Repeated OGTT Versus Continuous Glucose Monitoring for Predicting Development of Stage 3 Type 1 Diabetes: A Longitudinal Analysis.

IF 16.6
Diabetes care Pub Date : 2025-04-01 DOI:10.2337/dc24-2376
Aster K Desouter, Bart Keymeulen, Ursule Van de Velde, Annelien Van Dalem, Bruno Lapauw, Christophe De Block, Pieter Gillard, Nicole Seret, Eric V Balti, Elena R Van Vooren, Willem Staels, Sara Van Aken, Marieke den Brinker, Sylvia Depoorter, Joke Marlier, Hasan Kahya, Frans K Gorus
{"title":"Repeated OGTT Versus Continuous Glucose Monitoring for Predicting Development of Stage 3 Type 1 Diabetes: A Longitudinal Analysis.","authors":"Aster K Desouter, Bart Keymeulen, Ursule Van de Velde, Annelien Van Dalem, Bruno Lapauw, Christophe De Block, Pieter Gillard, Nicole Seret, Eric V Balti, Elena R Van Vooren, Willem Staels, Sara Van Aken, Marieke den Brinker, Sylvia Depoorter, Joke Marlier, Hasan Kahya, Frans K Gorus","doi":"10.2337/dc24-2376","DOIUrl":null,"url":null,"abstract":"<p><strong>Objective: </strong>Evidence for using continuous glucose monitoring (CGM) as an alternative to oral glucose tolerance tests (OGTTs) in presymptomatic type 1 diabetes is primarily cross-sectional. We used longitudinal data to compare the diagnostic performance of repeated CGM, HbA1c, and OGTT metrics to predict progression to stage 3 type 1 diabetes.</p><p><strong>Research design and methods: </strong>Thirty-four multiple autoantibody-positive first-degree relatives (FDRs) (BMI SD score [SDS] <2) were followed in a multicenter study with semiannual 5-day CGM recordings, HbA1c, and OGTT for a median of 3.5 (interquartile range [IQR] 2.0-7.5) years. Longitudinal patterns were compared based on progression status. Prediction of rapid (<3 years) and overall progression to stage 3 was assessed using receiver operating characteristic (ROC) areas under the curve (AUCs), Kaplan-Meier method, baseline Cox proportional hazards models (concordance), and extended Cox proportional hazards models with time-varying covariates in multiple record data (n = 197 OGTTs and concomitant CGM recordings), adjusted for intraindividual correlations (corrected Akaike information criterion [AICc]).</p><p><strong>Results: </strong>After a median of 40 (IQR 20-91) months, 17 of 34 FDRs (baseline median age 16.6 years) developed stage 3 type 1 diabetes. CGM metrics increased close to onset, paralleling changes in OGTT, both with substantial intra- and interindividual variability. Cross-sectionally, the best OGTT and CGM metrics similarly predicted rapid (ROC AUC = 0.86-0.92) and overall progression (concordance = 0.73-0.78). In longitudinal models, OGTT-derived AUC glucose (AICc = 71) outperformed the best CGM metric (AICc = 75) and HbA1c (AICc = 80) (all P < 0.001). HbA1c complemented repeated CGM metrics (AICc = 68), though OGTT-based multivariable models remained superior (AICc = 59).</p><p><strong>Conclusions: </strong>In longitudinal models, repeated CGM and HbA1c were nearly as effective as OGTT in predicting stage 3 type 1 diabetes and may be more convenient for long-term clinical monitoring.</p>","PeriodicalId":93979,"journal":{"name":"Diabetes care","volume":" ","pages":"528-536"},"PeriodicalIF":16.6000,"publicationDate":"2025-04-01","publicationTypes":"Journal Article","fieldsOfStudy":null,"isOpenAccess":false,"openAccessPdf":"https://www.ncbi.nlm.nih.gov/pmc/articles/PMC11932814/pdf/","citationCount":"0","resultStr":null,"platform":"Semanticscholar","paperid":null,"PeriodicalName":"Diabetes care","FirstCategoryId":"1085","ListUrlMain":"https://doi.org/10.2337/dc24-2376","RegionNum":0,"RegionCategory":null,"ArticlePicture":[],"TitleCN":null,"AbstractTextCN":null,"PMCID":null,"EPubDate":"","PubModel":"","JCR":"","JCRName":"","Score":null,"Total":0}
引用次数: 0

Abstract

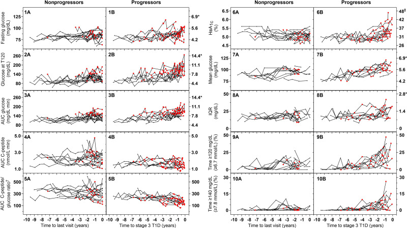
Objective: Evidence for using continuous glucose monitoring (CGM) as an alternative to oral glucose tolerance tests (OGTTs) in presymptomatic type 1 diabetes is primarily cross-sectional. We used longitudinal data to compare the diagnostic performance of repeated CGM, HbA1c, and OGTT metrics to predict progression to stage 3 type 1 diabetes.

Research design and methods: Thirty-four multiple autoantibody-positive first-degree relatives (FDRs) (BMI SD score [SDS] <2) were followed in a multicenter study with semiannual 5-day CGM recordings, HbA1c, and OGTT for a median of 3.5 (interquartile range [IQR] 2.0-7.5) years. Longitudinal patterns were compared based on progression status. Prediction of rapid (<3 years) and overall progression to stage 3 was assessed using receiver operating characteristic (ROC) areas under the curve (AUCs), Kaplan-Meier method, baseline Cox proportional hazards models (concordance), and extended Cox proportional hazards models with time-varying covariates in multiple record data (n = 197 OGTTs and concomitant CGM recordings), adjusted for intraindividual correlations (corrected Akaike information criterion [AICc]).

Results: After a median of 40 (IQR 20-91) months, 17 of 34 FDRs (baseline median age 16.6 years) developed stage 3 type 1 diabetes. CGM metrics increased close to onset, paralleling changes in OGTT, both with substantial intra- and interindividual variability. Cross-sectionally, the best OGTT and CGM metrics similarly predicted rapid (ROC AUC = 0.86-0.92) and overall progression (concordance = 0.73-0.78). In longitudinal models, OGTT-derived AUC glucose (AICc = 71) outperformed the best CGM metric (AICc = 75) and HbA1c (AICc = 80) (all P < 0.001). HbA1c complemented repeated CGM metrics (AICc = 68), though OGTT-based multivariable models remained superior (AICc = 59).

Conclusions: In longitudinal models, repeated CGM and HbA1c were nearly as effective as OGTT in predicting stage 3 type 1 diabetes and may be more convenient for long-term clinical monitoring.

Abstract Image

Abstract Image

Abstract Image

重复OGTT与连续血糖监测预测3期1型糖尿病发展:一项纵向分析
目的:在无症状的1型糖尿病患者中使用连续血糖监测(CGM)替代口服葡萄糖耐量试验(OGTT)的证据主要是横断面的。我们利用纵向数据比较了重复CGM、HbA1c和OGTT指标在预测1型糖尿病进展到3期时的诊断性能:34名多重自身抗体阳性的一级亲属(FDR)(BMI SD 评分 [SDS] 结果:中位数为 40(IQR 20-91)个月后,34 位 FDR 中的 17 位(基线中位年龄为 16.6 岁)发展为 3 期 1 型糖尿病。CGM 指标在接近发病期时增加,与 OGTT 的变化同步,但两者在个体内部和个体之间都有很大差异。横断面上,最佳的 OGTT 和 CGM 指标同样能预测快速进展(ROC-AUC = 0.86-0.92)和总体进展(一致性 = 0.73-0.78)。在纵向模型中,OGTT 导出的 AUC 葡萄糖(AICc = 71)优于最佳 CGM 指标(AICc = 75)和 HbA1c(AICc = 80)(所有 P <0.001)。HbA1c 补充了重复 CGM 指标(AICc = 68),但基于 OGTT 的多变量模型仍然更优(AICc = 59):结论:在纵向模型中,重复CGM和HbA1c在预测1型糖尿病3期方面几乎与OGTT一样有效,而且可能更便于长期临床监测。
本文章由计算机程序翻译,如有差异,请以英文原文为准。
求助全文
约1分钟内获得全文 求助全文
来源期刊
CiteScore
29.50
自引率
0.00%
发文量
0
×
引用
GB/T 7714-2015
复制
MLA
复制
APA
复制
导出至
BibTeX EndNote RefMan NoteFirst NoteExpress
×
提示
您的信息不完整,为了账户安全,请先补充。
现在去补充
×
提示
您因"违规操作"
具体请查看互助需知
我知道了
×
提示
确定
请完成安全验证×
copy
已复制链接
快去分享给好友吧!
我知道了
右上角分享
点击右上角分享
0
联系我们:info@booksci.cn Book学术提供免费学术资源搜索服务,方便国内外学者检索中英文文献。致力于提供最便捷和优质的服务体验。 Copyright © 2023 布克学术 All rights reserved.
京ICP备2023020795号-1
ghs 京公网安备 11010802042870号
Book学术文献互助
Book学术文献互助群
群 号:604180095
Book学术官方微信