No Differences in Lactate Threshold Across the Menstrual Cycle in Untrained Females.

Q1 Health Professions
Bianca A R Galletti, Grant A Chesbro, Rebecca D Larson
{"title":"No Differences in Lactate Threshold Across the Menstrual Cycle in Untrained Females.","authors":"Bianca A R Galletti, Grant A Chesbro, Rebecca D Larson","doi":"10.70252/JKXM8836","DOIUrl":null,"url":null,"abstract":"<p><p>In addition to maximal oxygen consumption (VO2max), the Lactate Threshold (LT) is the other major determinant of aerobic exercise performance. This study examined the effects of the menstrual cycle (MC) phase on the LT in untrained females. Eight females and 8 males completed a LT test on a cycle ergometer. The tests were performed across three MC phases: early follicular (EF; menses), ovulatory (O), and mid-luteal (ML). The male participants (control group) were randomly assigned visits at similar time intervals as a regular 28-day cycle. Blood lactate was obtained during the last minute of each 3-minute stage of the LT test. The LT was determined by visual method (LT<sub>vis</sub>), and fixed blood lactate concentrations of 2.0 mmol/L (LT<sub>2.0mmol</sub>) and 4.0 mmol/L (LT<sub>4.0mmol</sub>). There were no statistically significant differences in power at LT for any of the determination methods across the MC for the female participants (p>0.05) or across the time intervals for the male participants (p>0.05). The male participants tended to have higher power at LT for all three methods LT<sub>vis</sub> (41.91W), LT<sub>2.0mmol</sub> (44.68W), and LT<sub>4.0mmol</sub> (55.94W). These findings support that the MC does not seem to influence power at LT in untrained naturally menstruating females.</p>","PeriodicalId":14171,"journal":{"name":"International journal of exercise science","volume":"18 8","pages":"193-205"},"PeriodicalIF":0.0000,"publicationDate":"2025-01-01","publicationTypes":"Journal Article","fieldsOfStudy":null,"isOpenAccess":false,"openAccessPdf":"https://www.ncbi.nlm.nih.gov/pmc/articles/PMC11798560/pdf/","citationCount":"0","resultStr":null,"platform":"Semanticscholar","paperid":null,"PeriodicalName":"International journal of exercise science","FirstCategoryId":"1085","ListUrlMain":"https://doi.org/10.70252/JKXM8836","RegionNum":0,"RegionCategory":null,"ArticlePicture":[],"TitleCN":null,"AbstractTextCN":null,"PMCID":null,"EPubDate":"","PubModel":"","JCR":"Q1","JCRName":"Health Professions","Score":null,"Total":0}
引用次数: 0

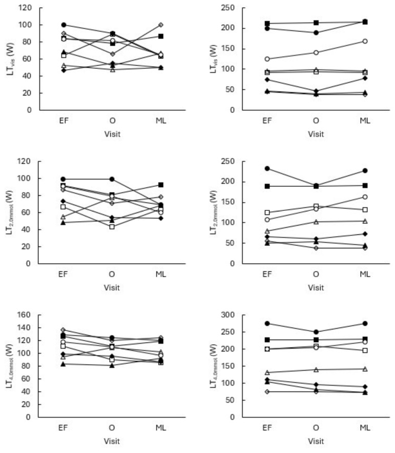
Abstract

In addition to maximal oxygen consumption (VO2max), the Lactate Threshold (LT) is the other major determinant of aerobic exercise performance. This study examined the effects of the menstrual cycle (MC) phase on the LT in untrained females. Eight females and 8 males completed a LT test on a cycle ergometer. The tests were performed across three MC phases: early follicular (EF; menses), ovulatory (O), and mid-luteal (ML). The male participants (control group) were randomly assigned visits at similar time intervals as a regular 28-day cycle. Blood lactate was obtained during the last minute of each 3-minute stage of the LT test. The LT was determined by visual method (LTvis), and fixed blood lactate concentrations of 2.0 mmol/L (LT2.0mmol) and 4.0 mmol/L (LT4.0mmol). There were no statistically significant differences in power at LT for any of the determination methods across the MC for the female participants (p>0.05) or across the time intervals for the male participants (p>0.05). The male participants tended to have higher power at LT for all three methods LTvis (41.91W), LT2.0mmol (44.68W), and LT4.0mmol (55.94W). These findings support that the MC does not seem to influence power at LT in untrained naturally menstruating females.

Abstract Image

未经训练的女性在月经周期中乳酸阈值无差异。
除了最大耗氧量(VO2max)外,乳酸门槛(LT)是有氧运动表现的另一个主要决定因素。本研究考察了月经周期(MC)阶段对未受过训练的女性LT的影响。8名女性和8名男性完成了自行车计力器上的LT测试。测试在三个MC阶段进行:早期卵泡(EF);月经期)、排卵期(O)和黄体中期(ML)。男性参与者(对照组)被随机分配以类似的时间间隔进行访问,以正常的28天为周期。在LT试验每3分钟阶段的最后一分钟取血乳酸。采用目测法(LTvis)测定乳酸浓度,血乳酸浓度分别为2.0mmol /L (LT2.0mmol)和4.0mmol /L (LT4.0mmol)。对于女性参与者,任何一种确定方法的LT功率在跨MC (p>0.05)或跨时间间隔的男性参与者(p>0.05)上都没有统计学上的显著差异。男性参与者在LTvis (41.91W)、LT2.0mmol (44.68W)和LT4.0mmol (55.94W)三种方法下均倾向于具有更高的LT功率。这些研究结果支持MC似乎不影响未经训练的自然月经女性的LT权力。
本文章由计算机程序翻译,如有差异,请以英文原文为准。
求助全文
约1分钟内获得全文 求助全文
来源期刊
International journal of exercise science
International journal of exercise science Health Professions-Occupational Therapy
CiteScore
2.20
自引率
0.00%
发文量
47
审稿时长
26 weeks
×
引用
GB/T 7714-2015
复制
MLA
复制
APA
复制
导出至
BibTeX EndNote RefMan NoteFirst NoteExpress
×
提示
您的信息不完整,为了账户安全,请先补充。
现在去补充
×
提示
您因"违规操作"
具体请查看互助需知
我知道了
×
提示
确定
请完成安全验证×
copy
已复制链接
快去分享给好友吧!
我知道了
右上角分享
点击右上角分享
0
联系我们:info@booksci.cn Book学术提供免费学术资源搜索服务,方便国内外学者检索中英文文献。致力于提供最便捷和优质的服务体验。 Copyright © 2023 布克学术 All rights reserved.
京ICP备2023020795号-1
ghs 京公网安备 11010802042870号
Book学术文献互助
Book学术文献互助群
群 号:604180095
Book学术官方微信