Association between accelerometer-measured light-intensity physical activity and tumor regression for male patients with esophageal cancer receiving neoadjuvant therapy: a retrospective cohort study.

IF 3.8 4区 医学 Q3 GASTROENTEROLOGY & HEPATOLOGY
Esophagus Pub Date : 2025-04-01 Epub Date: 2025-02-04 DOI:10.1007/s10388-025-01108-9
Tomohiro Ikeda, Kazuhiro Noma, Masanori Konuma, Naoaki Maeda, Shunsuke Tanabe, Takayoshi Kawabata, Masashi Kanai, Masanori Hamada, Toshiyoshi Fujiwara, Toshifumi Ozaki
{"title":"Association between accelerometer-measured light-intensity physical activity and tumor regression for male patients with esophageal cancer receiving neoadjuvant therapy: a retrospective cohort study.","authors":"Tomohiro Ikeda, Kazuhiro Noma, Masanori Konuma, Naoaki Maeda, Shunsuke Tanabe, Takayoshi Kawabata, Masashi Kanai, Masanori Hamada, Toshiyoshi Fujiwara, Toshifumi Ozaki","doi":"10.1007/s10388-025-01108-9","DOIUrl":null,"url":null,"abstract":"<p><strong>Background: </strong>Physical activity has the potential to promote tumor regression in patients with esophageal cancer receiving neoadjuvant chemotherapy (NAC); however, the benefits of light-intensity physical activity (LIPA) are unclear. This study aimed to investigate the impact of LIPA on tumor regression in male patients with esophageal cancer during NAC and its optimal cutoff value.</p><p><strong>Methods: </strong>This retrospective single-center observational study included all male patients who underwent NAC or curative esophagectomy. We assessed the physical activity of patients using an accelerometer and calculated the time spent on LIPA. Tumor regression was defined as grade ≥ 1b according to the Japanese classification of esophageal cancer. The impact of LIPA on tumor regression was analyzed using multivariate analysis, and the optimal cutoff value was identified using the receiver operating characteristic curve.</p><p><strong>Results: </strong>Sixty-nine male patients with esophageal cancer who underwent NAC were analyzed. The mean age was 68 years, mean body mass index was 22.4, and 80% of the patients were diagnosed with clinical stage 3 or 4 disease. Every extra 30-min increase in LIPA during the treatment phase was associated with tumor regression (adjusted OR 1.41 [1.02-2.04]). The optimal cutoff value of LIPA was 156.11 min/day, and patients with rich LIPA (≥ 156.11 min/day) were less likely to suffer from anorexia and malnutrition during NAC.</p><p><strong>Conclusion: </strong>This study demonstrated that LIPA during NAC has a potential of promoting tumor regression with a cutoff value of 156.5 min/day. Further clinical research is required to determine the prognostic benefits of LIPA in patients receiving NAC.</p>","PeriodicalId":11918,"journal":{"name":"Esophagus","volume":" ","pages":"177-187"},"PeriodicalIF":3.8000,"publicationDate":"2025-04-01","publicationTypes":"Journal Article","fieldsOfStudy":null,"isOpenAccess":false,"openAccessPdf":"https://www.ncbi.nlm.nih.gov/pmc/articles/PMC11929633/pdf/","citationCount":"0","resultStr":null,"platform":"Semanticscholar","paperid":null,"PeriodicalName":"Esophagus","FirstCategoryId":"3","ListUrlMain":"https://doi.org/10.1007/s10388-025-01108-9","RegionNum":4,"RegionCategory":"医学","ArticlePicture":[],"TitleCN":null,"AbstractTextCN":null,"PMCID":null,"EPubDate":"2025/2/4 0:00:00","PubModel":"Epub","JCR":"Q3","JCRName":"GASTROENTEROLOGY & HEPATOLOGY","Score":null,"Total":0}
引用次数: 0

Abstract

Background: Physical activity has the potential to promote tumor regression in patients with esophageal cancer receiving neoadjuvant chemotherapy (NAC); however, the benefits of light-intensity physical activity (LIPA) are unclear. This study aimed to investigate the impact of LIPA on tumor regression in male patients with esophageal cancer during NAC and its optimal cutoff value.

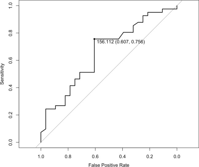
Methods: This retrospective single-center observational study included all male patients who underwent NAC or curative esophagectomy. We assessed the physical activity of patients using an accelerometer and calculated the time spent on LIPA. Tumor regression was defined as grade ≥ 1b according to the Japanese classification of esophageal cancer. The impact of LIPA on tumor regression was analyzed using multivariate analysis, and the optimal cutoff value was identified using the receiver operating characteristic curve.

Results: Sixty-nine male patients with esophageal cancer who underwent NAC were analyzed. The mean age was 68 years, mean body mass index was 22.4, and 80% of the patients were diagnosed with clinical stage 3 or 4 disease. Every extra 30-min increase in LIPA during the treatment phase was associated with tumor regression (adjusted OR 1.41 [1.02-2.04]). The optimal cutoff value of LIPA was 156.11 min/day, and patients with rich LIPA (≥ 156.11 min/day) were less likely to suffer from anorexia and malnutrition during NAC.

Conclusion: This study demonstrated that LIPA during NAC has a potential of promoting tumor regression with a cutoff value of 156.5 min/day. Further clinical research is required to determine the prognostic benefits of LIPA in patients receiving NAC.

Abstract Image

Abstract Image

在接受新辅助治疗的男性食管癌患者中,加速度计测量的光强度体力活动与肿瘤消退之间的关系:一项回顾性队列研究
背景:体育活动有可能促进食管癌新辅助化疗(NAC)患者肿瘤消退;然而,低强度体力活动(LIPA)的好处尚不清楚。本研究旨在探讨LIPA对男性食管癌患者NAC期间肿瘤消退的影响及其最佳截止值。方法:这项回顾性单中心观察性研究纳入了所有接受NAC或根治性食管切除术的男性患者。我们使用加速度计评估患者的身体活动,并计算在LIPA上花费的时间。根据日本食管癌分级,肿瘤消退定义为≥1b级。采用多变量分析分析LIPA对肿瘤回归的影响,并利用受试者工作特征曲线确定最佳截断值。结果:对69例男性食管癌行NAC的患者进行了分析。平均年龄68岁,平均体重指数为22.4,80%的患者诊断为临床3期或4期疾病。在治疗期,LIPA每增加30分钟与肿瘤消退相关(调整后OR为1.41[1.02-2.04])。LIPA的最佳临界值为156.11 min/day, LIPA丰富(≥156.11 min/day)的患者在NAC期间出现厌食和营养不良的可能性较小。结论:本研究表明,NAC期间LIPA具有促进肿瘤消退的潜力,临界值为156.5 min/day。需要进一步的临床研究来确定LIPA对NAC患者的预后益处。
本文章由计算机程序翻译,如有差异,请以英文原文为准。
求助全文
约1分钟内获得全文 求助全文
来源期刊
Esophagus
Esophagus GASTROENTEROLOGY & HEPATOLOGY-
CiteScore
4.90
自引率
8.30%
发文量
78
审稿时长
>12 weeks
期刊介绍: Esophagus, the official journal of the Japan Esophageal Society, introduces practitioners and researchers to significant studies in the fields of benign and malignant diseases of the esophagus. The journal welcomes original articles, review articles, and short articles including technical notes ( How I do it ), which will be peer-reviewed by the editorial board. Letters to the editor are also welcome. Special articles on esophageal diseases will be provided by the editorial board, and proceedings of symposia and workshops will be included in special issues for the Annual Congress of the Society.
×
引用
GB/T 7714-2015
复制
MLA
复制
APA
复制
导出至
BibTeX EndNote RefMan NoteFirst NoteExpress
×
提示
您的信息不完整,为了账户安全,请先补充。
现在去补充
×
提示
您因"违规操作"
具体请查看互助需知
我知道了
×
提示
确定
请完成安全验证×
copy
已复制链接
快去分享给好友吧!
我知道了
右上角分享
点击右上角分享
0
联系我们:info@booksci.cn Book学术提供免费学术资源搜索服务,方便国内外学者检索中英文文献。致力于提供最便捷和优质的服务体验。 Copyright © 2023 布克学术 All rights reserved.
京ICP备2023020795号-1
ghs 京公网安备 11010802042870号
Book学术文献互助
Book学术文献互助群
群 号:604180095
Book学术官方微信