Early clinical predictors of infected pancreatic necrosis: a multicentre cohort study.

eGastroenterology Pub Date : 2024-10-18 eCollection Date: 2024-10-01 DOI:10.1136/egastro-2024-100095
Kai Song, Wenhua He, Zuoyan Wu, Jie Meng, Wei Tian, Shicheng Zheng, Dong Mu, Ruifeng Wang, Hongda Chen, Yin Zhu, Dong Wu
{"title":"Early clinical predictors of infected pancreatic necrosis: a multicentre cohort study.","authors":"Kai Song, Wenhua He, Zuoyan Wu, Jie Meng, Wei Tian, Shicheng Zheng, Dong Mu, Ruifeng Wang, Hongda Chen, Yin Zhu, Dong Wu","doi":"10.1136/egastro-2024-100095","DOIUrl":null,"url":null,"abstract":"<p><strong>Background: </strong>Infected pancreatic necrosis (IPN) exacerbates complications in patients with acute pancreatitis (AP), increasing mortality rates if not treated promptly. We aimed to evaluate the predictive value of clinical characteristics within 24 hours of admission for IPN prediction.</p><p><strong>Methods: </strong>We conducted a retrospective, multicentre cohort study including 3005 patients with AP from eight hospitals in China. Clinical variables collected within 24 hours after admission were analysed using least absolute shrinkage and selection operator regression (10 cross-validations) for variable selection, followed by multivariate logistic regression to develop an IPN prediction model. Internal cross-validation of the development set and validation of the validation set were performed to ensure robustness. Decision curve analysis was used to evaluate its clinical utility.</p><p><strong>Results: </strong>IPN occurred in 176 patients (176/3005, 5.9%). The final model included temperature, respiratory rate, plasma calcium ion concentration, serum urea nitrogen and serum glucose. The area under the receiver operating characteristics curve (AUC) was 0.85 (95% CI 0.81 to 0.89), outperforming widely used severity scoring systems. The model demonstrated robust performance on the internal validation cohort (mean AUC: 0.84) and external validation cohort (AUC: 0.82, 95% CI 0. 77 to 0.87).</p><p><strong>Conclusion: </strong>We developed a simple and robust model for predicting IPN in patients with AP, demonstrating strong predictive performance and clinical utility.</p>","PeriodicalId":72879,"journal":{"name":"eGastroenterology","volume":"2 4","pages":"e100095"},"PeriodicalIF":0.0000,"publicationDate":"2024-10-18","publicationTypes":"Journal Article","fieldsOfStudy":null,"isOpenAccess":false,"openAccessPdf":"https://www.ncbi.nlm.nih.gov/pmc/articles/PMC11741192/pdf/","citationCount":"0","resultStr":null,"platform":"Semanticscholar","paperid":null,"PeriodicalName":"eGastroenterology","FirstCategoryId":"1085","ListUrlMain":"https://doi.org/10.1136/egastro-2024-100095","RegionNum":0,"RegionCategory":null,"ArticlePicture":[],"TitleCN":null,"AbstractTextCN":null,"PMCID":null,"EPubDate":"2024/10/1 0:00:00","PubModel":"eCollection","JCR":"","JCRName":"","Score":null,"Total":0}
引用次数: 0

Abstract

Background: Infected pancreatic necrosis (IPN) exacerbates complications in patients with acute pancreatitis (AP), increasing mortality rates if not treated promptly. We aimed to evaluate the predictive value of clinical characteristics within 24 hours of admission for IPN prediction.

Methods: We conducted a retrospective, multicentre cohort study including 3005 patients with AP from eight hospitals in China. Clinical variables collected within 24 hours after admission were analysed using least absolute shrinkage and selection operator regression (10 cross-validations) for variable selection, followed by multivariate logistic regression to develop an IPN prediction model. Internal cross-validation of the development set and validation of the validation set were performed to ensure robustness. Decision curve analysis was used to evaluate its clinical utility.

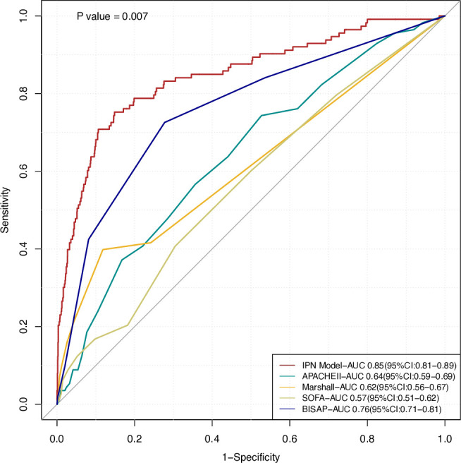
Results: IPN occurred in 176 patients (176/3005, 5.9%). The final model included temperature, respiratory rate, plasma calcium ion concentration, serum urea nitrogen and serum glucose. The area under the receiver operating characteristics curve (AUC) was 0.85 (95% CI 0.81 to 0.89), outperforming widely used severity scoring systems. The model demonstrated robust performance on the internal validation cohort (mean AUC: 0.84) and external validation cohort (AUC: 0.82, 95% CI 0. 77 to 0.87).

Conclusion: We developed a simple and robust model for predicting IPN in patients with AP, demonstrating strong predictive performance and clinical utility.

Abstract Image

Abstract Image

Abstract Image

感染性胰腺坏死的早期临床预测因素:一项多中心队列研究。
背景:感染性胰腺坏死(IPN)加剧了急性胰腺炎(AP)患者的并发症,如果不及时治疗,死亡率会增加。我们旨在评估入院24小时内的临床特征对IPN预测的预测价值。方法:我们进行了一项回顾性、多中心队列研究,包括来自中国8家医院的3005例AP患者。对入院后24小时内收集的临床变量进行分析,采用最小绝对收缩和选择算子回归(10次交叉验证)进行变量选择,然后采用多变量logistic回归建立IPN预测模型。对开发集和验证集进行内部交叉验证以确保稳健性。采用决策曲线分析评价其临床应用价值。结果:发生IPN 176例(176/3005,5.9%)。最终模型包括体温、呼吸频率、血浆钙离子浓度、血清尿素氮和血清葡萄糖。受试者工作特征曲线下面积(AUC)为0.85 (95% CI 0.81 ~ 0.89),优于广泛使用的严重程度评分系统。该模型在内部验证队列(平均AUC: 0.84)和外部验证队列(AUC: 0.82, 95% CI为0)上表现出稳健的性能。77 - 0.87)。结论:我们开发了一个简单而稳健的预测AP患者IPN的模型,显示出强大的预测性能和临床实用性。
本文章由计算机程序翻译,如有差异,请以英文原文为准。
求助全文
约1分钟内获得全文 求助全文
来源期刊
自引率
0.00%
发文量
0
×
引用
GB/T 7714-2015
复制
MLA
复制
APA
复制
导出至
BibTeX EndNote RefMan NoteFirst NoteExpress
×
提示
您的信息不完整,为了账户安全,请先补充。
现在去补充
×
提示
您因"违规操作"
具体请查看互助需知
我知道了
×
提示
确定
请完成安全验证×
copy
已复制链接
快去分享给好友吧!
我知道了
右上角分享
点击右上角分享
0
联系我们:info@booksci.cn Book学术提供免费学术资源搜索服务,方便国内外学者检索中英文文献。致力于提供最便捷和优质的服务体验。 Copyright © 2023 布克学术 All rights reserved.
京ICP备2023020795号-1
ghs 京公网安备 11010802042870号
Book学术文献互助
Book学术文献互助群
群 号:604180095
Book学术官方微信