Comparison of Platelet Indices, Lymphocyte, and Systemic Inflammation Indices on Days 1 and 8 in Surviving and Non-Surviving COVID-19 Patients at Hasan Sadikin General Hospital, Bandung, Indonesia.

IF 2.7 Q3 HEMATOLOGY
Journal of Blood Medicine Pub Date : 2025-02-04 eCollection Date: 2025-01-01 DOI:10.2147/JBM.S499023
Gusti Fungani Harti, Syifa Nur Maulida, Evan Susandi, Trinugroho Heri Fadjari, Uun Sumardi, Bachti Alisjahbana, Indra Wijaya
{"title":"Comparison of Platelet Indices, Lymphocyte, and Systemic Inflammation Indices on Days 1 and 8 in Surviving and Non-Surviving COVID-19 Patients at Hasan Sadikin General Hospital, Bandung, Indonesia.","authors":"Gusti Fungani Harti, Syifa Nur Maulida, Evan Susandi, Trinugroho Heri Fadjari, Uun Sumardi, Bachti Alisjahbana, Indra Wijaya","doi":"10.2147/JBM.S499023","DOIUrl":null,"url":null,"abstract":"<p><strong>Purpose: </strong>This study aimed to compare platelet count, platelet indices, lymphocyte, and systemic inflammation indices between surviving and non-surviving COVID-19 patients, measured at admission and on the eighth day of hospitalization.</p><p><strong>Patients and methods: </strong>A retrospective cohort study was conducted on COVID-19 patients hospitalized at Hasan Sadikin General Hospital, Bandung, from March to December 2020. Patient characteristics and laboratory data were sourced from medical records and the Clinical Pathology Laboratory. Bivariate analysis was performed to determine the comparison of platelet indexes between Surviving and Non-Surviving COVID-19 patients depending on data distribution. Significantly correlated variables in Bivariate analysis were included in the ROC analysis, with the AUC used to identify optimal threshold values for laboratory parameters.</p><p><strong>Results: </strong>Data from 132 patients were analyzed, with 106 (80.3%) surviving and 32 (19.7%) not surviving. Non-surviving patients had lower platelet count, PLTCT, and lymphocyte levels but higher MPV and PDW compared to survivors. Receiver operating characteristic (ROC) analysis revealed that on day 1, lymphocytes had a higher area under the curve (AUC) than MPV. On day 8, lymphocytes had the highest AUC, followed by platelet count, MPV, PLTCT, and PDW.</p><p><strong>Conclusion: </strong>Platelet indices, lymphocyte counts, and systemic inflammation index have the potential to distinguish the severity of COVID-19.</p>","PeriodicalId":15166,"journal":{"name":"Journal of Blood Medicine","volume":"16 ","pages":"61-74"},"PeriodicalIF":2.7000,"publicationDate":"2025-02-04","publicationTypes":"Journal Article","fieldsOfStudy":null,"isOpenAccess":false,"openAccessPdf":"https://www.ncbi.nlm.nih.gov/pmc/articles/PMC11806915/pdf/","citationCount":"0","resultStr":null,"platform":"Semanticscholar","paperid":null,"PeriodicalName":"Journal of Blood Medicine","FirstCategoryId":"1085","ListUrlMain":"https://doi.org/10.2147/JBM.S499023","RegionNum":0,"RegionCategory":null,"ArticlePicture":[],"TitleCN":null,"AbstractTextCN":null,"PMCID":null,"EPubDate":"2025/1/1 0:00:00","PubModel":"eCollection","JCR":"Q3","JCRName":"HEMATOLOGY","Score":null,"Total":0}
引用次数: 0

Abstract

Purpose: This study aimed to compare platelet count, platelet indices, lymphocyte, and systemic inflammation indices between surviving and non-surviving COVID-19 patients, measured at admission and on the eighth day of hospitalization.

Patients and methods: A retrospective cohort study was conducted on COVID-19 patients hospitalized at Hasan Sadikin General Hospital, Bandung, from March to December 2020. Patient characteristics and laboratory data were sourced from medical records and the Clinical Pathology Laboratory. Bivariate analysis was performed to determine the comparison of platelet indexes between Surviving and Non-Surviving COVID-19 patients depending on data distribution. Significantly correlated variables in Bivariate analysis were included in the ROC analysis, with the AUC used to identify optimal threshold values for laboratory parameters.

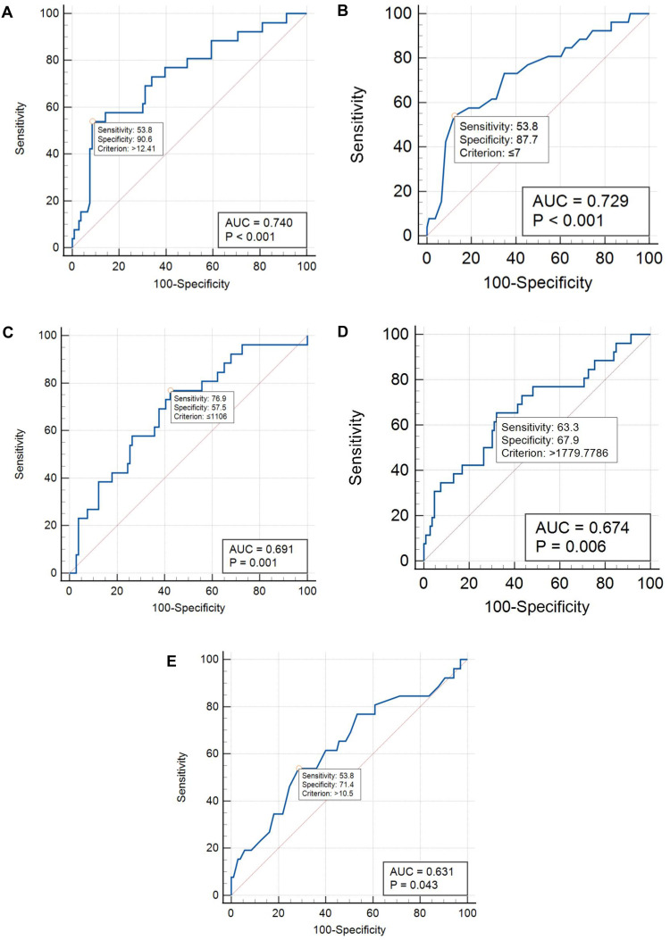
Results: Data from 132 patients were analyzed, with 106 (80.3%) surviving and 32 (19.7%) not surviving. Non-surviving patients had lower platelet count, PLTCT, and lymphocyte levels but higher MPV and PDW compared to survivors. Receiver operating characteristic (ROC) analysis revealed that on day 1, lymphocytes had a higher area under the curve (AUC) than MPV. On day 8, lymphocytes had the highest AUC, followed by platelet count, MPV, PLTCT, and PDW.

Conclusion: Platelet indices, lymphocyte counts, and systemic inflammation index have the potential to distinguish the severity of COVID-19.

Abstract Image

Abstract Image

Abstract Image

印度尼西亚万隆哈桑萨迪金总医院存活和非存活COVID-19患者第1天和第8天血小板指数、淋巴细胞指数和全身炎症指数的比较
目的:本研究旨在比较存活与未存活的COVID-19患者在入院时和住院第8天的血小板计数、血小板指数、淋巴细胞和全身炎症指数。患者和方法:对2020年3月至12月在万隆哈桑萨迪金总医院住院的新冠肺炎患者进行回顾性队列研究。患者特征和实验室数据来源于医疗记录和临床病理实验室。根据数据分布进行双变量分析,比较存活和非存活COVID-19患者的血小板指数。双变量分析中显著相关变量纳入ROC分析,AUC用于确定实验室参数的最佳阈值。结果:132例患者资料分析,存活106例(80.3%),不存活32例(19.7%)。与幸存者相比,未存活的患者血小板计数、PLTCT和淋巴细胞水平较低,但MPV和PDW较高。受试者工作特征(ROC)分析显示,第1天淋巴细胞曲线下面积(AUC)高于MPV。第8天,淋巴细胞AUC最高,其次是血小板计数、MPV、PLTCT和PDW。结论:血小板指数、淋巴细胞计数和全身炎症指数具有区分COVID-19严重程度的潜力。
本文章由计算机程序翻译,如有差异,请以英文原文为准。
求助全文
约1分钟内获得全文 求助全文
来源期刊
CiteScore
3.50
自引率
0.00%
发文量
94
审稿时长
16 weeks
期刊介绍: The Journal of Blood Medicine is an international, peer-reviewed, open access, online journal publishing laboratory, experimental and clinical aspects of all topics pertaining to blood based medicine including but not limited to: Transfusion Medicine (blood components, stem cell transplantation, apheresis, gene based therapeutics), Blood collection, Donor issues, Transmittable diseases, and Blood banking logistics, Immunohematology, Artificial and alternative blood based therapeutics, Hematology including disorders/pathology related to leukocytes/immunology, red cells, platelets and hemostasis, Biotechnology/nanotechnology of blood related medicine, Legal aspects of blood medicine, Historical perspectives. Original research, short reports, reviews, case reports and commentaries are invited.
×
引用
GB/T 7714-2015
复制
MLA
复制
APA
复制
导出至
BibTeX EndNote RefMan NoteFirst NoteExpress
×
提示
您的信息不完整,为了账户安全,请先补充。
现在去补充
×
提示
您因"违规操作"
具体请查看互助需知
我知道了
×
提示
确定
请完成安全验证×
copy
已复制链接
快去分享给好友吧!
我知道了
右上角分享
点击右上角分享
0
联系我们:info@booksci.cn Book学术提供免费学术资源搜索服务,方便国内外学者检索中英文文献。致力于提供最便捷和优质的服务体验。 Copyright © 2023 布克学术 All rights reserved.
京ICP备2023020795号-1
ghs 京公网安备 11010802042870号
Book学术文献互助
Book学术文献互助群
群 号:604180095
Book学术官方微信