Does the Length of Inter-Set Rest Periods Impact the Volume of Bench Pull Repetitions Completed before Surpassing Various Cut-Off Velocities?

IF 2.8 3区 医学 Q2 SPORT SCIENCES
Journal of Human Kinetics Pub Date : 2024-12-06 eCollection Date: 2025-01-01 DOI:10.5114/jhk/188366
Danica Janicijevic, Sergio Miras-Moreno, María Dolores Morenas-Aguilar, Amador García-Ramos
{"title":"Does the Length of Inter-Set Rest Periods Impact the Volume of Bench Pull Repetitions Completed before Surpassing Various Cut-Off Velocities?","authors":"Danica Janicijevic, Sergio Miras-Moreno, María Dolores Morenas-Aguilar, Amador García-Ramos","doi":"10.5114/jhk/188366","DOIUrl":null,"url":null,"abstract":"<p><p>This study aimed to determine the optimal inter-set rest periods that would maximize the number of repetitions completed before surpassing various cut-off velocities (COVs) during the prone bench pull exercise. Twenty-three physically active individuals, 15 men and 8 women, participated in six random testing sessions. Each session included four sets of the prone bench pull exercise performed with maximum intent on a Smith machine at 75% of the one-repetition maximum (1RM). The length of the inter-set rest interval (1 [R1], 3 [R3], and 5 [R5] min) and COV used (0.65 m•s<sup>-1</sup> [COV<sub>0.65</sub>] and 0.55 m•s<sup>-1</sup> [COV<sub>0.55</sub>]) varied between sessions. Longer inter-set rest periods led to a higher volume of repetitions (R5 > R3 > R1), whereas the differences between the rest protocols were larger for COV<sub>0.55</sub> (R1: 28.4 ± 6.0 repetitions; R3: 36.4 ± 9.4 repetitions; R5: 41.1 ± 11.4 repetitions) compared to COV<sub>0.65</sub> (R1: 24.2 ± 7.3 repetitions; R3: 25.4 ± 10.1 repetitions; R5: 28.3 ± 9.7 repetitions). Increasing the number of sets negatively impacted the number of completed repetitions for R1 using both COV<sub>0.65</sub> and COV<sub>0.55</sub>, as well as for R3 using COV<sub>0.55</sub>. The fastest velocity of the set (MV<sub>fastest</sub>) did not differ between the inter-set rest protocols for COV<sub>0.65</sub>, while for COV<sub>0.55</sub>, R3 and R5 provided a greater MV<sub>fastest</sub> than R1 for sets 2-4. These findings suggest that the duration of inter-set rest periods is an important factor to consider when aiming to maximize mechanical performance across multiple sets of the prone bench pull exercise.</p>","PeriodicalId":16055,"journal":{"name":"Journal of Human Kinetics","volume":"95 ","pages":"139-150"},"PeriodicalIF":2.8000,"publicationDate":"2024-12-06","publicationTypes":"Journal Article","fieldsOfStudy":null,"isOpenAccess":false,"openAccessPdf":"https://www.ncbi.nlm.nih.gov/pmc/articles/PMC11812172/pdf/","citationCount":"0","resultStr":null,"platform":"Semanticscholar","paperid":null,"PeriodicalName":"Journal of Human Kinetics","FirstCategoryId":"3","ListUrlMain":"https://doi.org/10.5114/jhk/188366","RegionNum":3,"RegionCategory":"医学","ArticlePicture":[],"TitleCN":null,"AbstractTextCN":null,"PMCID":null,"EPubDate":"2025/1/1 0:00:00","PubModel":"eCollection","JCR":"Q2","JCRName":"SPORT SCIENCES","Score":null,"Total":0}
引用次数: 0

Abstract

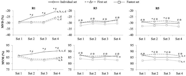
This study aimed to determine the optimal inter-set rest periods that would maximize the number of repetitions completed before surpassing various cut-off velocities (COVs) during the prone bench pull exercise. Twenty-three physically active individuals, 15 men and 8 women, participated in six random testing sessions. Each session included four sets of the prone bench pull exercise performed with maximum intent on a Smith machine at 75% of the one-repetition maximum (1RM). The length of the inter-set rest interval (1 [R1], 3 [R3], and 5 [R5] min) and COV used (0.65 m•s-1 [COV0.65] and 0.55 m•s-1 [COV0.55]) varied between sessions. Longer inter-set rest periods led to a higher volume of repetitions (R5 > R3 > R1), whereas the differences between the rest protocols were larger for COV0.55 (R1: 28.4 ± 6.0 repetitions; R3: 36.4 ± 9.4 repetitions; R5: 41.1 ± 11.4 repetitions) compared to COV0.65 (R1: 24.2 ± 7.3 repetitions; R3: 25.4 ± 10.1 repetitions; R5: 28.3 ± 9.7 repetitions). Increasing the number of sets negatively impacted the number of completed repetitions for R1 using both COV0.65 and COV0.55, as well as for R3 using COV0.55. The fastest velocity of the set (MVfastest) did not differ between the inter-set rest protocols for COV0.65, while for COV0.55, R3 and R5 provided a greater MVfastest than R1 for sets 2-4. These findings suggest that the duration of inter-set rest periods is an important factor to consider when aiming to maximize mechanical performance across multiple sets of the prone bench pull exercise.

Abstract Image

Abstract Image

Abstract Image

间歇休息时间的长短会影响在超过各种截止速度之前完成的卧拉重复量吗?
本研究旨在确定最佳的间歇休息时间,在俯卧卧拉训练中,在超过各种截止速度(COVs)之前完成的重复次数最多。23名身体活跃的人,15名男性和8名女性,参加了6次随机测试。每次训练包括四组俯卧卧拉练习,在史密斯器械上以最大强度的75%进行一次最大重复(1RM)。集间休息间隔的长度(1 [R1], 3 [R3]和5 [R5] min)和使用的COV (0.65 m•s-1 [COV0.65]和0.55 m•s-1 [COV0.55])在会话之间有所不同。组间休息时间越长,重复量越大(R5 > R3 > R1),而COV0.55的休息方案之间的差异更大(R1: 28.4±6.0个重复;R3: 36.4±9.4次重复;R5: 41.1±11.4次重复),而COV0.65 (R1: 24.2±7.3次重复;R3: 25.4±10.1次重复;R5: 28.3±9.7个重复)。增加集合数量会对使用COV0.65和COV0.55的R1以及使用COV0.55的R3的完成重复次数产生负面影响。集合的最快速度(MVfastest)在COV0.65的集间休息协议之间没有差异,而对于COV0.55, R3和R5在set 2-4的集间休息协议中提供的mv最快速度大于R1。这些发现表明,间歇休息时间的长短是一个重要的考虑因素,目的是在多组俯卧卧拉练习中最大化机械性能。
本文章由计算机程序翻译,如有差异,请以英文原文为准。
求助全文
约1分钟内获得全文 求助全文
来源期刊
Journal of Human Kinetics
Journal of Human Kinetics 医学-运动科学
CiteScore
4.80
自引率
0.00%
发文量
83
审稿时长
3 months
期刊介绍: The Journal of Human Kinetics is an open access interdisciplinary periodical offering the latest research in the science of human movement studies. This comprehensive professional journal features articles and research notes encompassing such topic areas as: Kinesiology, Exercise Physiology and Nutrition, Sports Training and Behavioural Sciences in Sport, but especially considering elite and competitive aspects of sport. The journal publishes original papers, invited reviews, short communications and letters to the Editors. Manuscripts submitted to the journal must contain novel data on theoretical or experimental research or on practical applications in the field of sport sciences. The Journal of Human Kinetics is published in March, June, September and December. We encourage scientists from around the world to submit their papers to our periodical.
×
引用
GB/T 7714-2015
复制
MLA
复制
APA
复制
导出至
BibTeX EndNote RefMan NoteFirst NoteExpress
×
提示
您的信息不完整,为了账户安全,请先补充。
现在去补充
×
提示
您因"违规操作"
具体请查看互助需知
我知道了
×
提示
确定
请完成安全验证×
copy
已复制链接
快去分享给好友吧!
我知道了
右上角分享
点击右上角分享
0
联系我们:info@booksci.cn Book学术提供免费学术资源搜索服务,方便国内外学者检索中英文文献。致力于提供最便捷和优质的服务体验。 Copyright © 2023 布克学术 All rights reserved.
京ICP备2023020795号-1
ghs 京公网安备 11010802042870号
Book学术文献互助
Book学术文献互助群
群 号:604180095
Book学术官方微信