mean difference -8.34 (95% CI -25.93 to 9.26; p = .347) in the 10-day steroid group and -6.61 (-24.67 to 11.45; p = .467) in the 3-day steroid group, compared with placebo. Secondary outcomes showed no significant differences between groups. Corticosteroid treatments were well tolerated with no safety concerns.ConclusionsCorticosteroid treatment does not significantly improve caloric recovery, vHIT gain recovery, or subjective well-being in patients with AUVP.

Abstract Image

Abstract Image

Abstract Image

急性单侧前庭大腺炎与皮质类固醇治疗--随机安慰剂对照双盲试验。
背景:皮质类固醇治疗急性前庭神经炎或急性单侧前庭病变(AUVP)的疗效仍存在争议。目的:本研究旨在评估皮质类固醇是否能改善急性和慢性AUVP的前庭功能并减轻症状。方法:这项随机、安慰剂对照、双盲试验纳入了来自瑞典南部三个地区急诊科的AUVP患者(年龄18-80岁)。患者被随机分配到三组中的一组:安慰剂、3天或10天皮质类固醇治疗。类固醇组静脉注射倍他米松后口服类固醇,而安慰剂组静脉注射生理盐水后口服安慰剂。主要结果是12个月后的椎管麻痹(%),通过热量测试测量。次要结局包括vHIT增益、眩晕日记评分、眩晕障碍量表和医院焦虑抑郁量表。分析是在意向治疗基础上进行的。该试验已在欧盟临床试验注册中心(EudraCT编号:2014-005484-32)和ClinicalTrials.gov (NCT00802529)注册。结果:2015年12月至2021年3月,筛选了350例患者,共纳入69例:10天皮质类固醇组23例,3天皮质类固醇组22例,安慰剂组24例。随着时间的推移,所有组的热功能均有显著改善(p = 0.002),各组之间在任何时间点均无显著差异(p = 0.629)。从基线到12个月的热量不对称变化在治疗组和安慰剂组之间没有差异:平均差异为-8.34 (95% CI -25.93至9.26;P = .347), P = -6.61 (-24.67 ~ 11.45;P = .467),与安慰剂组比较。次要结果组间无显著差异。皮质类固醇治疗耐受性良好,无安全问题。结论:皮质类固醇治疗不能显著改善AUVP患者的热量恢复、vHIT增益恢复或主观幸福感。
本文章由计算机程序翻译,如有差异,请以英文原文为准。
求助全文
约1分钟内获得全文 求助全文
来源期刊
CiteScore
5.00
自引率
4.30%
发文量
66
审稿时长
>12 weeks
期刊介绍: Journal of Vestibular Research is a peer-reviewed journal that publishes experimental and observational studies, review papers, and theoretical papers based on current knowledge of the vestibular system. Subjects of the studies can include experimental animals, normal humans, and humans with vestibular or other related disorders. Study topics can include the following: Anatomy of the vestibular system, including vestibulo-ocular, vestibulo-spinal, and vestibulo-autonomic pathways Balance disorders Neurochemistry and neuropharmacology of balance, both at the systems and single neuron level Neurophysiology of balance, including the vestibular, ocular motor, autonomic, and postural control systems Psychophysics of spatial orientation Space and motion sickness Vestibular rehabilitation Vestibular-related human performance in various environments
×
引用
GB/T 7714-2015
复制
MLA
复制
APA
复制
导出至
BibTeX EndNote RefMan NoteFirst NoteExpress
×
提示
您的信息不完整,为了账户安全,请先补充。
现在去补充
×
提示
您因"违规操作"
具体请查看互助需知
我知道了
×
提示
确定
请完成安全验证×
copy
已复制链接
快去分享给好友吧!
我知道了
右上角分享
点击右上角分享
0
联系我们:info@booksci.cn Book学术提供免费学术资源搜索服务,方便国内外学者检索中英文文献。致力于提供最便捷和优质的服务体验。 Copyright © 2023 布克学术 All rights reserved.
京ICP备2023020795号-1
ghs 京公网安备 11010802042870号
Book学术文献互助
Book学术文献互助群
群 号:604180095
Book学术官方微信