The Konno-Rastan Procedure in the Current Era: Still A Feasible Option?

IF 1.2
Safak Alpat, Timucin Sabuncu, Ahmet Aydin, Murat Guvener, Riza Dogan, Mustafa Yilmaz
{"title":"The Konno-Rastan Procedure in the Current Era: Still A Feasible Option?","authors":"Safak Alpat, Timucin Sabuncu, Ahmet Aydin, Murat Guvener, Riza Dogan, Mustafa Yilmaz","doi":"10.21470/1678-9741-2024-0002","DOIUrl":null,"url":null,"abstract":"<p><strong>Introduction: </strong>The Konno-Rastan procedure is a commonly used surgical technique to address complicated subaortic stenosis and to enlarge the aorta via an anterior route. The objective of this report is to describe the experience of our unit with this procedure.</p><p><strong>Methods: </strong>Between 2002 and 2022, we identified pediatric patients who underwent the Konno-Rastan procedure. Relevant information was retrospectively collected.</p><p><strong>Results: </strong>There were 16 patients who underwent the Konno-Rastan procedure. The median follow-up was nine years (4 - 16 years), and there was no operative mortality. All patients had a straightforward recovery, and five patients required reoperation at follow-up, none of which was related to the left ventricular outflow tract. The median echocardiographic indices at the most recent follow-up were not significantly different from the preoperative values, with a median peak gradient across the left ventricular outflow tract of 25 mmHg. In their most recent follow-up, 81% of the patients were New York Heart Association class 1. No bleeding, thromboembolic, or infective complications were encountered.</p><p><strong>Conclusion: </strong>We concluded that the Konno-Rastan procedure can be regarded as a definitive alternative to other surgical interventions for left ventricular outflow tract obstructions. Although reoperations are still necessary, particularly in patients with additional mitral valve disease, the Konno-Rastan procedure is still a viable option in patients with complex left ventricular disease.</p>","PeriodicalId":72457,"journal":{"name":"Brazilian journal of cardiovascular surgery","volume":"40 1","pages":"e20240002"},"PeriodicalIF":1.2000,"publicationDate":"2025-02-12","publicationTypes":"Journal Article","fieldsOfStudy":null,"isOpenAccess":false,"openAccessPdf":"https://www.ncbi.nlm.nih.gov/pmc/articles/PMC11815901/pdf/","citationCount":"0","resultStr":null,"platform":"Semanticscholar","paperid":null,"PeriodicalName":"Brazilian journal of cardiovascular surgery","FirstCategoryId":"1085","ListUrlMain":"https://doi.org/10.21470/1678-9741-2024-0002","RegionNum":0,"RegionCategory":null,"ArticlePicture":[],"TitleCN":null,"AbstractTextCN":null,"PMCID":null,"EPubDate":"","PubModel":"","JCR":"","JCRName":"","Score":null,"Total":0}
引用次数: 0

Abstract

Introduction: The Konno-Rastan procedure is a commonly used surgical technique to address complicated subaortic stenosis and to enlarge the aorta via an anterior route. The objective of this report is to describe the experience of our unit with this procedure.

Methods: Between 2002 and 2022, we identified pediatric patients who underwent the Konno-Rastan procedure. Relevant information was retrospectively collected.

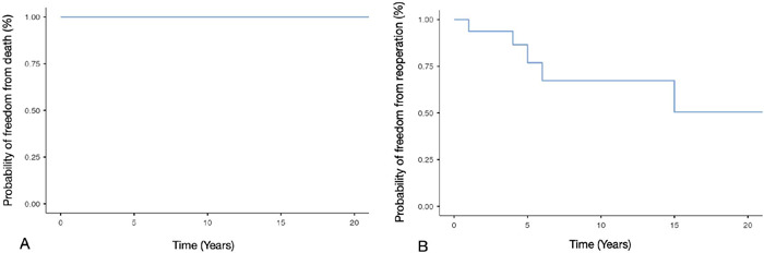
Results: There were 16 patients who underwent the Konno-Rastan procedure. The median follow-up was nine years (4 - 16 years), and there was no operative mortality. All patients had a straightforward recovery, and five patients required reoperation at follow-up, none of which was related to the left ventricular outflow tract. The median echocardiographic indices at the most recent follow-up were not significantly different from the preoperative values, with a median peak gradient across the left ventricular outflow tract of 25 mmHg. In their most recent follow-up, 81% of the patients were New York Heart Association class 1. No bleeding, thromboembolic, or infective complications were encountered.

Conclusion: We concluded that the Konno-Rastan procedure can be regarded as a definitive alternative to other surgical interventions for left ventricular outflow tract obstructions. Although reoperations are still necessary, particularly in patients with additional mitral valve disease, the Konno-Rastan procedure is still a viable option in patients with complex left ventricular disease.

Abstract Image

Abstract Image

当前时代的Konno-Rastan程序:仍然是一个可行的选择?
简介Konno-Rastan 手术是一种常用的外科技术,用于治疗复杂的主动脉瓣下狭窄,并通过前路扩大主动脉。本报告旨在介绍我们科室使用该手术的经验:方法:在 2002 年至 2022 年期间,我们确定了接受 Konno-Rastan 手术的儿科患者。结果:共有 16 名患者接受了 Konno-Rastan 手术:结果:共有 16 名患者接受了 Konno-Rastan 手术。中位随访时间为 9 年(4 - 16 年),无手术死亡率。所有患者均顺利康复,有五名患者在随访时需要再次手术,但均与左心室流出道无关。最近一次随访的超声心动图指数中位数与术前值无明显差异,左室流出道峰值梯度中位数为25 mmHg。在最近的随访中,81%的患者属于纽约心脏协会 1 级。没有出现出血、血栓栓塞或感染性并发症:我们的结论是,Konno-Rastan 手术可作为其他手术治疗左心室流出道梗阻的最终替代方案。虽然仍有必要进行再次手术,尤其是对患有其他二尖瓣疾病的患者,但对于患有复杂左心室疾病的患者来说,Konno-Rastan 手术仍是一种可行的选择。
本文章由计算机程序翻译,如有差异,请以英文原文为准。
求助全文
约1分钟内获得全文 求助全文
来源期刊
自引率
0.00%
发文量
0
×
引用
GB/T 7714-2015
复制
MLA
复制
APA
复制
导出至
BibTeX EndNote RefMan NoteFirst NoteExpress
×
提示
您的信息不完整,为了账户安全,请先补充。
现在去补充
×
提示
您因"违规操作"
具体请查看互助需知
我知道了
×
提示
确定
请完成安全验证×
copy
已复制链接
快去分享给好友吧!
我知道了
右上角分享
点击右上角分享
0
联系我们:info@booksci.cn Book学术提供免费学术资源搜索服务,方便国内外学者检索中英文文献。致力于提供最便捷和优质的服务体验。 Copyright © 2023 布克学术 All rights reserved.
京ICP备2023020795号-1
ghs 京公网安备 11010802042870号
Book学术文献互助
Book学术文献互助群
群 号:604180095
Book学术官方微信