Observational study of changes to glucocorticosteroid prescribing patterns in duchenne muscular dystrophy in the UK over the last decade.

IF 7.5 1区 医学 Q1 CLINICAL NEUROLOGY
Gregory Landon, Georgia Stimpson, Michela Guglieri, Anna Sarkozy, Adnan Y Manzur, Francesco Muntoni, Giovanni Baranello
{"title":"Observational study of changes to glucocorticosteroid prescribing patterns in duchenne muscular dystrophy in the UK over the last decade.","authors":"Gregory Landon, Georgia Stimpson, Michela Guglieri, Anna Sarkozy, Adnan Y Manzur, Francesco Muntoni, Giovanni Baranello","doi":"10.1136/jnnp-2024-335223","DOIUrl":null,"url":null,"abstract":"<p><strong>Background: </strong>Glucocorticosteroids (GC) are standard-of-care treatment for most boys with duchenne muscular dystrophy (DMD). GC use has changed over time with evolving evidence, and we describe GC patterns, dosing and side-effects in the UK over 11 years.</p><p><strong>Method: </strong>NorthStar data from 2012 to 2022 were analysed to understand GC type, regime and starting age. GC dose with age, patterns of GC switching and side-effect profiles by type and regime were also analysed. Participants attributed to 'other' regimes were queried and details were included.</p><p><strong>Results: </strong>Data on GC usage were available for 1117 boys, across 6905 observations, with 74% of boys GC treated. Prednisolone was the most common regime in the period (65% of assessments) but deflazacort prescription has increased (17% in 2012 and 43% in 2022). Daily regimes were more common (66% of assessments), and the incidence of intermittent (10 days on/10 days off) regimes has declined (46% in 2012 and 26% in 2022). Older participants were more commonly on less than recommended doses, and this was more common in those on deflazacort or daily regimes. Gastrointestinal symptoms and cushingoid features were more common in those on deflazacort than prednisolone, while increased appetite, cushingoid features, gastrointestinal symptoms and insomnia were more common in those on daily than intermittent regimes.</p><p><strong>Conclusions: </strong>The use of deflazacort and daily regimes has steadily increased across the UK North Star Network in the last decade. This study provides one of the largest up-to-date real-world set of data of evolution in prescription patterns and the occurrence of side-effects in different groups of GC-treated DMD.</p>","PeriodicalId":16418,"journal":{"name":"Journal of Neurology, Neurosurgery, and Psychiatry","volume":" ","pages":"794-801"},"PeriodicalIF":7.5000,"publicationDate":"2025-07-16","publicationTypes":"Journal Article","fieldsOfStudy":null,"isOpenAccess":false,"openAccessPdf":"https://www.ncbi.nlm.nih.gov/pmc/articles/PMC12322482/pdf/","citationCount":"0","resultStr":null,"platform":"Semanticscholar","paperid":null,"PeriodicalName":"Journal of Neurology, Neurosurgery, and Psychiatry","FirstCategoryId":"3","ListUrlMain":"https://doi.org/10.1136/jnnp-2024-335223","RegionNum":1,"RegionCategory":"医学","ArticlePicture":[],"TitleCN":null,"AbstractTextCN":null,"PMCID":null,"EPubDate":"","PubModel":"","JCR":"Q1","JCRName":"CLINICAL NEUROLOGY","Score":null,"Total":0}
引用次数: 0

Abstract

Background: Glucocorticosteroids (GC) are standard-of-care treatment for most boys with duchenne muscular dystrophy (DMD). GC use has changed over time with evolving evidence, and we describe GC patterns, dosing and side-effects in the UK over 11 years.

Method: NorthStar data from 2012 to 2022 were analysed to understand GC type, regime and starting age. GC dose with age, patterns of GC switching and side-effect profiles by type and regime were also analysed. Participants attributed to 'other' regimes were queried and details were included.

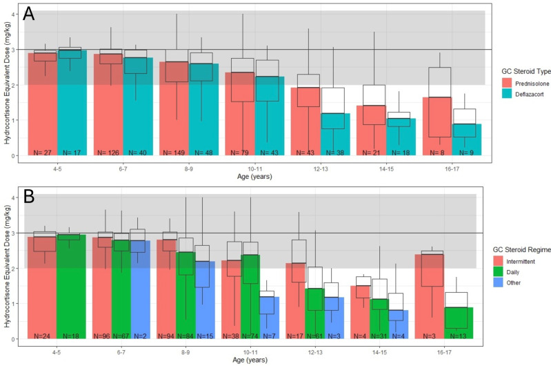
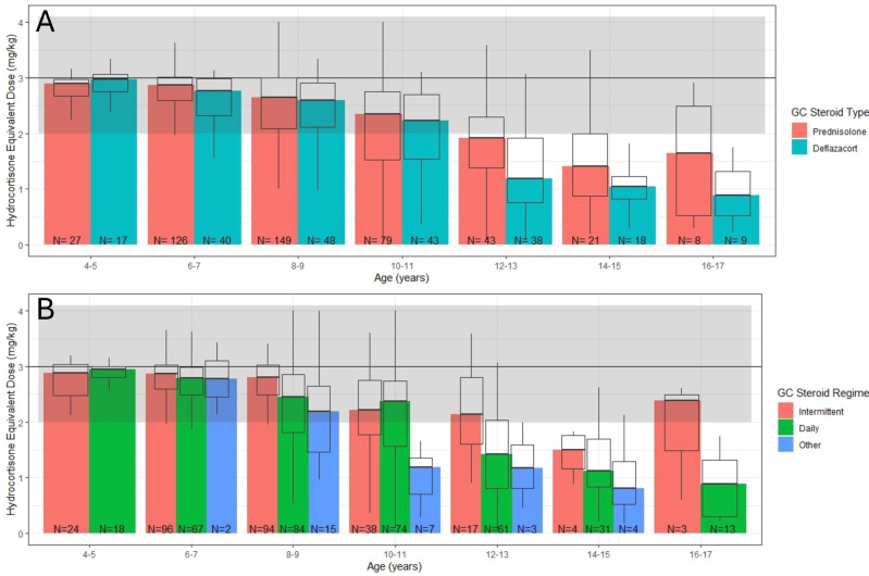
Results: Data on GC usage were available for 1117 boys, across 6905 observations, with 74% of boys GC treated. Prednisolone was the most common regime in the period (65% of assessments) but deflazacort prescription has increased (17% in 2012 and 43% in 2022). Daily regimes were more common (66% of assessments), and the incidence of intermittent (10 days on/10 days off) regimes has declined (46% in 2012 and 26% in 2022). Older participants were more commonly on less than recommended doses, and this was more common in those on deflazacort or daily regimes. Gastrointestinal symptoms and cushingoid features were more common in those on deflazacort than prednisolone, while increased appetite, cushingoid features, gastrointestinal symptoms and insomnia were more common in those on daily than intermittent regimes.

Conclusions: The use of deflazacort and daily regimes has steadily increased across the UK North Star Network in the last decade. This study provides one of the largest up-to-date real-world set of data of evolution in prescription patterns and the occurrence of side-effects in different groups of GC-treated DMD.

Abstract Image

Abstract Image

Abstract Image

Abstract Image

Abstract Image

Abstract Image

对过去十年英国杜氏肌营养不良症患者糖皮质激素处方模式变化的观察研究。
背景:糖皮质激素(GC)是大多数男孩杜氏肌营养不良症(DMD)的标准治疗方法。随着时间的推移,随着证据的不断发展,GC的使用也发生了变化,我们描述了英国11年来GC的模式、剂量和副作用。方法:对2012 - 2022年的NorthStar数据进行分析,了解GC类型、状态和起始年龄。还分析了GC剂量随年龄的变化、GC转换模式以及不同类型和治疗方案的副作用分布。他们询问了属于“其他”政权的参与者,并提供了详细信息。结果:在6905次观察中,1117名男孩的GC使用数据可用,74%的男孩接受了GC治疗。在此期间,泼尼松龙是最常见的治疗方案(占评估的65%),但地拉法柯处方增加了(2012年为17%,2022年为43%)。每天服药更为常见(66%的评估),间歇性服药(10天上下班)的发生率有所下降(2012年为46%,2022年为26%)。年龄较大的参与者通常服用的剂量低于推荐剂量,这在使用地扎克特或每日服用的患者中更为常见。胃肠道症状和类库欣特征在地沙库特组中比在强的松龙组中更常见,而食欲增加、类库欣特征、胃肠道症状和失眠在每日服用组中比间歇性服用组更常见。结论:在过去的十年中,在整个英国北极星网络中,使用地扎克特和每日用药稳步增加。这项研究提供了一个最大的、最新的真实世界的数据集,在处方模式的演变和不同组的gc治疗的DMD副作用的发生。
本文章由计算机程序翻译,如有差异,请以英文原文为准。
求助全文
约1分钟内获得全文 求助全文
来源期刊
CiteScore
15.70
自引率
1.80%
发文量
888
审稿时长
6 months
期刊介绍: The Journal of Neurology, Neurosurgery & Psychiatry (JNNP) aspires to publish groundbreaking and cutting-edge research worldwide. Covering the entire spectrum of neurological sciences, the journal focuses on common disorders like stroke, multiple sclerosis, Parkinson’s disease, epilepsy, peripheral neuropathy, subarachnoid haemorrhage, and neuropsychiatry, while also addressing complex challenges such as ALS. With early online publication, regular podcasts, and an extensive archive collection boasting the longest half-life in clinical neuroscience journals, JNNP aims to be a trailblazer in the field.
×
引用
GB/T 7714-2015
复制
MLA
复制
APA
复制
导出至
BibTeX EndNote RefMan NoteFirst NoteExpress
×
提示
您的信息不完整,为了账户安全,请先补充。
现在去补充
×
提示
您因"违规操作"
具体请查看互助需知
我知道了
×
提示
确定
请完成安全验证×
copy
已复制链接
快去分享给好友吧!
我知道了
右上角分享
点击右上角分享
0
联系我们:info@booksci.cn Book学术提供免费学术资源搜索服务,方便国内外学者检索中英文文献。致力于提供最便捷和优质的服务体验。 Copyright © 2023 布克学术 All rights reserved.
京ICP备2023020795号-1
ghs 京公网安备 11010802042870号
Book学术文献互助
Book学术文献互助群
群 号:604180095
Book学术官方微信